高等学校の教科書・教材|知が啓く。教科書の啓林館
数学

数学的活動を取り入れた授業実践について
~生徒による作問と誤答例の検討~

神奈川県立希望ヶ丘高等学校定時制  柳澤 隆規

1.はじめに

高等学校学習指導要領には,「自ら課題を見いだし,解決するための構想を立て,考察・処理し,その過程を振り返って得られた結果の意義を考えたり,それを発展させたりすること」という一文がある。しかし,授業の多くは,すでに与えられた課題を解決することに重点が置かれ,課題を見いだす授業はあまり多くない。そこで,自ら課題を見いだすとともに,解決させるという両方に主眼をおき授業を行った。その方法として,グループをつくり,生徒自らが問題と,その解答をつくる。その際,正答だけではなく,誤答例についての検討をさせるという学習を試みた。

2.授業の流れ

1時間目

2時間目

今回は2時間相当の授業を利用し,この取り組みを実施した。しかし,授業時間や作問数を増やしたり,減らしたりすることができるなど,学校の事情に合わせて様々な工夫をすることができる。

3.実践内容

本校定時制課程では,1年生,2年生で数学Ⅰを扱い,3年生,4年生で数学Ⅱを必履修科目として扱う。本実践は,3年生の数学Ⅱを対象とし,「整式の乗法・除法,分数式」についての学習を一通り終えた後に行った。授業の冒頭で,簡単に学習内容について復習を行った後,グループに分けて作問を行う。その際,なるべく間違いが多くなりそうな問題を考え,正答とその誤答例についての解答を作成する。

提出された問題をグループごとに印刷し(授業時間の関係から,自己採点または教師による採点を行う場合はまとめて印刷してもよい。ただし,採点までグループで行うことにより,様々な解答と出会うことができ,解答の書き方についての学習もできる機会となる),個々に配布する。

作問された問題を個人で解き,それぞれの答案用紙を作問したグループに渡す。グループごとに採点を行い,誤答例の的中数を比較する(クラスの雰囲気を見ながら,的中数をゲーム形式で競わせても面白い)。

その後,なぜその問題を選んだのか,誤答例のポイントはどこにあったのかなどをグループごとに発表させ,正答についての解説を加える(時間がなければ,グループで作成した模範解答を配布してもよい)。最後に,授業の感想についてのアンケートを行い終了となる。

問題例

問題例

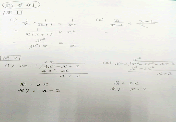
誤答例

誤答例

生徒の感想

4.成果と課題

問題をつくることは,生徒にとって初めての経験であり,なかなかハードルの高い課題であった。しかし,自分がいつも間違えてしまっていた問題や,とまどっていた問題などを,ノートを見返しながら振り返ることで,理解不足であった問題を振り返る機会となった。そして,ただ問題をつくるだけではなく,誤答と向き合うことで,より深く考える習慣を身に付ける一助となったようである。

教科書や問題集など,すでに誰かの手によってつくられた問題を使って演習をすることも必要であるが,問題をつくることで,その問題を出題する意図はどこにあるのか,どのように数字や文字を式の中に組み込んでいくと問題が成立するのか,などを考えることによって,問題そのものと向き合う機会を持つことができる。さらに,問題設定から問題作成を自ら行い,解決することで,より学習指導要領で求められている要求を満たすことが期待できるのではないだろうか。また,本実践は定時制高校で行われたが,どの学力水準においても行える実践内容である。

今回初めて行った実践だったこともあり,文章題などの設問はほとんど見られず,「次の計算をしなさい」といった,計算問題ばかりとなってしまった。そのため,今後複数回行うことで慣れさせていき,条件を与えるなど,問題文そのものに工夫を凝らせるよう指導をしていく必要がある。