1.はじめに
私は令和5年度に山口県立徳山高校理数科1年次生の課題研究Ⅰ(数学)を担当した。前年度は理数科2年次生の課題研究Ⅱ(数学)を担当し,「ナポレオンの定理の拡張」の指導をした。
令和5年度の課題研究Ⅰ(前期)では,理数科1年次生40人を13~14名の3つのグループに分け,ローテーションで数学と他の理科分野(物理,地学)の「ミニ課題研究」を行った。
グループはさらに4~5名程度の班に分かれ,班で研究テーマを決めて研究した。週2時間,1ヵ月程度で研究を行い,各自レポートを提出する。なお,最初のグループは,SSH科学巡検におけるポスターセッション用のポスターも作成した。
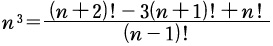
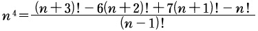
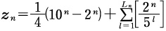
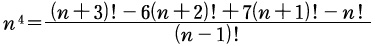
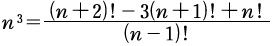
高校生になって間もないからそんなに高度なことはできないと思い,整数関係,特に階乗に関わることを研究対象としてみた。最初のグループには,「
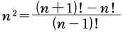
を階乗で表す」,「
の素因数分解」や「
(
は自然数)の末尾に並ぶ0の個数」を提示し,それをもとに探究を行わせた。
第2グループにも同様の探究をさせたが,中にはかなり高度な考察をする生徒もいた。結局は自らが立てた予想を証明できなかったが,それは第3グループに引き継がれ,その予想は証明された。
本稿ではその様子を紹介したい。
2.生徒に提示したこと
最初に生徒に提示したのは次のことである。
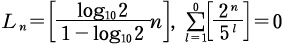
は平方数である。
は立方数である。
は3つの連続する自然数の平方の和である。
は連続する自然数の立方の和である



は
で表される(ただし,使わないものがあってもよい)
と
の間にある関係
つまり
を2以上の自然数とし,
を
以下の素数
とするとき,
ただし,
は1から
は素数
までの
の積をとり,
は
である
についての和をとるとする。
は自然数とするとき,
の末尾に並ぶ0の個数
は
個である。ただし,
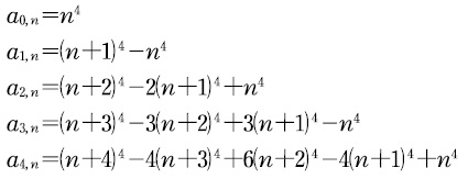
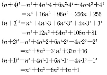
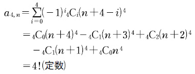
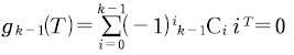
3.生徒の予想
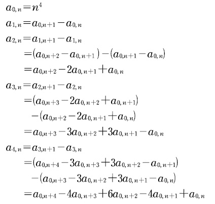
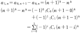
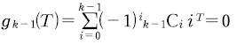
第2グループのある班では,授業ではまだ数列は学習していないが,すでに「階差数列」について勉強している生徒がいて,
について次のように高階の階差数列を考えた。

よって,

所謂「3階の階差数列
」を作れば(初項60)公差が
(
)の等差数列が出現することに気付き,そこから,

とおき,数列
の第1階差数列
第2階差数列
,第3階差数列
,第4階差数列
を作ることで,以下のようになると考えた。

すると

つまり

となる。
特に,
については

であることから

と面倒な計算で示せるが,彼らは「パスカルの三角形」(これも自分達で勉強している)
に着目して,
を満たす数列
で,
を
で表すとき,それぞれの項の係数はパスカルの三角形に近く(原文ママ),
と表せると看破した。
パスカルの三角形
に対してこの場合は,三角形
と見做した。

のとき,
であるから,
というわけである。
特に,
のとき,
であり,

である。
一般的には,すべての自然数
,
に対して
であることが示せればよいことになる。
第2グループのある班の考察は,時間的な制約もあり,ここまでとなって,
すべての自然数
,
に対して,

であることは予想に留まった。
これが証明されれば,
となる。

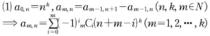
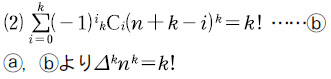
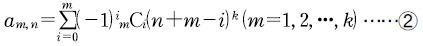
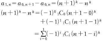
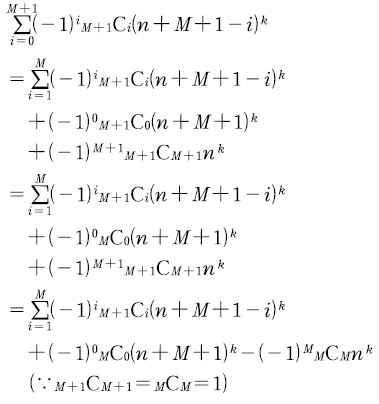
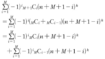
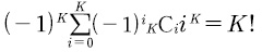
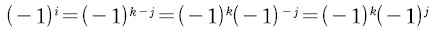
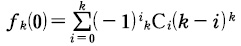
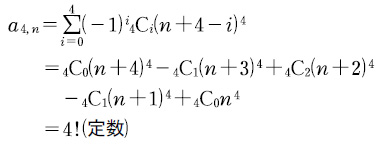
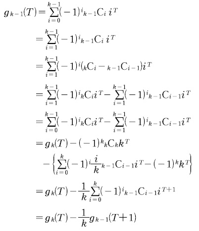
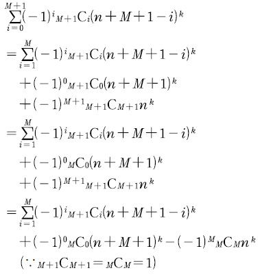
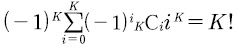
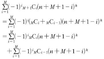
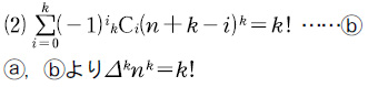
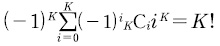
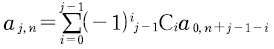
4.予想の証明
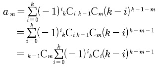
第2グループのある班での考察は
つまり
の第4階差数列が
であることは示せたが,一般の場合の
つまり
(
は自然数)の第
階差数列が
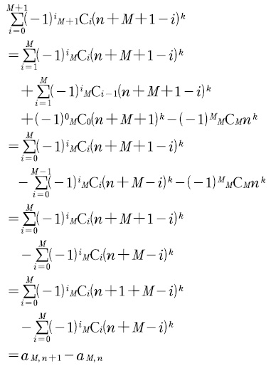
であることまでは示せなかった。しかし,解決のためのアプローチは考察してあったので,これを引き継ぎ,第3グループのある班のA君が証明した。
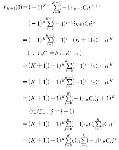
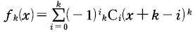
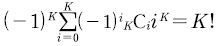
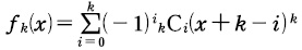
彼はレポート用紙5ページの論文として提出したが,要点は,次の通りである。

つまり
これより
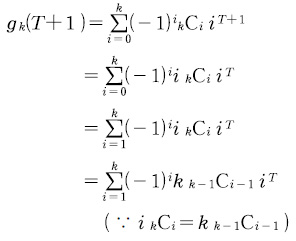
補助定理
から

いかにしてⓑを示すかがポイントになるが,A君は巧妙な補助定理を作って証明したのである。

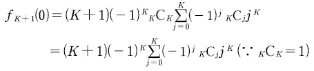
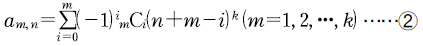
であること
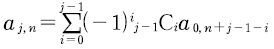
一般項が
である数列を
とし,その第
階差数列を
で表す。
このとき,

ならば,

であることを示す。
[1]
のとき ①より

であるから
よって,②は成り立つ。
[2]
(
は2以上の自然数)のとき,②が成り立つと仮定すると

である。

ここで,
を使うと

よって
①より
であるから
となり,
のときも成り立つことから,
である。
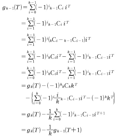
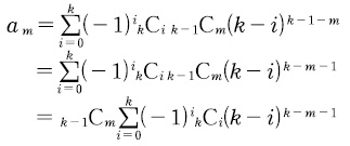
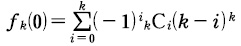
であること
とおくとき,
である。
このとき
かつ
が成り立てば,所望の目的を果たすことになる。
ここで,次の補助定理を考える。
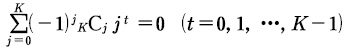
〈補助定理〉
を自然数とするとき,
【証明】
とおくと
[1]
のとき

よって,成り立つ。
[2]
のとき
であると仮定すると

より
が2以上の自然数のとき
である。
を変形すると

これより,
ここで,
より
である。
よって,
が2以上の自然数より
が自然数のとき
となり,
のときも成り立つことから,
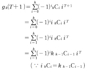
(ア)
が成り立つこと
より
である。
とおくと
のとき
より
であるから
であることから

これより

よって,
のとき成り立つ。
のとき成り立つと仮定すると,
より
このとき

補助定理より
であるから

であるから
よって,
のとき成り立つので,
である。
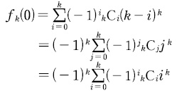
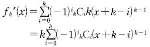
(イ)
であること
より

とおくとき,
は
次以下の整式であるから
を定数として,
と表せる。

とおくと,
であり,
であるから,
であるから,補助定理により
よって,
したがって,
これより
である。
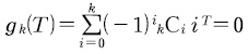
以上から,≪すべての自然数
に対して,
である≫ことが証明されたから,引いては≪
,
を自然数とするとき,
の第
階差数列の一般項は
である≫こと,つまり
が証明できたことになる。
5.まとめ
正直なところ,レベルの高さに驚いた。本校の理数科の偏差値は県内トップであり,理数科目が得意な生徒が入学してくる。昨年度の2年次生も「ナポレオンの定理の拡張」で高い数学的能力を示す生徒がいたが,入学間もない1年次生でここまでの考察をするとは…という思いである。
「階乗を楽しもう!」という軽い気持ちで,
と
あるいは
と
の簡単な関係などを考察させればよいだろうと思っていたが,予想以上の展開になった。
入学早々,理数科の数学ⅠAの授業後に担当教員が「ロピタルの定理の適用条件」や「
論法」についての質問を受けたという。そのときは生半可な知識をひけらかしているのでは…と思ったがどうやらそうでもないらしい。今後の成長が楽しみである。
A君のレポート



































































