1.はじめに
本校は,令和4年度より県の教育環境デジタル化推進校として,Microsoft社製のTeamsを基盤とした学習指導や校務での活用を推進している。また,ネットワーク環境がフルクラウド化されたことで,学習指導におけるデータ活用や新たな教材観及び指導観による授業実践が可能となりつつある。今後,各教科でICTを活用した授業改善の工夫がさらに進んでいくことが予想される。
高等学校学習指導要領の物理には,「観察,実験の一層の充実を図るため,いくつかの小項目について実験などを行うことを明示した。」1) とあるように,観察,実験を重視することが示されている。特に物理の学習は,生徒へ主体的に実験を促し,深く探究させる過程で法則性に気付かせる指導であることが望ましい。しかし,いざ生徒実験を実施すると,生徒が実験操作に不慣れのため想定よりも時間がかかり,計算処理や考察の時間が十分に確保できず,実験をする目的が不明瞭になることがある。そこで本実践では,従来からの紙レポートによる実験指導ではなく,Excelで作成したデジタルレポートをTeams上で提出させ,探究的に学習できる実験指導の効率化を目指した。
2.生徒実験の意義とデジタルレポートについて
自分が生徒時代に行った実験の経験は,よく覚えているのではないだろうか。実験は,自らの興味や関心から自律的に取り組み,何かを知ろうとする探究的な学習過程が記憶に残りやすいからと推察できる。生徒にとって,実験後の数値処理や物理現象の深い理解を促す考察は,絶好の学習機会であり,重要な意義をもつと考える。
Excelで作成したデジタルレポートは,指導者の裁量で数値を入力すれば自動的に計算処理やグラフを生成させるように準備ができる。ここでは,本稿の目的である生徒実験の効率化の観点により,ある程度グラフの自動生成はやむを得ないが,生徒に身につけさせたい能力が身につくかという懸念が残る。しかし,デジタルレポートでの指導は,紙レポートで実施する場合と同様に,グラフから普遍的な法則性を見出すことに変わりないはずである。したがって,物理的な事物・現象を理解し,得られた結果から考察する力を育むことは可能であると考えている。本稿では,生徒の感想や内容の理解度などを合わせて調査したので報告する。
3.本校での実践例
令和5年度,本校2学年で11回の生徒実験を行った。そのうち9回の生徒実験において,デジタルレポートを活用した。本稿では,気体の法則に関する生徒実験について報告する。なお,デジタルレポートでは,実験後の感想や考察をMicrosoft Formsにて回答させた。Officeツールを中心としたTeams基盤の学習環境は,個別最適化された環境下での指導に近づくことができたと実感している。
- 実験データを入力する生徒(運動の法則)
- 班員と実験結果を考察する生徒の様子(気柱共鳴)

図1 実験方法の模式図
①本生徒実験の概要
高校の熱力学分野において,生徒自身が簡単に実験できる例は少なく,その基礎的な概念を理解させるための実験教材製作に苦労する。また,気体の法則に関する理論は,対象となる気体の理想状態を扱うのに対し,実験では実在の気体を用いるため,理論との対応関係に生徒が違和感を覚えやすい。特に,断熱変化の実験は,クレマン・デゾルムの方法2)があるが,高校の授業内での実施が難しい。また,高校物理では,断熱変化が例外的に扱われ,ポアソンの式の導出過程が省略されているが,大学入試で断熱変化の深い理解を必要とする内容が出題3)されている。さらに,実現不可能な仮想的操作である準静的過程という考えが,その理解を難しくさせることだろう。ゆえに,理想気体に適用される理論が実在気体を用いた結果と,どのように対応するかを学ぶための根源的な実験教材は,貴重であるといえる。

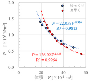
図2 生徒の実験結果
②実験装置と実験方法について
本実験で使用した装置は,山口県高教研理化部会から刊行された実験集4)を参考に作成した。図1に実験装置の模式図を示す。ピストンの移動方向を変えるだけで,圧縮・膨張過程を実験できる。シリンダー内の気体に加わる圧力は,ピストンに繋がった糸をニュートンばねばかりで引き,その張力をシリンダーの断面積で割って算出した。結果を入力後は,シリンダー内の空気の圧力と体積の関係がグラフで表示され,近似曲線(累乗近似)も表示されるようにした。また,圧力と体積の逆数の関係のグラフが自動生成されるよう準備した。生徒の習熟度によっては,体積の逆数の関係は考察させることも考え得る。(本実験のデジタルレポートは資料1参照)

図3 センサーを用いた検証実験の模式図。逆方向にすると膨張過程になる。
③生徒の実験結果と授業展開について
ボイルの法則の検証実験例は,数多く存在するが,気体の温度を確認せずPV図の特徴からボイルの法則を認めることに帰結する場合が多い。本実験も当初は,等温変化を仮定し,形式的にボイルの法則として学習させていた。本実験では,「ゆっくり」,「可能な限り素早く」操作するように指示をしたが,過去には,何も指示せず実験したこともある。その場合,近似曲線の指数に注目させ,ピストン内の温度や実験操作の違いに気づかせる授業展開も考えられる。

図4 センサーを用いた確認実験
ここで,図2に生徒の実験結果を示す。ゆっくり動かした場合と素早くピストンを動かした場合で結果が異なっている。一方で,測定範囲が狭くて差がない班もあった。また,生徒が簡単に誤差と解釈する可能性を考え,図3のように,距離センサーと力センサーを用いて確認したところ,図4に示すように有意差がある結果が得られた。生徒は,デジタルレポートの活用で実験結果の細かな差異に気づきやすくなった。これは,実験後すぐにグラフが表示されることで,班員と協働的な学びが促進し,思考が深まった結果であると考えている。
④生徒の感想と考察について
生徒は,本単元の内容を化学の授業で履修後,物理の授業で実験した。そのためか,実験操作速度に違いによる微妙な結果の差に注意せず,考察を終える生徒が多かった。生徒の感想にも「ボイルの法則が成り立つことがわかった」とあり,この実験がボイルの法則に関する実験と思い込んでいる記述が目立った。一方で,「素早く実験した場合とゆっくり実験した場合で明らかな差がでた。これが誤差によるものなのか気になった」という生徒も複数名いた。このことは,グラフが自動生成されることで授業時間内に結果の差異に注目でき,考察しようとした点が重要である。紙レポートでは,結果を記録し,グラフを書かせたら授業が終わることや反比例のようなグラフが表れるだけで,ボイルの法則と結論づける生徒がほとんどであった。デジタルレポートの導入により,授業では,考察に注力するという目的を果たすことができたと考えている。また,実験後の感想には,「準静的過程について知れ,また,気体の圧縮や膨張について分かりやすくなった。」「ポアソンの法則のPVグラフなど,教科書で見たようなグラフが実際に実験することで求めることができて,視覚的にも感覚的にも法則を捉えることができたと思います。」とあった。本実験では,ボイルの法則であると蓋然的に考察させるのではなく,観測が難しい断熱変化と対照的な等温変化を含め,測定根拠に基づいて考察させるように指導工夫の改善ができたと分析している。
⑤本実験の指導について
本実験は,実験の操作速度の違いで結果が異なることが特徴である。このような意外性のある実験は,生徒の批判的思考態度を育むと同時に,物理法則の深遠さに気づかせ,その興味を深化させることに期待できる。デジタルレポートによる指導で懸念されることもあるが,生徒の気づきを重視する点では,一部自動化によって効率化を図るのも悪くないと考える。実際に本実験だけでなく,多くの生徒実験でデジタルレポートの導入により,授業では考察に注力させる指導ができた。
4.生徒の感想と理解度について

図5 生徒実験に関する生徒の感想
年間を通して実施した生徒実験を踏まえて,生徒の理解度や学習に対する意識の変容を見ていきたい。年度末の実験後に実施したアンケート結果を図5に示す。(年度初めは,アンケートの実施を忘れてしまった)多くの生徒は,生徒実験に対して肯定的である。数名のネガティブな回答をした生徒は,実験器具の調整が不十分で,うまく測定ができなかった経験を理由としていた。他の感想には,「座学で学習した理論を実験によりイメージを具体化させることができた」「実験と類似した入試過去問にチャレンジしてみます!」が印象的であった。図6に示すとおり,本実験に関する理解度も概ね良かったと考えられる。生徒は,教科書で学んだ理論を,実験により実際の物理現象とイメージを一致させることで理解が深まったようである。
生徒には,「協働的に実験に取り組めたか」「理解した内容を他人に教えることができるようになったか」の観点で,実験の取り組みを毎時自己評価させた。図7は,生徒の自己評価の変容である。実験回数を重ねるごとに上昇傾向がみられた。その要因として,生徒実験は,教え合いの活動が増えることで自然と協働的な学びが充実したことがあげられる。加えて,Excelの使用方法を,相談し合う様子が多く見られた。これは,教え合いの場を活性化させ,その副次的効果として自己評価の向上につながったのではないだろうか。継続的な生徒実験の実施は,生徒の自己受容を高め,学習への取り組みを前向きにさせる可能性がある。
- 図6 実験後の生徒(114名)の理解度
- 図7 生徒の実験の取り組みに対する自己評価
5.気づきと課題

図8 生徒のExcelによるデータ処理に関する意識
探究的な学びは,振り返りの時間が重要である。Teams上にExcelで用意したレポートを提出させるようにすれば,生徒自身が疑問に思う点や理解できていない点を指導者が確認しやすい。例えば,有効数字を間違えた生徒は,次の実験でも間違えていることが多い。自然と指導者と学習者の間で生徒実験の振り返りができ,従来の紙レポートよりも,指導が効率化され,個々の生徒の理解度に注目できたように思う。
図8にExcelの操作に関する生徒の意識を示す。デジタルレポートを導入した頃は,多くの生徒が不慣れにより不満をもっていたが,実験回数を繰り返すうちに,改善されたようである。学校によって,生徒の習熟度が異なると思うが,本校の場合,多くの生徒がExcelによるデータ処理の技能が将来役に立ちそうと考えていた。したがって,デジタルレポートの導入における特別な心配は必要ないと考えている。しかし,課題として,Excelを含めたアプリケーション等の使い方は,継続的に指導しなければならない。
6.おわりに
大学進学をめざす生徒の多くは,「問題が解ける」だけで学ぶ喜びや楽しさを実感できるかもしれない。しかし,物事や現象に対して疑問や興味を抱かせ,その興味を持続させることも,生徒の将来に欠かせないものと考える。また,入試問題において,実験や観察により得られたデータの読み取りや分析を正確に処理する能力が求められている。生徒実験は,まさにそれらの力を育むために必要な学習活動だろう。
生徒の感想は,実験により学習意欲の向上や理解が深まったなどの前向きな意見が多かった。また,デジタルレポートを活用した生徒実験は,授業時間内で考察に注力させることに効果的であることがわかった。グラフ作成などを自動化し,実験結果を瞬時に共有できる点で,デジタルレポートの方が,生徒の細かな気づきや面白い考察を得やすいかもしれない。ただし,デジタルレポートを用いる際は,生徒のレディネスを考慮し,自動生成させたグラフをもとに考察させる機会を指導者が注意するべきだろう。今後も,反省点を踏まえながら改良を加え,生徒実験を通じた探究的な学びを推進していけるよう努力していきたい。
【参考・引用文献】
- 1)文部科学省(2018).『高等学校学習指導要領(平成30年告示)解説 理科編 理数編』.p.61
- 2)旺文社 (2021).「全国大学入試問題正解」.p.177-183
- 3)増田健二 (1987).「気体の比熱比γの測定に関する試み:クレマン・デゾルムの実験改良」日本物理教育学会,物理教育,35巻2号,p.84-87
- 4)山口県高校教育理化研究会,物理研究委員会(1999).「物理実験集」





























































