数学Bは,多くの生徒が苦手とする「数列」と「ベクトル」が取り上げられています。中でも,群数列に対する生徒の苦手意識はかなり高いものであると感じています。「数列」は規則性を見つけさえすればよいのですが,生徒は自分で規則性を見つけることができません。しかし,群数列がセンター試験の問題として登場し,教科書の例題として取り上げられているため,少しでも多くの生徒が理解できるように工夫した指導が必要となります。
教科書や参考書の通常の解説は,当然数字が横に並んでいます。これを,縦書きの表にするとかなり考えやすくなります。まずは,教科書レベルの例題を使って紹介します。
1から順に自然数を並べて,下のように,1個,3個,5個,……となるように群に分け,順に第1群,第2群,……とする。
1 | 2,3,4 | 5,6,7,8,9 | 10,11,12,13,14,15,16 | …
(1)第η群の最初の数を求めよ。 (2)第η群に含まれる数の総和を求めよ。
群数列解法のポイント
【Focus Gold 数学Ⅱ+Bより】
[解答]
*縦書きの表を作成すると,ポイント[1][2]が見えてくる。
| 群 | 項数 | 数列 | 項数の和 |
|---|---|---|---|
| 1 | 1 | 1 | 1 |
| 2 | 3 | 2,3,4 | 1+3 |
| 3 | 5 | 5,6,7,8,9 | 1+3+5 |
| 4 | 7 | 10,11,12,13,14,15,16 | 1+3+5+7 |
| ┆ | ┆ | ┆ | ┆ |
| η-1 | 2η-3 | …,○-1,○ | 1+3+5+7+…+(2η-3) ☆ |
| η | 2η-1 | ◎,◎+1,… | 1+3+5+7+…+(2η-1) |
(1)第η群の項数は(2η-1) であるから,第(η-1)群(η≧2)までの項の総数は,
![]() |
☆部分 |
| よって,第η群の最初の数は第(η-1)2+1項であり, | ◎=○+1 |
| (η-1)2+1=η2-2η+2 | ◎部分の数字が分かった |
| これは,η=1のときも成り立つ。 | |
(2)第η群に含まれる数の総和は,初項η2-2η+2,公差1,項数2η-1の等差数列の和であるから,

縦書き解法を利用して,大学入試問題にチャレンジしてみました。
2の累乗を分母とする既約分数を次のように並べた数列について,

[解答]
| 群 | 項数 | 分母の数列 | 分子の数列 | 項数の和 |
|---|---|---|---|---|
| 1 | 1=20 | 2=21 | 1 | 1 |
| 2 | 2=21 | 4=22 | 1,3 | 1+2 |
| 3 | 4=22 | 8=23 | 1,3,5,7 | 1+2+4 |
| 4 | 8=23 | 16=24 | 1,3,5,7,9,11,13,15 | 1+2+4+8 |
| ┆ | ┆ | ┆ | ┆ | ┆ |
| 10 | 29 | 210 | 1,3,5,7,……210-1 | |
| ┆ | ┆ | ┆ | ┆ | ┆ |
| η | 2η-1 | 2η | 1,3,5,7,…2η-1 ※ | 1+2+4+8+……+2η-1 ☆ |
第10群の欄は,後から書き込めるように最初は空欄にしておきます。
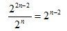
(1)分母が2κである分数を第κ群とする。
分母が2ηの分数は2η-1個あり,分子は初項1,末項2η-1,項数2η-1の等差数列になっているから, ※部分
分子の和は 
となり,分母が2ηであることから,その和は 
(2)第η群までの項数の和は
☆部分
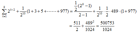
29-1=511,210-1=1023 より,第1000項は第10群にある。
(ここで,表の10群の欄を考える)
1000-511=489より,第1000項は第10群の第489項となる。
分子は奇数列となっているので,分子の一般項は2m-1であるから,
第489項は2・489-1=977である。
よって,初項から第1000項までの和は

紹介した縦書き解法のメリットは2つあります。
[1] 規則性を見つけやすい。
縦書きの表にすることで,様々なものが見やすくなってきます。問題に問われているか否かに関わらず,上の表を書くことが重要です。
[2] 解答スペースを確保しやすい。
きめられたスペースしかないところ(解答用紙やノート,黒板)で解答するためには,横に書くよりも縦に書いたほうがいいです。板書をするときに実感しました。
実際には,群数列にたどり着く前に「数列は難しい」と諦めてしまう生徒が多いのが現状です。等差数列や等比数列までは何とかなりますが,Σが登場するともう大変です。数列やベクトルといった生徒が苦手とする科目(数学B)を担当すると苦労が絶えません。だからこそ,工夫した授業展開ができるように,これからも研鑽を重ねていきたいと考えております。
最後までお読みいただきありがとうございました。