高等学校の教科書・教材|知が啓く。教科書の啓林館
数学

マスフェスタ2023に参加しました~本校科学部数学班の研究~

山口県立徳山高等学校 西元 教善

1.はじめに

現任校の徳山高校は1880年に山口県5中学の一つとして開校し,県内有数の進学校である。令和5年の進学実績は現役で国公立大進学者数が170余名である。現在,文部科学省からスーパーサイエンスハイスクール(SSH)の第3期指定をされて,理数科では理系分野の教育・研究活動が熱心である。文化部の科学部は,部員数86名で物理班23名,化学班22名,生物班17名,数学班24名の4班から構成され,それぞれ活動している。数学班の構成は3年次12名,2年次4名,1年次8名である。(2023.4.30現在)
研究テーマは各自自由であるが,今年度前半は①大阪府立大手前高等学校で開催されるマスフェスタで研究成果を発表する②徳高祭(文化祭)の恒例イベントである「徳山高校 因数分解コンクール」用の問題を作成する③数学の問題集を作成し,徳高祭で販売する3つをメインにして活動した。②について(ただし昨年度版)は2022年12月に紹介したので,本稿では①を紹介したい(③については,次稿で紹介予定)。

2.SSH校内科学研究費について

SSH校内科学研究費(以下,校内科研費)を獲得するには管理職に研究題目とその内容,研究計画等をプレゼンする必要がある。金額はプレゼン内容に従って校長が決定するが,「これまでの取り組み」「研究計画の具体性や新規性」「発表計画」「予算計画」等を総合的に判断して決定される。また,5月中旬が応募締め切りで,5月末に審査があり,1年間で完了できる内容でなければならない。
校内科研費の支給が決定されれば,月1回班長は校内科研費ミーティングに出席して研究の進捗状況等を説明し,その研究成果は校外における発表の義務が生じる。そのため校内科研費は物品購入よりは研究発表のための旅費に使われることが多い。
山口県周南市から大阪市まで,新幹線の指定席を使った往復では学割を使っても1人約2万3千円,また市内の移動は自己負担である。マスフェスタは大阪府立大手前高等学校で開催されるが,今年度は8月26日(土)開催であった。発表する2年次生は前日まで4日間の修学旅行で,帰宅後休む間もなく翌日の発表のために大阪まで移動するというハードスケジュールであった。修学旅行での出費も大きく,参加することに経済的負担は大きいが,参加者が4名ということで「校内科研費」をすべて使って半額程度の自己負担となった。校外の発表といっても遠方になると旅費の自己負担が大きいが,保護者の理解もあり4人全員が参加できた。

3.研究対象

研究テーマを何するかについて助言はしたが,最終的には生徒自らが決定した。数学Bの数列の漸化式で平面上の n 本の直線がどの2本も平行でなく,かつどの3本も1点で交わることがないときの交点の個数や分割された平面の個数を求める問題があるが,これを円で考えたらどうなるか,つまり平面上の直線の代わりに円に内接する n 角形(以後,内接 n 角形)の対角線がつくる交点の個数anや円の分割部分の個数bnを n の式として求めたいと思うようになったということであった。内接 n 角形といっても正 n 角形のときでさえan,bnを n の式で表すことは大変である。そこで,内接 n 角形の対角線がつくる交点の最大個数anや内接 n 角形の対角線および辺による円の分割部分の最大個数bnとして考えることにした。

研究風景

4.研究のようす

最初は具体的に図を描いて,交点の個数や分割部分の個数を数えて帰納的に求めようという試みもうまく行かず,やはり漸化式を作って一般項として求めるように方針を変えた。
内接 n 角形の対角線によって作られる交点の最大個数をan,内接 n 角形の対角線および辺によって作られる円(正確には円板)の分割部分の最大個数をbnとして,an+1=an+f(n),bn+1=bn+g(n)を満たす n の関数f(n)g(n) をどのように求めればよいかを具体例を通じ,図的考察から見出すことに取り組み, f(n)=nC3g(n)=f(n)+n=nC3+nを得た。
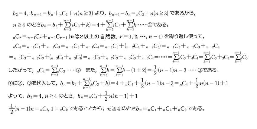
あとは,最近では教科書の本文中では取り扱わなくなった(章末問題として扱うこともある)等式nCrn-1Cr-1n-1Cr ( n は2以上の自然数,r=1, 2, …,n-1)を駆使してannC4(n≧4)bnnC4nC2nC0(n≧4)を導出した。(きれいな表現ができたと生徒も自画自賛していた)

5.要旨集に提出した要旨

マスフェスタで配布される「要旨集」のために提出した要旨は次のとおりである。

6.発表(ポスターセッション)のようす

全国から100本近くの発表があり,本校は大阪府立大手前高等学校の体育館でポスターセッションを行いました。猛暑日が続く中(8月下旬),体育館で発表するのか・・・と思いましたが,勤務校とは異なり体育館は冷房完備で,快適でした。
大学レベルやそれ以上の専門的な研究と思われるものもあり,本校生徒にとっては圧倒される内容であったと思いますが,負けずにプレゼンをしました。
自校の発表と他校のポスターセッション見学がそれぞれ45分ずつあり,それが午前と午後に繰り返しありました。45分の内訳は<発表8分+質疑応答5分+移動2分の15分>を3回するというものです。
他校の生徒や先生(助言をする大学の先生も含む)が関心を示し,聞きに来て頂けるだろうかという心配がありましたが,写真のように大勢の人が集まるときもあり,安堵しました。

プレゼンのようす

7.おわりに

教科書の内容に汲々とする生徒がいる一方でそれには物足らなさを感じ,さらに深めたいとか新規で高度の内容を勉強したい,しかもそれが可能な生徒もいる。マスフェスタは後者のような生徒のための大会で,さながら大学のゼミでの発表のような雰囲気さえ感じた。
単に大学の入試問題が解けるようになるための受験勉強とは違い,自分で研究してみたいと思うテーマを決め,計画を立て,個人あるいはグループで問題解決するという研究者さながらの経験は高校時代に経験しておくとよいと思う。
決して背伸びをして数学を勉強しなさいと言っているのではなく,可能性のある生徒にはそのような機会を与えられる環境を整える必要があるのではないかと思う。
難関大学の入試問題にも対応でき,深める勉強ができるものとしては啓林館発行の『Focus Gold』がある。前項4.研究のようすの中で「最近では教科書の本文中では取り扱わなくなった(章末問題として扱うこともある)等式nCrn-1Cr-1n-1Cr (nは2以上の自然数,r=1, 2, …,n-1)を駆使して」と述べたが,啓林館の『Focus Gold 5th Edition 数学Ⅰ+A』ではp347のまとめ3.組み合わせ 2.組合せの関係式⑵でこの等式が明記されていている。また,Columnではより踏み込んだ内容が扱ってあり,数学好き,数学に適性のある生徒にとっては垂涎の内容になっている。
【補足】nCrn-1Cr-1n-1Cr ( n は2以上の自然数,r=1, 2, …,n-1)をどのように使ったのかは次のとおりである。