高等学校の教科書・教材|知が啓く。教科書の啓林館
数学

数字遊びで学ぶ「数列」~数学B「数列」の導入~

神奈川県立鎌倉高等学校 渡邊 翼

0.ワタナベ数学の授業での心構え

「よく考え,よく共有をする(学び合い)」 

ワタナベ数学を受けるための心得

これは,年度はじめの学習オリエンテーションで毎年伝えていることです。
数学と他教科との大きな差は「(論理的)思考力」「表現力(論述)」だと考えています。多角的な視点から問題を注視し,既習事項を活用しながらどのように紐解いていくかを考えていく。自身の考えを端的に,そして,わかりやすく書き表し他者に伝える。計算力も大切ではありますが,思考の過程に注目し,“数学ならでは”の特徴を存分に味わってもらいたいと考えています。
ほんの数行の短い問題でも捉え方は生徒によって様々です。解決のためのプロセスを真剣に考える。一人の脳内で考えることが難しい場面に直面することも多々ありますが,そんなときこそ思考の流れを他者と共有し,どの手法が良いのかを議論するだけでも充分面白い。そこが数学の面白さでもあると考えています。数学を通じて多くの刺激を受け,授業時間内は頭の中をフル回転してもらいたいです。

1.授業実践の趣旨

数学B「数列」では,序盤の等差数列・等比数列は順調に学習が進むものの,登場公式数が増えてくる中盤あたりから「公式ありき」の学習になり,思考が停滞しがちになります。今回は,数列の特性・特徴をよく理解し,その規則性から自分たちで公式を導き,その後の学習においても柔軟な思考力・判断力とその対応ができるための能力が身に付くような導入を考え実施しました。今回の授業実践レポートでは,はじめの3回分の授業を記事にします。

※学習内容は作為的に順序を入れ替えています。生徒の理解・思考が自然な流れで進められるように工夫をしているつもりです。

2.授業実践

主役は生徒,教員は生徒のアイディアを引き出す

■1時間目「『数列の基本』を学ぶ」 授業プリント№1

テーマは「数字遊び」です。小・中学,そして,高校1年生までに学習をしてきた“数字の感覚”を大切にして他者と相談しながら学習をする型で授業を展開していきます。教材は私がオリジナルプリントを作成し,解き進めていく中で「数列」を学習するために必要な着眼点や知識・技能が自然と身に付くような工夫をします。ポイントは公式に頼らないことです。

W-upでは植木算の発想を使って前後の関係性や,後に登場する等差数列・等比数列・階差数列の項の数え方の土台を作ります。プリント№1では?が面白いですね。生徒の興味・関心をグッと高め,数列に対する考え方を大幅に引き上げてくれます。階差数列やフィボナッチ数列といった名前がわからなくても十分に対応でき,導き方によっては私が予測していたものとは異なった思考で別解も登場してきます。ここまでくるとでは教員が説明をしなくても生徒同士で話し合いをしながら導き出すことが出来ます。中には,直線の方程式に置き換えて視覚的に考える生徒も出てきました。私がおこなったことは,プリント下部の「イメージ図」と「用語」の確認,それと“等差数列の概念”にほんの少し触れただけでした。

■2時間目「等差数列の和とΣ」 授業プリント№2

の問題が非常に秀逸です。もちろん答えを出すことは出来ますが,そこで手を止めてしまう生徒がとても多いです。この問題は答えを出すことがメインではなく,どのように考えるのかが主題という話をし,「工夫して」という点にフォーカスをあててとにかく議論をさせることにしました。

柔らかい思考ができるまでに少し時間がかかりましたが,(1)だけでも5つの解法を考えることができました。
並び替え(解1°,解2°),平均値・中央値(解3°),逆並べの和(解4°),視覚利用(解5°)です。解5°ではテトリスのように反転させて6×6になることに気付いた生徒もいました。
その後は演習を行います。 456 では,等差数列の一般項を立式できるかの確認と,どのような考え方で和を求めるかを見ることにしました。実際に数字を書き出す生徒が多く,この時点で公式に頼らないで数列の規則性をしっかりと見抜こうとしている姿勢が見られました。演習中も生徒同士での学び合いは継続させ,どの解法が1番簡単になるかを共有するようにしています。 6 になると等差数列の和の求め方が徐々に確立されはじめ,中には「等差数列の和はS_n=1/2・(項数)・{(初項)+(未項)}を使えばいい」と言い出す生徒もいます。このタイミングで等差数列の和の公式について助言をすることにしました。
しかし,ここまで公式に頼らないで学習を進めてきたのにここで公式が先行してしまうのは趣旨とズレが生じてくると考え,あえて 7 のような問題を用意しておきました。はじめは困惑する生徒が多かったのですが,しばらくするとイメージ図を描くことで等差数列のカラクリに気付き,正答を導くことができるようになりました。少しずつですが数列の原理原則の理解に近づいていることを実感しました。また,互いに説明をし合いながら理解を深めていく姿を見ていると,教員が細かい説明をしなくても生徒たちだけで十分良い授業が展開できるのだと感じました。
和の記号Σについては,「なぜ,和の記号Σを使うのか」「抽象(Σ)→具体」「具体→抽象(Σ)」の説明をし,ここでは書き方のルールのみを話します。

■3時間目「和の記号Σの公式を導く」 授業プリント№3

これまでの数列の授業では,数列の規則性から考えていくことを中心に取り組んできました。今回も,和の記号Σの公式を導くために一般的な証明方法とは異なり,規則性から公式を導くことに試みました。今回の授業ではn=5までの数値を求め,それぞれの数値の関係性を読み取り,一般化して公式を導きます。n=5以上でも成立するか否かについてはここでは言及しないことにします。
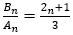
Q (1)は表を埋めるための作業をします。この時点では和の記号Σの公式を知りませんから実際に書き出して和を求めています。(2)では,初項から第n項までの和を式で書いて,授業プリント№2 3 を思い出しながらゴールを目指します(これも良い復習になりました)。結果的にこれが∑_(k=1)^n kの公式になります。(3) ①は表を参考にするとA_nC_nが2乗の関係になっているとすぐにわかるのであっさりと導くことが出来ます。ここまでは順調です。問題となるのが(3)②です。A_nB_nの関係性がなかなか見つからないので,少しずつヒントを出しながら生徒が気付くタイミングまで待ちます。B_n/A_n =(2_n+1)/3が出てくればそれ以降は式変形で求めることができました。
最後のハードルが高かったのですが「規則性に注視して,柔軟に対応することが重要である」というメッセージを伝えるには十分すぎると感じています。

<生徒の感想> *Google Formにてアンケート収集(一部抜粋)

3.授業実践をして感じたことや今後の課題

平成29年に実施された『共通テスト試行調査』の問題をはじめて見たところから私の中で何かが動き出しました。それが“何か”に気付くまでに多くの時間を要したが,それを経てからのここ数年では「生きた授業をしたい」と思い,日々教材研究に努めるようになりました。また,それと同時に「生徒の可能性を広げる授業をしたい」と感じるようになりました。
「数列」を題材としたとき,序盤から公式に数値を入れるだけで答えが出てしまう傾向に以前から物足りなさを感じていました。そこで,

といった理由から,子どもたちが持っている数字の感性を大切にした授業を作ろうという考えに至りました。
実際に授業をしてみると,想定していた以上の反応と取組意欲の良さ,様々な思考から導き出される解法の多さに感激しました。生徒が出した答えが誤答であったとしても,その誤りを仲間同士で分析・探究し改善していく姿も見られました。理解度の低い生徒にも仲間同士で助け合いながら学習していく場面もあり,全体の学力底上げにも繋がっています。まさに「生きた授業」でした。また,自分たちで探究的学習をしていることもあり,生徒の理解度も非常に高いです。教員がほとんど手を入れなくてもここまで理解が進むことに驚きも覚えました。
今後の課題として挙げるのであれば,

特に,授業時間内で多くの議論をし続けていることもあり,頭の中がごちゃごちゃになっている生徒が多いので③を組み込んで改善していくことで脳内整理や知識・技能の定着に繋がると感じました。
いずれにしても,知識注入型・公式先行型の授業展開ではないので,生徒が自らの力で規則性や法則を見出し,仲間と積極的に議論をしながら課題解決をしていました。「思考・判断・表現」力の向上,そして,「主体的,対話的で深い学び」ができていると実感をしております。