さて前編では那須の地形(標高)データをエクセルに取り組み,そこに数学的処理を施して様々な属性をみた。その内容は以下の通りであった。これらの詳細については以前にアップされた前編を参照されたい。
分析する区域
後編は那須地域に人工的に雨を降らせ,雨がどのように流れるかを計算して,那須の地形の別な側面をみたり,土地の勾配計算を行って立体的に地図を描き,そこから発見された事実から那須野が原の歴史にせまる。前編同様,高校の統計の知識だけで話を進める。
人工的に雨を降らせるといっても,エクセルシートの標高データが入っているシートで,以下に述べるアルゴリズムに従って仮想的に雨を降らせ,川が発生するかどうかみるものである。
雨の発生は次のように行うものとする。標高が書かれているセルで,例えば標高aの周りには,8つの標高bからiが書かれている(図29)。bからiのうちでaより低くかつ一番低いものを選ぶ。もしそれがgだとすれば,aのところに降った雨はgのところに流れるはずである。例えば,図の右側672.1の周りで一番低い標高は646.6であるので,672.1に降った雨はそちらに流れるはずである。
gの周りに8つの標高が書かれており,gよりも低くかつ一番低いものを選ぶ。例えば646.6の周りで一番低いのは619.1であり,646.6に流れてきた雨はそちらに流れるはずである。以下同様の操作を行う。こうして図30では,

図29
図30
もし周りの8箇所の標高が真ん中よりいずれも高ければ,雨はそこにストックされる。
それと並行して,もう1枚のシートを用意し,雨が流れたところに+1をしていく(図31)。
図31
もし別な箇所から+1の流れがあり,合流したとすればその場所は+2になる(図32)。
図32
プログラムでは,標高が書かれている各点に1滴だけ雨を降らせ,それぞれ,その雨がどこに流れていくかを+1で表していく。ある点に降った雨は長い旅をしながら流れていくが,ある点に降った雨は,短い道のりで終わってしまう。例えば,山の谷間では明らかに方々から雨が集まって来て,+1が何回もされ大きな数になる可能性がある。
例えば,実際に計算すると次の図33のようになる。ここではいくつか大きな流れが発生している。しかし四角で囲ったところは2549であり,次のところに流れない。周りが高いためである。別の場所では5万を超える数値となり,そこでストップしてしまう場合も発生した。これでは思うように川は流れない。
水かさが増せば,周囲が多少高くとも,それを乗り越えていくことは自然な考えである。しかし,このプログラムではそれが考慮されていない。
図33
そこで,雨水がその箇所を通るごとに,その場所の標高を数センチ(数ミリ)レベルで上乗せすることにする。すると,そこが周りに比べて低い場所であっても,雨水が集まってきてやがて標高が高くなり,水はそこではなく,その近くを通るようになる。川が線から面に変わり,幅がでてくる。
それぞれの地点で+1されるごとにどれだけ標高を上乗せするか,その上乗せする量を大きくすれば大洪水になる。
図34は雨水が通るたびに,つまり+1されるごとに,標高を1cm上げるようにプログラムしたものであり,図33と同じ場所がどう変化するかを示したものである。図34では,途中で雨がたまり,それより行けない現象は回避されて,流れができていることがわかる。また,川に幅が出来ていることも確認できる。
図34
図35は雨水が通るごとにその場所の標高を20cm上げた場合で,水の流れがあるほど,緑色にしている。那須野が原は洪水で水浸しになっている。大昔,このような洪水が何度も起こり,土砂が運ばれ,扇状地が形成されたのかもしれない。
雨水が通るごとに20cm標高を上げた場合 図35
雨水が通るごとに2mm上げた場合 図36
図36は雨水が通るごとに2mmだけその地点の標高を上げた場合である。川が現れているが,那珂川は太く,蛇尾川や箒川もうっすら流れているのがわかる。蛇尾川はちょっとした変化でそのコースを変えてもおかしくない流れ方である。
確か,子どもの時,「昔,蛇尾川はこちらではなく,向こうの谷を流れていたんだよ」と聞いたことがある。また,那須野が原にすじのように丘陵がはしっているのもわかる。これらの丘陵は川にほぼ平行に走っており,地理学的には「分離丘陵」とよばれている。もともとは丘陵の間に谷があったが,堆積物等で埋まってしまい,上の部分が顔を見せている。
もう一つ気になることがある。黄色い所や緑の部分は何らかの水の流れがあるところで,赤い所はそれがなく,尾根であったり,頂上であったりする。その模様が那須の山と八溝山では全く違うのである。八溝山は古期造山帯に属し那須よりも出来た時期が古い。長い間の年月で雨に浸食され,細かく短い「ひだ」がたくさん走っている。しかし那須の山は新期造山帯に属している。「ひだ」もダイナミックである(図37)。将来は八溝山のような山肌になるのかもしれない。赤い「ひだ」の入り方で,那須の方は大きな川が出来やすいが,八溝山の方は大きな川は出来にくいこともわかる。
那須の山々(左) 八溝山地(右) 図37
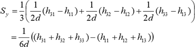
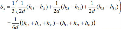
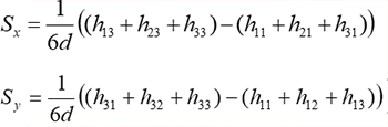
ここでは,図38の標高
における勾配(傾き)を次のようにして計算する。
まず横方向の勾配は次のように計算される。
また,縦方向の勾配は次のように計算される。
図38
そして求める勾配は
である。これを各地点で計算し色をつける。
勾配(傾き)で色分け 図39
すると,標高の標準偏差のときと同じような図が現れた(図39)。ただし,標高が低くても,またなめらかな面であっても,勾配があればその地域は赤色になる。
図の分離丘陵の中には丘陵の上部が平らな部分がある。明らかに人の手で開墾されている。特に図の(A)は戦前,「陸軍金丸原飛行場」があったところで,丘陵の上には,1900mと1300mの2本の滑走路があったといわれている。現在は国際医療福祉大学がある。
図の(B)は蛇尾川の上流で,2本の黄色い線がはっきり映っている。ここも谷をつくっており,河岸段丘になっている。図からはわからないが,ここは3段になっており,関屋断層による隆起が影響しているといわれてる。
さらに,それぞれの傾きの逆正接を計算し,勾配角を計算して示すと図40のようになる。那珂川がつくる深い谷が赤く染まっている。
勾配角で色分け 図40
山の斜面がどちらを向いているか。ここでは,前節で取りあげた
と
を利用して方位を計算する。
図41
もし,
が正ならば,東側の方が標高が高くなっており,負ならば,西側の方が標高が高い。同様に
が正ならば,南側が高くなっており,負ならば北側が高い。
これらを組み合わせると,表1のようになる。東が高いということは西向きであり,北と東が高いということは南西向きであることを意味する。
表1
すると方位は全部で9種類に分けることができる。符号だけでなく値も考慮に入れると,もっと細かく方位を決められるが,この後の図にもあるように大まかな方がわかりやすい。
9つの方向に適当に色を対応させて,それぞれの地点の方向にあわせて色をつけていく。図42は茶臼岳のある付近の山の様子である。
那須火山群は約60万年前から活動が始まり,まず初めに北側にある甲子旭岳(三本槍岳の北側で図にはない)が60万年前から噴火した。次はそのやや南側にある三本槍岳が40万年から25万年前に噴火し,20万年前から5万年前までさらに南側の朝日岳と南月山が活動した。現在噴気活動をしている茶臼岳は3万年前から活動している(図43)。
図42の左上,三倉山は春になってもずっと雪が残っている福島県境の山である。黒磯地区や那須町からこの山は見えない。
那須五峰(三本槍岳,朝日岳,茶臼岳,南月山,黒尾谷岳)と三倉山 図42
茶臼岳以前に噴火した山々 図43
高原山周辺を勾配に方向をつけて表示してみると図44のようになる。鶏頂山の北側は平らでスキー場があることが推測できる。
高原山付近の地形 図44
高原山は那須野が原から見る山並みとは違い,かなり複雑な地形である。これは相次ぐ噴火やカルデラの出現,火砕流の発生などがあったためである。
高原山は那須野が原の成り立ちと深い関係をもっている。35~40万年前に,高原山北西部の前黒山,明神岳付近を噴出中心とした大規模な「大田原火砕流」とよばれる火砕流が発生し,現在の那須野が原を埋め尽くした。その後,那須野が原はこの火砕流噴出物の上に蛇尾川,那珂川などの砂礫が堆積して形成された。
ちなみに,この「大田原火砕流」が発生した際,高原山から塩原にかけて,「塩原カルデラ」(カルデラ:火山の活動によってできた大きな凹地)が形成された。その直径は約10kmと計算され,いかに多くの土砂が那須野が原に流れ込んだか想像の域を超える。
図45は八方ヶ原の北側の地形を描いたものであるが,カルデラらしき地形が見える。塩原の大沼にある「富士山」はこのカルデラに出来た溶岩ドームである。
塩原カルデラの跡(上)とその中にある溶岩ドームの富士山(下) 図45
那須のシンボルである茶臼岳。これが見える場所とそうでない場所がある。今回はそれを特定する。丘陵の近くに住んでいる場合はそこから茶臼岳は見えないかもしれない。
図47のように,視点Aから茶臼岳Cを眺めるとき,途中,標高が書かれている行や列にぶつかる。それが格子点でないときは,四捨五入してその近くの格子点で標高を考える。こうして,AからCを眺めるとき,いくつもの地点
が途中にある。
図47
そこで,それぞれの格子点ごとに次頁の式に沿って傾き
を計算する。もし,これらすべてが傾き
より小さいならば,茶臼岳が見えることになる。しかし途中1つでも傾きが
より大きいものがあると茶臼岳は見えない(図48)。
そこで,マクロを組んで,那須地区のすべての点について視点をおき,茶臼岳が見えるかどうかをチェックしてみた。すると,図49のようになる。緑のところが茶臼岳が見えるところである。ただし,茶臼岳のてっぺんが見えるかどうかである。ちょっとした岩で見えなくなる。頂上の周囲数百mの範囲ならば,さらに見える範囲は広がる。
茶臼岳が見える地点 図49
三本槍岳が見える地点 図50
茶臼岳の北側に三本槍岳がある。この山は茶臼岳より2m高く,那須連山の最高峰であり,福島県との県境にもなっている。しかし那須野が原からは,茶臼岳の後ろに隠れて見えない。しかし,那須野が原の東西である八溝山地や,矢板方面からなら三本槍岳が見えるところがあるかもしれない。そこで,この三本槍岳についても見える地点を計算し,図示してみた(図50)。やはり予想通り見える範囲はごく限られるようである。図50から三本槍岳は八溝山地や高原山の八方ヶ原周辺から見えるようである。
那須連山ひとつとっても,場所が異なると山の稜線が異なってくる。ここでは那須野が原の南部に位置する大田原市から山の稜線がどのように見えるか,計算する。
方法は大田原市から放射線を多数に伸ばして,それぞれの方角の中で,傾きが一番のところを選出する(図51)。東から西までの180度を1/8度刻み(1440等分)で調べていき,最大になった傾きを羅列させていく。最後にこれらの傾きから逆正接をとり,仰角を計算する。
図51
もちろん遠くの山の稜線が見えるとは限らない。途中でも角度が最大になるものがあればそれが稜線の一部になる。計算すると図52のようになる。那須の山々の稜線と少し異なる感じもある。近くの丘陵が邪魔しているかもしれない。
大田原からみた山の稜線 図52
標高のデータを各地区から集め,各地区ごとにその分布を箱ひげ図で表してみる。図53の6つの領域について,中央値などを計算し,箱ひげ図に描いてみた(表2,図54)。地区の名前はその区画に入っている町の名前であるので,わかりやすくするためのもので,必ずしもそこばかりでなく,広範囲のデータである。
図54からわかるように,地域によって箱ひげ図は大きく異なる。しかし,大田原地区と東那須野地区は同じような分布であり,黒羽地区と伊王野地区も同じような分布である。三島地区で範囲が大きいのは,塩原や高原山の一部を含んでいるためである。
箱ひげ図でおおよそ,その地域がどんな土地かがわかる。
図53
表2
各地区の標高を箱ひげ図で表現 図54
今回は標高のデータを使って那須地域の地形を分析した。標高のデータがぎっしり並んでいる数値の並びから,数学的な手法によっていくつかのことがわかり,地理学的な考察もあわせて行った。生徒達が,自分の生まれ育った那須の地にあって,地形の成り立ちや構造を,数学と地理学の助けにより理解していくことは,大変有意義なものである。それは自分が生まれ育った土地への愛着心にもつながることであろう。
赤那須 図55
真冬の良く晴れた日の朝,ほんの数分間だが,那須の山が朝日に照らされて赤く染まる。那須野が原の1日が始まる。
ところで,ネットからは陸地だけではなく,海底の深度のデータも入手できる。そのデータから様々な海洋の地形と成り立ちを分析できると思われる。
ネットから入手できるデータを数学教育に活用できる例はこの他にもある。例えば今空を飛んでいる飛行機について,数秒に1回の割合で飛行機の位置(経度,緯度,高度)データをネットで入手でき,その飛行ルートを計算できる(図56)。そして他の飛行機といかにぶつからないで飛んでいるかも分析できる。このことについてはまた別の機会に紹介したい。
いずれにしても,こうしたネットから得られるデータを用いて,数学の有用性を生徒に教えることができる。
飛行機の飛行ルートデータ(エクセルファイル)(左)
東京・シカゴ間のルート(右) 図56
【参考】国土地理院ウェブサイト https://www.gsi.go.jp/kiban/