1.はじめに
●本校の紹介
三重県津市にある2022年度に開校150周年を迎えた真宗高田派の私立中学・高校で,中高一貫の6年コース(各学年5クラス200人ほど;全国の国立大・医学部に進学実績)と高校のみの3年コース(各学年およそ10クラス400人ほど;地元の国立大・私立大に進学実績)を併設し,学苑内には短期大学も設置されている。2024年度からは県内の私立高校では初のSSHにも認定された。教員の教材研究・授業実践の発表の場として,40年近くにわたり年度末に『研究紀要』を編纂・発行(国立国会図書館,龍谷大学,高田短期大学,高田本山宗務院などへ蔵書)している。
●動機と概要
本校にて教職に就いて15年ほどになるが,ここ近年の教育・受験関連のインターネット上のWebサイトの充実度・完成度には目を見張るものがあると,年々感じてきていた。特に,コロナ渦を挟んだここ5,6年で加速度的に増加・充足してきた感がある。代表的なものとして,『高校数学の美しい物語』,『受験の月』などが挙げられるが,本校の数学科の教員の間でも,授業準備・教材研究において活用・参照されることが多く,よく話題に上っている。
これらのサイトの著者の多くは,職業としての教育・受験関連の職(高校教師や予備校講師など)には就いていない,いわゆるプロではない人たちである。(理工系の学部・大学院のOBで,現在はIT関連やエンジニアの職に就いている人が多いようである。)
動画配信を見ても事情は同じで,公式なスタディサプリ(本校もコロナ渦ではお世話になった)などはもちろんあるが,やはりYouTube上での充実度が著しい。毎年2月25日には,東京大学をはじめとしてどこよりも早い大学の入試問題の”解答速報”が受験OB(理系OB)有志らによりYouTube上にアップされている。
入試関連以外にも,大学数学の内容に片足を踏み入れた高校数学の解説・再構成の動画などが,驚くほどのクオリティで作成されており,自身も大変勉強になったことがある。
このような状況を見るに,もはや製本・出版された参考書や,正規の授業・講義の存在意義を揺るがすものになり得ている感である。
自身の生徒時代を思い起こすと,当時はそのような”高級”な内容を扱ったものは,受験雑誌『月刊 大学への数学』(東京出版)や,名古屋など都心部の大手予備校しかなかった。実際,いわゆる”微積物理”などは一部の大手予備校の専売特許であったものが,今では(10年以上前から)傍用問題集の別解にも掲載されるほどに普及した。
今や,すべてが,教育・受験業界の関係者にあるなしにかかわらず,すべての人に「共有」される時代である。このような時代での公教育・私学教育における数学教育の在り方を,否応なく考えざるを得ない状況となった。そのようなとき,軸になるのはやはり,事柄の「本質の探究」である。本校にて,啓林館の新しい教科書『深進数学』を用いてきたが,こちらは根幹を進める「コア編」と,深く掘り下げる「探究編」に分かれた構成となっている。その「探究編」の内容には,確率の「同様に確からしいとは?」やベクトルの「基準点のとり方の違い」などがあったが,これらは自身もこれまでの授業の中で,事柄の本質として話してきた内容である。
やはり時代がどう変わろうと,常に本質を探究し続けていくことが重要であると考えるに至った。以下では,自身の授業実践や生徒の質問の中から,教科書や課程の構成によらず,本質的と思える事柄や,他の先生方への授業支援・サポート資料になると思える事柄をまとめた。
2.模範解答の功罪
生徒は教科書の例題や傍用問題集の解答の記述を手元に参照しながら各自の学習に取り組んでいるのが実際である。教科書や問題集の模範解答は,文字通り模範的な答案形式ではあるものの,”印刷形式としての限界”もあり,”完成された結果の記述”でもある。
【例】「ベクトル
と同じ向きの単位ベクトル
を求めよ。」
この問題では生徒の定着度や小テストの結果が極めて悪い。その原因を分析するに,教科書などの解答では,
とおいて
に代入し,
,
を消去して
の値を求めている。
(解答)
より
(
は実数)とおけて,
に代入
より 
よって 
しかし,これなどは実は単にベクトルの長さを伸び縮みさせるだけの,単なる相似の問題に過ぎない。もっと図形的・直感的(本質的)に扱えば簡単であることを,何度授業で強調しても,生徒は
,
成分を文字
でおいて数式で解いてくる。
(別解)
相似比より
よって 

図で解くか式で解くか,多くの場合は図での解答が簡潔で本質的であるにもかかわらず,模範解答は式での解答が多い。そこには,図での解答の場合には記述が書きにくい,さらには減点が怖い,といった現実的な問題がある(これは採点・評価する側の問題でもある)。
3.教員の指導による個性
式で解くか図で解くかもそうであるが,三角比の単元は最も各教員の個性が表れる単元であると考えている。
【例】三角方程式

①単位円を用いる(
とみなす) ⇒ 常に一定の半径
で扱えるが,
,
座標が”分数”になる。
(解答)
(
であるから ⇒)
であり
(⇒ 三平方の定理
より
であるから)
⇒
の直角三角形から
,
②一般の円を使う(
とみなす) ⇒ 問題ごとに半径
の値 を考えるが,
,
座標は”整数”にできる。
(解答)
とすると ⇒
となり
(⇒ 三平方の定理
より
となるから)
⇒
の直角三角形から
,
【例】三角比の相互関係
⇒
? 
①相互関係の公式を使う(
,
とみなす) ⇒ 鈍角でも同様に扱えるが,半径
(底辺
)とすることに対応して残りの辺が”分数”になる。
(解答)
(
であるから ⇒
であり)
⇒ 相互関係の公式
より 
②直角三角形の図を描く(
,
とみなす) ⇒ 鈍角では注意を要するが,3辺は”整数”にできる。
(解答)
とすると ⇒
となり
⇒ 三平方の定理
より 
よって 
4.公式か導出か
どこまでを「公式」として生徒たちに提示するか,与えるかも教員の個性かと考える。
2次方程式の解法は公式化して暗記させるが,2次関数の平方完成はそのたびに計算させる。兼ねてから疑問に思っていたことだが,両者の違いはどこから生じたのであろうか。
【例】点Pと直線
の距離
=PH
この公式の証明は教科書により実に様々である。Web上を検索すれば,さらに多様な証明法が山ほど出てくる。最も多い証明は,点Pを通り
に垂直な直線と,直線
との交点Hの座標を求める(
の成分を求める)ものである。この証明は実に自然な発想に基づくもので,いつもの「公式→証明」の流れで提示せずに,公式を与える前に実際に生徒たちに具体的な問題で距離を求めさせてみるとよいと思う。
問:点P(-3,5) と直線
の距離
を求めよ。

(公式を用いる解答)
点と直線の距離の公式より 
(導出していく解答)
点Pを通り
に垂直な直線
と
直線(の式を変形した)
の
交点Hの座標(を変形した
の成分)を求めると

よって 
【例】円P上の点Hにおける接線
の公式
こちらの公式は極めて形式的である。接点が円上の点であることや,背後にはより一般化された極線の概念をはらむなど,その使用に注意を要する。その反面,導出は極めて易しい。その都度,導いてもよいのではないかと思える。
問:円 P:
上の点H(-1,6) における接線lを求めよ。

(公式を用いる解答)
円の接線の公式より
であるから

すなわち 
(導出していく解答)
は点H(-1,6) を通り法線ベクトルが
=(2,1) の直線であるから

すなわち 
5.既習事項のつながり
これまでの既習事項が,実は思わぬところでつながっていることも多い。ぜひ指導に一貫した流れを作り出していきたい。
【例】2曲線の交点を通る曲線
2曲線 ①:
,②:
の交点を通る曲線は,実数パラメータkを用いて
と表される。ここの内容は,最も生徒からの質問や拒否反応が多いところである。しかし,実は直線の方程式のところで,
の形の公式を既に習っている。この方程式は,2直線 ①:
(
軸に平行),②:
(
軸に平行)の交点を通る直線を表すとみなすことができる。ここで,実数パラメータ
は(直線①から直線②の方へ測った)傾きという図形的な意味をもっていた。このことを引用・強調することにより,2曲線の場合にも実数パラメータ
に具体的なイメージをもたせ,もっと抵抗感の少ない指導ができるのではないかと考えている。
(既習事項の確認)
直線の方程式で
の形の公式を習っている
⇒2直線 ①:
(
軸に平行),②:
(
軸に平行)の交点を通る直線を表すとみなせる
⇒実数
は①から②へ測った”傾き”
(新規事項の解説)
2曲線 ①:
,②:
の交点を通る曲線
⇒実数パラメータ
を用いて
と表される
⇒実数
は①と②からの”距離の比”
【例】不定方程式の解法・漸化式の解法
不定方程式や非斉次の漸化式を解く際には,「まず特殊な解を1つ見つけ,元の式から引く」という手法が有効である。これも生徒たちには定着しにくいものであるが,先ほどの直線の方程式
の導出においても使われている。(教科書にもよるが。)
(既習事項の確認)
点 (
,
) を通る傾き
の直線の方程式
の導出
切片(定数項)を
として
とおくと
この直線が特定点 (
1,
1 ) を通ることより
特定点の座標を代入した式を引き算して定数項を消す

(新規事項の解説1)
2変数の方程式
の解法
定数項さえなければ方程式は
:斉次(比例)型
とおくと
となり一般解 (
,
)=(2
,3
) が求まる(
は整数)
では定数項をどう消すか? ⇒ これまでの既習事項の流れを活用したい!
定数項を消す ⇒ 方程式を満たす特殊な整数の組(特殊解)を1つ見つける ⇒
適当に(勘で)探す(またはユークリッドの互除法を用いて探す)
(解答)
特殊解 (
,
)=(1,1) を見つけて
特殊解を代入した式を引き算
⇒ 斉次型 
(解答)
ここでは斉次(比例)型にするために
方程式を”平行移動”して特殊解を整数の”原点”に取り直している
(新規事項の解説2)
2項間の漸化式
の解法
定数項さえなければ漸化式は
:等比(比例)型
初項
,公比 2 の等比数列として一般解
が求まる(
は実数)
では定数項をどう消すか? ⇒ これまでの既習事項の流れを活用したい!
定数項を消す ⇒ 漸化式を満たす特殊な数列集合(特殊解)を1つ見つける ⇒
(定数数列)と形を予想して探す(いわゆる”特性方程式”を用いて探す)
(解答)
特殊解
を見つけて
特殊解を代入した式を引き算
⇒ 等比型 
(解説)
ここでは等比(比例)型にするために
漸化式を”平行移動”して特殊解を数列の”原点”に取り直している
(注意)
ここでの”特性方程式”という用語は
この”移動量”や”新たな原点”を求める1次方程式を指して使われている
これは慣習として”特性方程式”の用語が流用されているものと思われる
上記は次のように一般化することができる;
(一般理論の解説)
2項間の漸化式:
の解法
隣接2項間の定数係数1次型の漸化式といわれる
定数
を係数として
が
の”1次式”の形をしている
は”定数項”(正確には非斉次項)といわれる
高校では以下の場合などが扱われる(上記では①の場合を扱った)
⓪
:定数数列(定数関数) ⇒ 等比(比例)型の漸化式で公比は
!
①
:定数数列(定数関数)
②
:等比数列(指数関数)
③
:等差数列(1次関数)
6.用語や記述の不合理
【例】「整式」
高校特有のものであるが,整式,分数式,有理式,無理式がちょうど整数,分数,有理数,無理数に対応し,上手くできた用語と思う。しかし,整関数,分数関数,有理関数,無理関数と表現していくと,「整関数」は大学数学(複素関数論)では別物(全域で正則な関数;entire function)を表し,不合理が生じる。(が,これはむしろentire functionに別の訳語を考えた方がよいように思う。)
【例】「領域」
大学数学(主に複素関数論)では「(連結な)開集合」として定義されている。自身が関数論の講義を受講した際に大いに戸惑った経験がある。
【例】「特性方程式」
数列の漸化式で頻繁に登場する用語だが,高校では隣接2項間の非斉次漸化式において,斉次項を消去する際に用いられることが多い。しかし,大学数学の微分方程式での用法と対比するに,本来は隣接3項間の斉次漸化式において,解として仮定された等比数列の公比を求める際に特化して用いられるべきものであろう。
(一般理論の解説)
3項間の漸化式:
の解法
隣接3項間の定数係数1次型の漸化式といわれる
定数
,
を係数として
が
,
の”1次式”の形をしている
は”定数項”(正確には非斉次項)といわれる
高校では以下の場合のみが扱われる(下記では⓪の場合を扱う)
⓪
:定数数列(定数関数) ⇒ 等比(比例)型の漸化式で公比は
,
?
(解答)
公比を
として解を
(等比数列)と形を仮定して探す
⇒
(特性方程式!)
公比は
,
を係数とする2次方程式(特性方程式!)の2解
,
一般解はこれら2つの等比数列
,
の1次結合(重ね合わせ)
(注意)
ここでの”特性方程式”という用語は
この2つの公比
,
を求める2次方程式を指して使われている
これが本来の”特性方程式”の用語と思われる
7.大学数学との接続
高校数学,受験数学において,いわゆる「裏技」として紹介される解法の多くは,大学数学の内容を背景に持ったもの,高校数学の範囲では証明できないもの,その結果だけを用いたものである。
【例】漸化式の解法と線形空間論
先に挙げた漸化式においても,隣接3項間の漸化式ならば”2階の差分方程式”として,2階の微分方程式の理論,2次元の線形空間の理論を用いることができる。その解法は参考書などで主にマークシート形式の試験における「裏技」的なものとして扱われるが,そのような扱いで終わるのではなく,たとえ正規に証明はできなくても,その背景や精神はしっかりと伝えていきたい。
3項間の漸化式
,
,
の別解
(解答)
特性方程式
より
=3,4
よって
とおける
,
より


これを解いて
,
したがって 
(解説)
この解法では解空間が2次元の線形空間を張ることが用いられている
1次独立な解を2つ見つければその1次結合ですべての解が尽くされるわけである
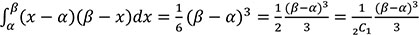
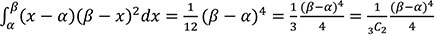
【例】1/6公式群とB関数
こちらは受験生には大人気の1/6公式群であるが,これも背景にはより一般化された
関数の概念が広がっている。単なる受験公式としての指導に終わらず,この
関数,さらには階乗を一般化した
関数なども,生徒たちには興味を持ってもらえるのではなかろうか。
(1/6公式群)
以下は積分公式として登場するものであるが係数の分母を分解していくと組合せとしての規則性も見えてくる
2次式の定積分:

3次式の定積分:


4次式の定積分:



(
関数)
上記の規則性に従って
公式群を一般化すると

これには大学数学で登場する次の
関数
が背景にある

8.分野の横断
以下には分野を横断して著しい対応・類似が見られる事柄を挙げる。教科書上や単元上では隔てられているが,同時期に扱うことにより,指導の効果を上げ,また生徒たち自身に興味をもって深く探究できる素材を提供できるのではないかと考える。
【例】数と式(二項定理) ⇔ 場合の数(順列と組合せ)
2項式の
乗展開式

について以下の対応が成り立つ。
「
番目の項の係数」=「
の同類項の数」であり
⇔ 組合せ数
に等しい
「現れる項数」=「同類項を区別しない場合の見かけの項数」であり
⇔ 重複組合せ数
に等しい
「係数の総和」=「同類項も区別をした場合のすべての項数」であり
⇔ 重複順列 数
に等しい
【例】図形と方程式(座標) ⇔ ベクトル(図形とベクトル方程式)
座標 (
,
) ⇔ ベクトル 
について以下の対応が成り立つ。
(座標の方程式 ⇔ ベクトルの方程式)

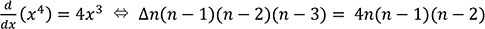
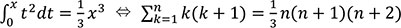
【例】微分と積分(関数) ⇔ 数列(階差と総和)
実数
についての関数
⇔ 自然数
についての数列 
微分
と積分
⇔ 階差
と総和 
について以下の対応が成り立つ。
(関数の微分 ⇔ 数列の階差)




(関数の積分 ⇔ 数列の総和)




9.まとめと展望【『研究紀要』への寄稿から】
・今の時代に溢れる情報は享受し活用するべきものである(反発・対立するべきものではない)
⇒ さらには現場の教員の側からも積極的な発信を行い共に切磋琢磨していくべき
・生徒のつまずきに問題の本質が見られることも多い
⇒ 生徒にとっては新たな知識が邪魔になる(新しい公式を学ぶことでそれまでの解法で解けなくなる)こともある
・日々の授業の中に中学・高校・大学の数学へと連なる一繋がりの大きな流れを作り出す
⇒ それによって将来に遭遇する未知の問題にも対応できる力を養うことができる
近年,自身でも教材研究や授業実践の内容をまとめ,冒頭の「学校紹介」にも挙げた本校の『研究紀要』に執筆・寄稿している。また機会があればこちらのコーナーでも紹介したい。






























































