2018年6月に「数学が苦手な生徒のための線対称の指導~線対称の意味を体感させる~」を授業実践記録(数学)に紹介していただいた。その実践は本校で取り組んでいる「一人一研究授業」のなかで行ったもの(2017年度)である。本校は,新採用教員や本校が2校目の勤務校であるような若い教員が多く, 研修を兼ねてこの「一人一研究授業」をベテラン教員も含めて全教員が1年間に1回行っている。 2018年度は2019年1月に「併設型中高一貫教育校で行った先取り学習の授業発表会~ちょっと複雑な因数分解(たすき掛け)~」を紹介していただいたが,この授業発表は「一人一研究授業」の代替となった。2019年度は実施期限近くの1月28日に「はさみうちの原理を使って求めにくい極限値を求めよう」という題目で行った。
「はさみうちの原理」は数学Ⅲの数列の極限で扱う。ただし,「はさみうちの原理」という定理名は表立っては扱わず,
で「
のとき,
ならば,数列
は収束し,
を「はさみうちの原理」ということがある。」としてある。なお,本校の2学年特別進学クラスでの数学Ⅲ選択者はわずか10名であり,教科書は啓林館の数学Ⅲ-改訂版-を使用している。
数列の極限値だけでなく関数の極限値を求めるときでもそうであるが,等式変形だけで極限値が求められるとは限らない。入試を見据えれば,「はさみうちの原理」を使って極限値を求めるための不等式を証明(問題に与えられていることもあれば,自力で気付いて)して,その後それを使って極限値を求める問題が多々ある。この極限値を求める問題は「はさみうちの原理」を使うという判断力,そのために必要な不等式を(作って)証明する数学力が必要であるが,これに到達できない生徒は少なくない。
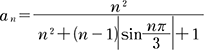
そこで,等式変形では極限値が求められない(求めることが難しい)問題を「はさみうちの原理」を使えば求められることがあることを①基礎問題→②基本問題→③標準問題→④発展問題という流れで「わかって,できる(適切に記述できる)」こと,つまり「関係的理解」と「記述的理解」をさせることをねらいとした。なお,③標準問題として,教科書(啓林館数学Ⅲ-改訂版-)の第3章 数列の極限 章末問題B4「数列
が,
で定義されているとき,次の問いに答えよ。
(1)
を示せ。(2)極限値
を求めよ。」を使った。
「極限値
を求めよ。」という問いに対して,一般に生徒は
という等式変形で解決しようとする。
この(生徒にとっては)常識を覆す一例が≪極限値
を求めよ。(教科書p81例題2)≫である。これは「理解」に必要な「調節」「同化」を生徒に迫る。生徒にとって常識であった「極限値を求めるには等式変形をする」という「極限値シェマ」の調節が必要になり,その後これまでの「極限値シェマ」に同化して「拡大極限値シェマ」を形成する必要がある。調整のためのギャップ(壁)が大きい(高い)とうまくできないので,ギャップを小さくし,徐々にレベルアップしてそのプロセスで「わかって,できる(適切に記述できる)」ようにさせる。どうすれば「はさみうちの原理」で極限値が求められるか―その解決の流れを理解し,実際に適切に記述して求められるようになるか―を生徒に意識させる展開をする。
①基礎問題,②基本問題,③標準問題までは「はさみうちの原理」で極限値を求めるのに必要な不等式とその極限値をセットにしたが,④発展問題では,極限値を求めるのに必要な不等式は自力で見つけて証明させるようにした。その問題は「極限値
を求めよ。」である。
①基礎問題は,次のような問題である。具体的な
の式で表されていない数列
であってもそれを挟む2つの数列がともに同じ極限値をもてば挟まれた数列は何であれ同じ極限値に収束することを「はさみうちの原理」を使って求めさせる。
不等式(をつくること)に慣れさせるために
を証明させた。
≪(1)
を示せ。(2)
のとき,極限値
を求めよ。≫
②基本問題は,次のような問題である。これは③標準問題を解くための「橋渡し問題」である。
≪
のとき,
とし,極限値
を求めたい。このとき,次の問いに答えよ。(1)
であることを示せ。
(2)極限値
を求めよ。≫
であること,
は
から見て定数扱いできることから総和記号の性質から
すなわち
となる。
これはちょうど①基礎問題の(2)であり,これから極限値
が即座に求められる。
総和記号を用いなくてもよいが,簡潔に表現できるよさを再認識させたい。
③標準問題は,2.で紹介した問題である。分母に根号の付いた
の式があり,初見の生徒の中にはこれに怯んだり,分母の有理化を始めたりする者もいるかもしれないが,①,②を理解させた上で,その延長上の問題であることを気付かせれば解決へ向けての方向性を誤ることはないだろう。
④発展問題は≪極限値
を求めよ。≫という問題で,はさみうちの原理を使うための不等式は明示していない。これまでの学習経験から自ら不等式を作り出し,その証明を行ってから所望の極限値を「はさみうちの原理」を使って求めるものである。
授業内容 「数列の極限と大小関係(はさみうちの原理)」 (使用教科書 啓林館 数学Ⅲ-改訂版-)
数学Ⅲ 第3章 数列の極限 第1節 無限数列
無限数列の極限 数列の極限と大小関係
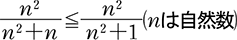
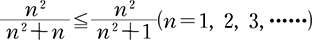
教科書の本文で扱う「はさみうちの原理」は極限値
を求めるレベルであるが,章末問題では極限値
を求める問題が扱ってある。前者では
という不等式がわかっても,それを使って「はさみうちの原理」から極限値を求めることには,既有の「極限値求値シェマ」の調節が必要であり,後者はそのための不等式を作る(証明する)という更なる課題が課せられる。
等式変形で極限値が求めづらいときの打開策の一つに「はさみうちの原理」を使って求める方法があることを知らせ,その方法で求めるために必要な「極限値を求めたい数列をはさみ,ともに収束して同じ極限値をもつ2つの数列」の見いだし方を徐々にレベルアップしながら理解させて,できる(記述的理解も含む)ようにするのがねらいである。
「はさみうちの原理」は英語では「squeeze theorem,pinching theorem,sandwich theorem」などと言う。「原理」は英語では通常「axiom」や「principle」であるが,theorem(「定理」と訳されることが多い)が使われている。「squeeze」は「〔両側から強く〕~を絞る[押しつぶす]」という意味で,野球では「〔得点を〕スクイズで取る」ということである。また,「pinching」は「挟む,圧迫するような」という意味である。
「sandwich」はあの「サンドイッチ」である。これには「~を二つのものの間に入れる」という意味がある。生徒には「はさみうちの原理」は英語では「sandwich theorem」というと言えば,その意味がイメージしやすく,また馴染みやすく,記憶にも残る。また,イタリアやロシアでは「二人の警察官の定理」として知られることも紹介する。「容疑者が二人の警察官に挟まれているとすれば,二人の警察官が署内の部屋に入るときには,容疑者も必然的にその部屋に入ることになる」からのネーミングであり,これは「はさみうちの原理の動的なイメージが描きやすい。
ア 問題1(基礎問題)
不等式
を証明させる。この不等式の両辺が「サンドイッチ」の両側のパン(あるいは,容疑者の両脇にいる二人の警察官)になるわけである。
それに挟まれる「ハム,野菜」に相当するもの(具材)を
とする。ここでは敢えて具体的な
の式で表さなかった。その方が「はさみうちの原理」の真意がわかりやすいと判断したからである。具体的なn の式で表される具材は次のレベルで扱う。
イ 問題2(基本問題)
問題3(標準問題) 教科書(啓林館数学Ⅲ-改訂版-)の第3章 数列の極限 章末問題B4を解くための「橋渡し問題」である。
問題3は「数列
が,
で定義されているとき,
を示した後,「はさみうちの原理」を使って極限値
を求めるのに対し,
として,不等式
に気付きやすいようにした。こうすれば,Σの性質から不等式
つまり不等式
が導ける。この発想は問題3にも活用する。
ウ 問題3(標準問題)
イの発想を活用する。
エ 問題4(発展問題)≪極限値
を求めよ。≫
まず,「はさみうちの原理」で極限値を求めようとする姿勢,見通しが必要である。また,そのために必要な不等式を自力で作る力が必要であるが,これは既に問題2,3で培われている。
より

よって,
つまり
これを
とする生徒もいるだろうから机間巡視で指導する。
後は極限値
が求められるかについて,机間巡視する。
極限値を求める問題について,生徒のもっている「極限値求値シェマ」は「等式変形により極限値が求めやすい形に変形して求める。」という場合が多く,不等式から「はさみうちの原理」で求めることは意識から外れていることが多い。
極限値を求めることに窮したら,「はさみうちの原理」を使うのも一法であることを理解させておきたい。そのためには「はさみうちの原理」が使える「不等式」を作ることが必要であるが,これは問題に「証明問題」として先に出題されていることが多い。その時点でピンと来なければならない。
問題1(基礎問題)では,
は具体的にどのような
の式で表されるかについての情報はなく,それを挟む2つの
の式があり,その極限値がともに存在して等しいことがわかるという設定にした。数列
そのものの正体はわからなくても二人の警察官に連行される住所不定の犯人は,警察官二人が警察署の取調室に入れば,その取調室に入る。なお,
の例としては
などがある。
問題2,3では「はさみうちの原理」を使う際に必要な不等式
を「
ならば,
」によって作っている。また,問題4では,「
ならば,
」によって作っている。
そこには数列
の単調性が効いているのである。
数学科学習指導案
令和2年1月28日(火) 第5校時 2年1組
選択G教室 指導者 西元 教善
1.題材名 はさみうちの原理(数学Ⅲ 第3章 数列の極限 第1節 無限数列 1無限数列の極限) 章末問題B4
2.主 眼 はさみうちの原理で,極限値が求めにくい無限数列の極限値が求められるようになる。
3.準 備 配布プリント
4.学習過程
| 学習内容・学習活動 | 予想される学習者の反応 | 教師の支援 | |
|---|---|---|---|
| 導入 10分 |
1.はさみうちの原理についての復習 | ○はさみうちの原理についての理解や記憶が不十分な生徒がいる。 | ○プリントで説明し,思い出させる。具体例で既習事項の確認をする。 |
| 展開 35分 |
2.問題1(基礎問題) | ○問題の意味がわからない,不等式からなぜ極限値がもとめられるのかがわからない生徒がいる。 | ○はさみうちの原理が使える状態になっていることに気付かせる。 |
問題1(1) ,(2) を満たす数列 の極限値![]() |
|||
| 3.問題2(基本問題) | ○問題1と問題2のつながりがわからない生徒がいる。 ○和を考えることにわかりにくさを感じる生徒がいる。 |
○問題1と問題2のつながりを説明する。 ○Hint を使って説明する。 |
|
問題2 を満たす数列 の極限値![]() |
|||
| 4.問題3(標準問題) | ○根号があることにわかりにくさを感じる生徒がいる。 | ○問題1,問題2との関連を説明し,根号がついていても同様にできることを説明する。 | |
問題3 のとき, (1) ,(2)極限値![]() |
|||
| 5.解答(板書) 6.班別に問題4(発展問題)を解く。 |
○徐々に求め方の構造を理解し始める生徒が出てくる一方で,一向にわからない生徒がいる。 ○必要な不等式が作れない生徒がいる。 |
○机間巡視で適切に助言する。 ○できている生徒に解答を板書させ,解説し,理解を深めさせる。 ○3班に分かれるよう指示する。 |
|
問題4 極限値 を求めよ。 |
|||
| ○わかって解ける生徒が,わからない,できない生徒に教える。 | ○机間巡視で適切に(不等式を作るように)助言する。 | ||
| 終結 5分 |
7.本時の振り返りとまとめを行う。 | ○まだ「はさみうちの原理」を使えない生徒がいる。特に不等式が作れない生徒がいる。 | ○大学入試に向けての勉強を促進させる助言をする。(等式変形だけでなく「はさみうちの原理」を使うことで極限値を求める意識をもつ。) |
5.評価
① はさみうちの原理を使うための不等式作りの意味や方法が理解できたか。<知識・理解>
② はさみうちの原理を使い,等式変形では困難な数列の極限値を求められるか。<技能・表現>