形の導入指導についての考察
数学Bの数列で扱う
形の漸化式の指導に苦慮されている先生方も多いのではないだろうか。
この漸化式の解き方は多くの問題集・参考書に
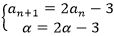
…①
の形に変形することができれば,数列
は,初項
,公比
の等比数列となる
ということが書かれており,この
は①を式変形して
から,
を解けばいいことが分かる。
しかし,理屈は分かるが,どうも
を解くことに納得がいかない生徒が多く,「こうやればいい」という指導法では,その場では頭に入れようとする一方で,授業終了後にはやり方が分からなくなってしまう場面が見られたため,効果的な指導法を模索していた。今回は私なりの簡単な指導の工夫を紹介したいと思う。
詳説 数学B-改訂版-(啓林館) 第1章 数列 第3節 漸化式と数学的帰納法(
の形の漸化式)
対象生徒は,等差数列及び等比数列の性質は既知である。
詳説 数学B-改訂版- P36 例題14の問題

の一般項
を求める問題について,等差,等比のいずれの性質も持ち合わせていることを確認する。問題を解く上で,一方の性質だけにすることを考える。
及び
を独立した変数としてみる(つまり,方程式の
と同じように考える)。2変数を考える場合は,2つ以上の等式が必要なので,もう1つ式をつくる必要があることを強調する。
等比数列の部分(ここでは
)と等差数列の部分(ここでは-3)のどちらの性質をなくせばよいか考える。逆算の要領で,等差の部分から先に計算すればいいことに気づかせる。もう1つの式は,-3が消えて,計算に都合がよいものなので,ここで
を用意する。この際に強調しなければならないのは,
から
へは同値変形ではない
ことである。最初から①を説明すると,生徒は「漸化式は同値変形で解く」ということを認識するが,そうなると,なぜ
,
をともに
に置き替えてよいのか,という議論になり混乱が生じてしまう。あくまでも,-3を消すために都合のよい式であることを意識させる。
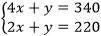
中学校で既習である連立方程式,
[出典:システム数学1 代数編 改訂版 P113]
のような問題は,既に2つ式が与えられているため,今回のような考え方では生徒が自分で式を用意することに抵抗を感じるかもしれないが,「式をつくること」を意識することで,交点の位置ベクトル(詳説 数学B-改訂版- P84)のような問題でも,
を2通りの式で表し,
を求めることへの抵抗が薄まっていくことも考えられる。
この点が納得できれば,
において,辺々引くことで
という等比数列の形に帰着させることができる。
から
となり,数列
の一般項が求められることを生徒と確認する。
(ここでは図形的考察については割愛させていただきたい。詳細はFocus Gold 4th Edition 数学Ⅱ+BのP516を参照されたい。)
ここまで教えることで,ある程度この方法を用いたやり方を習得していく生徒が多いが,授業が進むにつれて形が似た漸化式での使用が目立ってくる。
詳説 数学B-改訂版- P39の研究例題1 では,
を扱うことになるが,いきなり生徒に解いてもらうと,
としてしまい,
となり,
に
が残る。
すると,
となるが,
は定数ではないので,上手くいかない結果となってしまう。
生徒には,この問題ではなぜ
を用いた方法が上手くいかないかを考えてもらう。どこに間違いがあるかが分からない生徒も多いが,その場合は
へ1,2,… を順に代入することで確認をしてもらう。その中で,
が完全な等比数列の形ではない(順番になっていない)ことに気づけるよう誘導していく。ここまでの授業では,生徒は数列の添え字に大きく注意を払ってこなかったが,このような問題に触れていくことで,徐々に考えることができるようになっていくと思われる。
私が初めて
形の漸化式を教えた際は,どうしても解き方を教える指導形態になってしまっていた。時間をあけてから改めてこの
形の漸化式を扱ったところ,誰もやり方を理解しておらず,指導形態の見直しを早急にすべきだと痛感した。そこで,別のクラスでは今回のような方法で指導を行ったところ,授業の理解度合いが大きく変わってきた。更に,定期試験の答案にも明らかな変化が見られ,空欄が多かった答案も7~8割の生徒が記述してくるようになった。
本校は決して数学が得意である生徒が多いわけではないが,式の一つひとつに意味を持たせ,生徒の間違いを題材にしながら「どこが違うのか」を一緒に考えていくことで,徐々にではあるが,生徒が数学に対して興味・関心を抱いていくようになった。数学ができるようになっていくと,生徒は自ら手を動かし,数学を解くこと自体を楽しんでいく。今後も教科書の一つひとつの題材について深堀りを続け,生徒に数学の面白さを伝えられるような授業実践を行いたいと思う。