現任校の徳山高校は1880年に山口県5中学の一つとして開校し,県内有数の進学校である。令和4年の進学実績は現役で国公立大進学者数が180余りである。現在,文部科学省からスーパーサイエンスハイスクール(SSH)の第3期指定をされて,理数科では理系分野の教育・研究活動が熱心である。文化部の科学部は,部員数95名で物理班31名,化学班22名,生物班18名,数学班24名の4班から構成され,それぞれ活動している。数学班の構成は3年次8名,2年次12名,1年次4名である。
研究テーマは各自自由であるが,研究資料として,大学初年レベルまでの興味ある問題(数学好き,数学が得意な生徒にはちょっと頑張ればわかってできるレベル)を扱っている「数学発想ゼミナール1・2(ローレン・C・ラーソン著,秋山仁訳)」や現在の自分の数学力レベルがわかる数学検定の過去問(準1級,2級,準2級(1次,2次))などが準備されていて,この中から研究テーマを選ぶことも可能である。また,徳高祭(文化祭)の恒例イベントになりつつある「徳山高校 因数分解コンクール」用の問題を作成するという活動をしている班員もいるので,本稿ではこの件について紹介したい。
科学部数学班の顧問になってすぐにN君(3年次生)が,昨年度から文化祭で「因数分解コンクール」を始めたこと,今年も行いたいことを伝えに来た。まだ,4月初旬のことで気が早いと思ったが,熱意を持って因数分解の問題を考えていることは十分わかった。また,昨年度の問題は難易度が高く,余り解けなかったのでどうすればよいかという相談も受けた。かなりマニアックな問題も多く(15問),これを短時間(30分)で解ける生徒は少ないだろうという印象をもった。N君としては自分の考えた問題をしっかり多くの生徒に考えて欲しいという気持ちもあるのだろうが,難易度を下げた問題も何問か入れ,文化祭で参加する生徒が楽しめるようにしたらいいのではないかという助言をした。
「徳高祭(とっこうさい)」は1週間前に開催された「大運動会(第1回は1901年に開催)」とともに徳山高校の二大行事で,伝統的に全校生徒が一体となって熱心に取り組んでいる。令和4年度はコロナ禍のために一般公開はせず生徒だけの参加で,午前中のみの2日間となり,「因数分解コンクール」は「ドリカムルーム」と呼ばれる教室(理数科の課題研究場所,数学班の活動場所)で行われた。
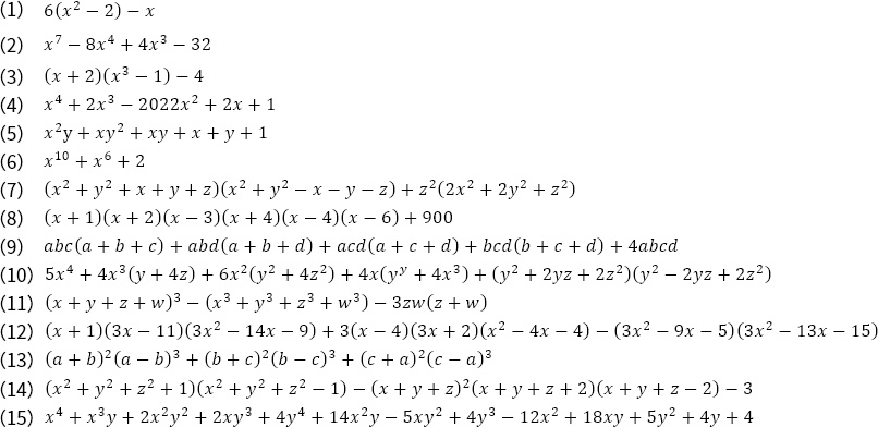
文化祭前日にN君が問題一式を携えて,100部印刷して欲しいと職員室に来た。それは次のような15問からなる問題First StageとExtra Stageと称する5問の問題から構成されていた。
問題:First Stage
問題:Extra Stage
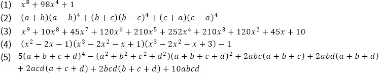
解答:First Stage
科学部の活動のようすは「SSH記事」として学校HPに掲載される。数学班の担当は筆者である。
以下は,数学班の第1回と第2回の記事である。
第1回 5月31日 タイトル『科学部数学班の活動等について』
科学部数学班は3年次生8名,2年次生12名,1年次生4名で活動しています。
科学部の他の班と違い,具体物や器具を使っての実験ではなく,いわゆる思考実験をしています。
主に「紙と鉛筆」を使うため,他の班のような派手さはありませんが,数学の魅力は何と言っても「わかる」瞬間の感動体験です。日々この体験を求めて活動をしています。
テーマは各自自由ですが,研究資料として大学初年レベルまでの興味ある問題(数学好き,数学が得意な生徒にはちょっと頑張ればわかってできるレベル)を扱っている「数学発想ゼミナール1・2(ローレン・C・ラーソン著,秋山仁訳)」や現在の自分の数学力レベルがわかる数学検定の過去問(準1級,2級,準2級(1次,2次))が準備されています。この中から今後の研究テーマを選ぶことも可能です。
また,徳高祭の恒例イベントになりつつある「徳山高校 因数分解コンクール」用の問題を作成するという活動をしている班員もいます。問題作成も立派な研究テーマになります。
≪顧問のこれまでのSSH実践指導等≫
県内初のSSH指定校(岩国高,学校設定科目(平成15年),1年次生)での実践指導
①格子多角形の簡便求積法~Pickの定理について~
②合同式から見た整数
③数学学習における「理解」~わかる,できるについて~
発表:第32回全国理数科教育研究大会『高校生の数学「理解」観確立に向けて-SSHにおける実践例-』
著書:ス-パ-サイエンスハイスク-ル数学分野の実践記~数学が「わかる」ことを求めて~
受賞:第58回読売教育賞 最優秀賞『知的好奇心を喚起し,理解を促進する実践』
第2回 9月11日 タイトル『第2回徳山高校因数分解コンクール(徳高祭)』
9月10日(土)・11日(日)の2日間,徳高祭が開催されました。科学部数学班は出し物として昨年から始めた「因数分解コンクール」を引き継ぎ,ドリカムルームで行いました。
因数分解コンクールは3年〇組のN君が昨年度から中心となって始まりました。今回は昨年の反省(問題の難易度が高かった)を受けて,前回よりは取り組みやすくした(といっても3/5は難問)問題15問を20分で解く問題と,さらに希望者は超難問のExtra Stage5問を30分で解くという2段階になっていました。
徳高祭パンフレットp.8より
徳高祭パンフレットp.8より
問題を紹介すると,比較的取っつきやすい問題が,
くらいで,(7)~(15)はかなりしんどい問題です。
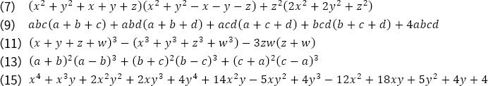
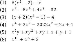
奇数番号問題を抜粋すると,
20分という短時間で完答することは恐らく不可能でしょう。(1)~(6)を確実に解き,(7)~(15)のうちの何問かが
解ければ・・・という感じです。
さらに,マニアックな強者には,Extra Stage5問(30分)が用意されていました。
奇数番号問題を抜粋すると,
これも30分で完答することは恐らく不可能でしょう。1~2問でも解ければ大したものです。
N君は日頃から因数分解の問題を考え,「因数分解コンクール」を研究発表の場としました。是非,後輩もこれを引き継ぎ,さらには各自の研究を徳高祭で披露するようになってくれればと思います。
数学=受験のための教科と安直に考えず,数学を愉しみながら数学的なものの考え方を広く,深くしていくことは,今後の人生にとっても意義のあることだと思います。
さて,コロナ禍のために今年も一般公開ができず,参加者は徳高生だけになりましたが,「因数分解コンクール」には他校生や数学に覚えのある保護者の方,地域一般の方にも参加して頂きたいと考えています。
コロナが収束した暁には一般公開の徳高祭で,「第3回因数分解コンクール」を開催したいと思います。
そのときは是非ご参加,チャレンジしてください。なお,成績上位者には豪華?景品も進呈します。

配布問題冊子表紙

解答

会場(ドリカムルーム)入口

解答風景(ドリカムルーム)
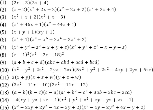
についてFirst Stage問題(4)
の因数分解を興味深く思った生徒もいるのではないだろうか。今年は西暦2022年である。大学入試問題でも受験の年に関わる整数問題が出題されることがよくある。
の1次と3次の係数がともに2であり,2次の係数が2022であることから
とおくと
よって,
であるから
よって,
したがって,
である。
他にも方法はあるであろう。多様な方法があればあるほど面白い。
これまで県内2校でSSHに関わってきた。1校目は県内初(SSHが開始して2年目)に山口県立岩国高校で関わった。理数科の1年次生を対象にして,学校設定科目の授業として教員主導で実践し,3年間で終了した。担当教員への負担が大きかったため,継続が困難であったのではないかと思われる。
一方,徳山高校では,部活動(科学部)における生徒の内発的動機付けによる自発的活動が中心であり,現在も継続できているのはこの違いかもしれない。
因数分解コンクールは,3年次生の生徒が中心になって行ったので,後輩にその引継ぎをしてもらいたいが,どのようになるのかは未定である。顧問の私自身,令和4年3月で再任用期間が終了し,現在1年間の期間付き臨時的任用であるので,来年度の担当者に引き継ぐ形になる。
コロナ禍のために他校生や保護者,地域の方の来場は今回もなかったが,コロナ収束後には数学を学ぶ楽しさを拡散するためにも外部の人も巻き込んだ「因数分解コンクール」を継続してもらいたいと思う。SSH記事にも書いたが,First Stageの問題15問を20分で解くことは難しい。問題の選定や時間設定ついて班内での検討会が必要であろう。このような議論の中で生徒の,いわゆる「関係的理解」や,興味・関心も深化し,数学力を向上させる格好の場,機会になると思う。