令和3 年の学習指導要領改訂から数学Aの「場合の数と確率」にて「期待値」が復活した。これにより数学 Bの「確率分布と統計的な推測」での「期待値」はより高度なものになり,統計的な内容とも密接に関連していくと思われる。大学入試で条件付き期待値を求める問題が出題されたので,これを題材として,条件付き期待値の概念の習得を目指す。
本校は東京都内にて中高一貫教育を行う私立学校であり,毎年数十人の東京大学合格者を輩出する進学校である。数学科においては,基礎・基本を重視した指導を行いつつ,演習問題として,大学入試問題を取り上げて,実践力を高める授業を行っている。数学Aの一部を学習済みである生徒たちを対象として,春期講習にて「条件付き期待値」についての授業を行った。生徒たちは「場合の数と確率」以外に,「数学と人間の活動」において,「不定方程式」についても, ユークリッドの互除法や合同式,重複組合せ
まで学習しており,その基礎的な知識は成熟している。
ある試行の結果によって定まる数量
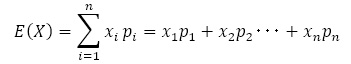
があって,
のとりうる値のすべてが
であり,その値をとるときの確率がそれぞれ
であるとする。このとき
を数量
の期待値という。また事象
,
について,
を「
が実現したという条件のもとでの
の条件付き確率」という。
「
が実現したという条件のもとでの
の条件付き期待値」を
とし,「条件
のもとでの
の条件付き期待値」を
とする。
あるすごろくのゲームでは,1 枚のコインを投げてその表裏でコマを前に進め,10 マス目のゴールを目指すものとする。
コマは,最初,1 マス目のスタートの位置にあり,コインを投げて表であれば 2 マスだけコマを前に進め,裏であれば 1 マスだけコマを前に進める。ただし 9マス目で表が出たため 10 マス目を超えて前に進まなくてはならなくなった場合には,ゴールできずにそこでゲームは終了するものとする。また,コインの表と裏は等しい確率で出るものとする。
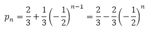
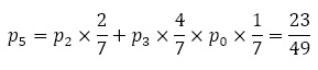
このとき,ある 1 回のゲームの中で
マス目(
=1,2,・・・,10)にコマがとまる確率を
とすると
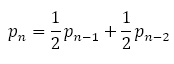
である。一般に
である。また,コマがゴールしたとき,スタートからゴールするまでにコインを投げた回数は平均
である。
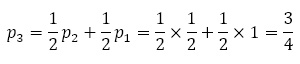
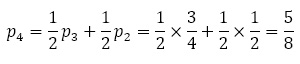
3 マス目に止まるのは「コマが 1 マス目にある状態で,コインを投げて表が出る」または「コマが2マス目にある状態でコインを投げて裏が出る」のいずれかであるから
同様にして 4 マス目に止まるのは
となる。
≥ 3に対し,
マス目に止まるのは「コマが
マス目にある状態で,コインを投げて表が出る」または「コマが
マス目にある状態でコインを投げて裏が出る」のいずれかであるから
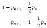
この漸化式を初期条件
のもとで解いて
をえる。(2項間漸化式
を解いても同様の結論をえる)
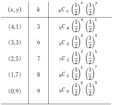
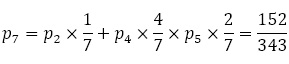
ゴールする確率は
であり,このときのコインを投げた回数を考える。ゴールしたとき,表が出た回数を
,裏が出た回数を
とすると
2
+
= 9(
,
は非負正数)
であり,これを満たすのは(
,
)=(4,1),(3,3),(2,5),(1,7),(0,9)の 5 組で,それぞれでコインを投げた回数
と,それが実現する確率は
となる。また
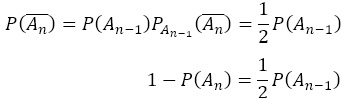
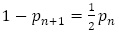
より
。
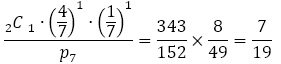
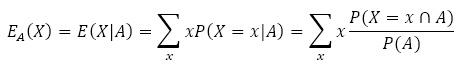
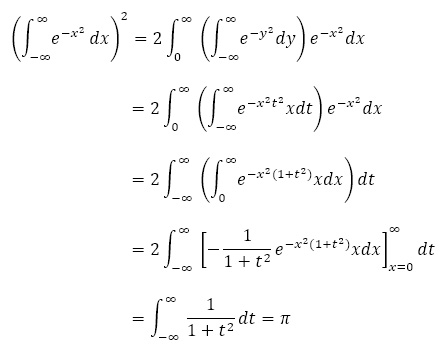
求める期待値はゴールしたときのコインを投げた回数kの期待値だから,用いるのは条件付き確率
となり
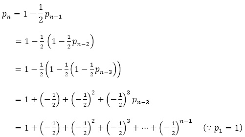
前半部分の漸化式の立式,変形に関して,高校1年生では数列は履修前なので,次のように工夫した。
1 回のゲームの中で
マス目にコマが止まる事象を
とすると,
が起こらないのは
が起きて,コインを投げ表が出る場合だから
として,2 項間漸化式
を導出してから次のように変形する。
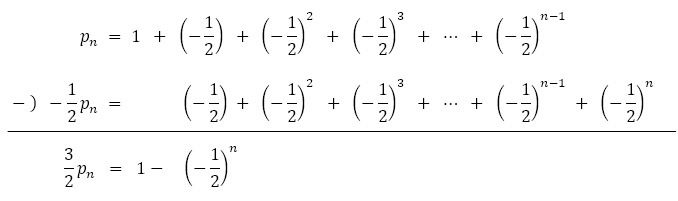
≥ 2に対して
なる交代級数を考える。
を求めるだけなら
= 10 を代入すればよい。一般項については等比数列の和を計算して
より,
をえる。
後半部分の条件付き期待値については,確率変数を用いた記法
などが,やや記号の濫用のように感じられるので,次のようにした。
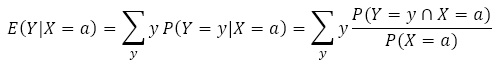
1 回のゲームの中でコインを投げた回数が
回である事象を
する。このとき,
が実現したという条件のもとでの
の条件付き期待値は
と書き下せる。本問であれば
は「
回コインを投げてゴールする確率」に相当することになる。これは
より考えやすい。
5 日間の春期講習の期間中に,一部の意欲ある生徒たちが話し合って作成してきてくれた問題をこちらで紹介しておく。彼らは問題を作成することを通して,どのような設定が問題の難易度に関わるのかを考察して,理解を深めていた。
赤玉が 4 個,白玉が 2 個,青玉が 1 個入った袋から,1 個の玉を取り出し,色を調べてからもとに戻す操作を何回か行い,以下のように得点を定める。
)赤玉を取り出したとき,2 点
)白玉を取り出したとき,3 点
)青玉を取り出したとき,5 点得点の合計が 7 点以上になったとき,その時点で操作を終了とする。また得点の合計が
点である確率を
とする。このとき次の問いに答えよ。
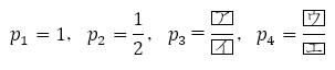
,
,
,
を求めよ。(1)
= 1である。
は得点の合計が 0 点のときに,赤玉を取り出す確率だから
は得点の合計が 0 点のときに,白玉を取り出す確率だから
は得点の合計が 2 点のときに,赤玉を取り出す確率だから
は「得点の合計が 2 点のときに,白玉を取り出す」または「得点の合計が 3 点のときに,赤玉を取り出す」または「得点の合計が 0 点のときに,青玉を取り出す」となる場合で,これらの事象は互いに排反だから
(2)求めるべきは
である。
は「得点の合計が 2 点のときに,青玉を取り出す」または「得点の合計が4 点のときに,白玉を取り出す」または「得点の合計が 5 点のときに,赤玉を取り出す」となる場合で,これらの事象は互いに排反だから
(3)赤玉,白玉,青玉を取り出した回数をそれぞれ
,
,
とする。このとき
2
+ 3
+ 5
= 7
の非負整数解を求める。
2
+ 3
+ 5
≥ 7-5
≥ 0
より,
= 0,1
(ⅰ)
のとき
だからこれを満たす非負整数解は
,よって 
(ⅱ)
のとき
だからこれを満たす非負整数解は
,よって 
(ⅰ),(ⅱ)より,得点の合計が 7 点となるとき,色を調べた回数として考えられるのは 2,もしくは 3 である。
(イ)得点の合計が 7 点となるとき,色を調べた回数が 2 である確率は
(ロ)得点の合計が 7 点となるとき,色を調べた回数が 3 である確率は
(イ),(ロ)より求める期待値は
となる。
授業を受けた生徒からは以下の感想が寄せられた。またこれに対する教員の応答も添える。
塾で「~のとき」と書かれている場合,条件付き確率だと教わったが,見逃してしまった。
→問題文だけで判断すると見逃しやすいですね。落ち着いて問題のルールを把握して,実態を掴みましょう。
慶應の過去問の設定では,条件付き期待値の計算の方が,具体的に考えやすく,計算がしやすい。
→身近な期待値は,ほとんど条件付き期待値といってよいでしょう。我々は自然とそういった考え方をしていますね。
期待値を計算するときの条件付き確率の和が 1 であった。当然と言えば当然であるけど,このことを確認したことはなかった。
→よく気付きましたね!ある条件についての条件付き確率の総和が 1 になることはあまり強調されませんね。
など,条件付き期待値が身近な概念であることを確認することができたようであった。
また,生徒たちが作成した問題に対しては,
難易度がちょうどよい。ちょっと数えるだけでも色を調べた回数に見当がつく。
→得点の合計が7点だと,すぐに気付けますね。それ以上になると不定方程式の考察が必要でしょう。
得点の合計が7となるための必要条件は,その直前の状態を考えれば簡単にわかる。
→遷移図をしっかりと描く大切さに気付いたようですね!それこそベイズの定理です。
得点の合計が10となるときを考えると,色を調べる回数が一気に増えて難易度があがる。何か上手く
を記述する手段はないか。(問題を作成した生徒)
→数列の漸化式はこういう問題で役立ちますね。もう少し深めると,ベクトルと行列(確率遷移行列)を用いてすっきりと記述することが出来ます。
などの感想があり,今後の学習に繋がるような興味をもたせることができたようである。
条件付き期待値については,条件付き確率の応用として,さまざまなバリエーションをもって大学入試に出題される可能性があり,また,数学B の「確率分布と統計的な推測」においても,連続変数に拡張した形で登場することもありうる。数学Ⅲを学習した生徒に対しては確率分布函数として標準正規分布
を用いて期待値や分散を計算させることも十分に可能である。今後はそうした内容も取り上げてより発展的な内容に繋げていきたい。
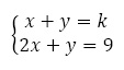
余談だが,数学 Bの「統計的な推測」では,ガウス函数の理解を深めることが非常に大切であると思っている。この函数は様々な分野で登場して有用であるし,やや強引ではあるが
とすれば,重積分の性質を用いずとも定積分の値を求めることが可能である。微分法を深めることにより,積分で使えるテクニックも増えるので,折を見て授業で取り上げたいと考えている。
数列の学習前に,確率遷移がテーマである大学入試問題を取り扱い,これを深めたことについては,少々の無理があったかも知れず,生徒たちの優秀さと素直さに助けられた感があります。しかしながら,そうした問題に早いうちから様々な工夫を凝らして果敢に挑ませてこそ,先生の存在価値があるような気がします。
ちょっと背伸びをすることで,より広大な数学の景色を見ることができるのなら,先生の背や頭を踏み台にさせてでも見せてやりたいものです。拙い実践報告ではありましたが,皆様のお役に立てば誠に幸甚です。
【引用・参考文献】