高等学校
TOP
数学
α数学シリーズ
爽解数学シリーズ
新編数学シリーズ
深進数学シリーズ
令和4~5年度発行 教科書
参考書
傍用問題集
課題用ノート
入門
単元別教材
入試対策問題集
中高一貫教材
システム数学1・2シリーズ
システム数学3シリーズ
フォーカスゴールドジュニア
Libry
AIチューターゼロ
Math×Pass
スマートレクチャー
情報誌 Focus Communication
授業実践記録
お知らせ
理科・理数科
物理
化学
生物
地学
科学と人間生活
理数探究基礎
シミュレーションボックス
インタラクティブフィジックス
英語
ELEMENTシリーズ
LANDMARKシリーズ
LANDMARK Fitシリーズ
Vision Quest Iシリーズ
Vision Quest Ⅱシリーズ
令和4~6年度発行 教科書
総合英語
教科書補助教材
スピーキング
英単語・熟語
英文法・語法
英作文
リスニング
長文
速読
サイドリーダー
スマートレクチャーコレクション
スピーキングプラス
ポケットスピーキング
超教科書
Check ME
留学プラス
ポケットリスニング
探究活動
課題研究メソッド 2nd Edition
課題研究ノート 2nd Edition
課題研究メソッド 2nd Edition Teacher’s Manual
ゼロから始める探究活動 課題研究メソッド ZERO
ゼロから始める探究活動 課題研究メソッド ZERO 指導用DVD-ROM
情報誌「課題研究通信」
Webリンク集
情報
大学入学共通テスト対策問題集 情報Ⅰ
ICT教材
お探しのコンテンツが見つかりませんか?
戻る
教科書
教授資料
学校採用図書
サポート資料
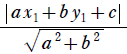
2013年の大阪大学文系で次のような問題が出題された。
xy平面において,点P(x1,y1)と直線l:ax+by+c=0の距離は, である。これを証明せよ。
* 詳細はPDFファイルをご覧ください。 (PDF:155KB)