中学校の教科書・教材|知が啓く。教科書の啓林館
理科

理数を連携させた課題学習の実践例-2021 年度用教科書 内容解説資料-

富士見町立富士見小学校 植松 航一朗・富士見町立富士見中学校 名取 克裕

1 理数をクロスさせた学習で深い学びは実現できる

中学校学習指導要領(平成29年告示)解説数学編では,課題学習を「生徒の数学的活動への取組を促し思考力,判断力,表現力等の育成を図るため,各領域の内容を総合したり日常の事象や他教科等での学習に関連付けたりするなどして見いだした問題を解決する学習」と定義している。
この課題学習では数学と理科の学習を関連付けることによって見いだした問題を互いの教科において身に付けた知識及び技能を活用したり,思考力,判断力,表現力等や学びに向かう力,人間性等を発揮したりすることができる。対象となる事象を捉えて思考することにより主体的に解決していく力や,数学的な見方・考え方と理科の見方・考え方をさらに確かで豊かなものにしていくことが期待できる。課題学習では,それまでに学習した内容をどのように用いれば問題を解決できるのか見通しをもちにくいがゆえに,これまでの学習の振り返りを基に,生徒の思考力,判断力,表現力等が発揮されやすくなる。
こうして,生徒が互いの教科の特質に応じた見方・考え方を働かせながら,問題を見いだして解決策を考えたり,知識を相互に関連付けてより深く理解したり創造したりする過程を重視した学習の充実が図られる。今回は、理数連携の授業実践を2事例ご紹介する。

2 理数をクロスさせた授業実践例①

小学校6年生の対称な図形,中学校数学の文字式,中学校理科の光の性質という複合的要素を「文字式の利用」を軸に統合する。ねらいに迫る授業を展開するために,直観を働かせて,焦点的に数学化する。

指導時期:2学年6月

学習問題
全身が映る鏡の長さは,誰でも身長の半分あればよいことを説明しよう。

めあて:ポイントを使って,全身が映る鏡の長さは,誰でも身長の半分になる事を図と対応させながら説明しよう。

数学2学年:単元名『式の計算』 小単元名「文字式の利用」

理科1学年:単元名『光による現象』

数学的な見方・考え方(ポイント)

数量の関係は文字式を使って説明することができる。

<参照>未来へひろがる数学2 P.24

理科のもとになる知識(ポイント)

入射角と反射角は,いつも等しい。

<参照>未来へひろがるサイエンス1 P.210

展開例

段階 時間 学習活動 予想される生徒の反応 支援 評価







10

1,鏡に身長の半分が映ることを,図形の性質からとらえる。

問題:淳也さんは誰でも身長の半分の長さ以上の鏡ならば全身が映ることを図に表して証明しようとしている。この図は正しいのだろうか。

・中学校1学年の理科で扱った入射角と反射角の定性的な関係について学び直す。

・小学校6学年で扱った線対称な図形の性質を学び直す。

・全身が映る鏡について証明したいんじゃないかな。

身長の半分の長さ以上の鏡ならば全身が映ると思う。

数量の関係は文字式を使って説明することができるんじゃないか。

「入射角=反射角」というきまりだったな。

・緑色の三角形は紫の線を軸として線対称に見える。

線対称な図形の対応する角度,辺の長さは同じになるはずだから,目とつま先の長さの半分で反射しているんだな。

・「このことは目の上の2つの直角三角形でも言えるから」と入れる。

・「図から,淳也さんは,どんなことを証明しようとしている?(理科の事象の数学化)」

・「全身が映る鏡」の反応を受けて問題を提示する。

・「身長の半分の長さの鏡」の反応を受けて「そのことを数学で説明できるかな」と促す。

・図では「光のどんなきまりを使っている?」と問いかける。

・「線対称な図形にはどんなきまりがあったかな?」と問いかける。




















【学習問題】 全身が映る鏡の長さは,誰でも身長の半分あればよいことを説明しよう。

・学習問題を提示する。

・「どんな身長でも証明するためのポイントは?」と問いかける。

・めあてを明示する。

・図をもとに文字の定義をするように伝える。

・「結果はどうなる?」と問う。

・めあてに「㎝」を挿入する。

・個人追究の場を設ける。

・グループ追究の場を設け,相互評価しながら説明を修正し,グループの考えをまとめ,プレゼンの準備や練習をするように伝える。

    Ⅰ    Ⅱも正答の条件として,必ず「もとになる考え方」を挿入することを伝える。

・全体で    Ⅰ    Ⅱのプレゼンテーションをし,共通点や相違点を見抜く場を設ける。

・プレゼンの説明文に照らして自分の説明を加除修正する場を設ける。

文字式を用いて図と対応させながら鏡の長さが(㎝)になる理由を説明できたか。数学的な見方・考え方

・「立つ位置が変われば,全身が映らないかも?」と問い,鏡と立ち位置との距離を変えた作図から結論を導くように促す。

20

2,「誰でも全身が映る鏡の長さは身長の半分」が,文字の式を使って一般的に成り立つことを説明する。

・本単元の「もとになる考え方」を学び直す。

・ポイントは,「数量の関係は文字式を使って説明することができる

【めあて】 ポイントを使って,誰でも全身が映る鏡の長さは身長の半分になることを,図と対応させながら説明しよう。

・文字を定義する。

・結果の見通しをもつ。

・一人一人,図と対応させた説明を考える。

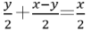
・χを身長(㎝),yを目までの高さ(㎝)とする。

㎝になる。

    Ⅰ:χを身長(㎝),yを目までの高さ(㎝)とする。鏡の長さは,つま先から目までの半分の長さ①と頭頂部から目までの半分の長さ②の和だから,。よって,文字を使えば,どんな数でも決まりが成り立つので,どんな身長でも全身が映る鏡の長さは㎝である。

    Ⅱ:χを身長(㎝),yを目までの高さ(㎝)とする。鏡の長さは,2つの線対象な三角形の高さの和の半分,つまり①✕2+②✕2でχの半分だから①+②は。よって,文字を使えば,どんな数でも決まりが成り立つので,どんな身長でも全身が映る鏡の長さは㎝である。

・共通点は,ポイントを使って理由をはっきり示しているところ。

・違う点は,分けて考えるかまとめて考えるか。まとめて考えるとyは要らない。

img

・グループごとの説明を相互評価し,それを生かして一人一人が説明を修正する。

・グループの考えをまとめ,プレゼンテーションに向けて準備と練習をする。

・2つのプレゼンテーションの共通点と相違点を見抜き,自分の説明を改善する。

10

3,「立つ位置が変われば,全身が映らない場合もある」ことに反論するための作図をし,それをもとに鏡と立ち位置との距離が変化しても鏡の長さは身長の半分であることを説明する。

・二等辺三角形を作図するのだから,垂直二等分線の作図の仕方を利用すれば描きやすいな。

・鏡と立ち位置との距離が1/4,1/2,2倍,3倍,4倍の場合を作図したけれど,目の上の三角形も緑色の三角形も二等辺三角形であることは変わらない。よって,はじめの位置と図の性質は変わらないから,全身が映る鏡の長さは身長の半分の長さ(①+②)である。

・どこに立ち位置が移動しても全身が見えるんだな。

・「作図のポイントは?」と問う。

作図を通して鏡と立ち位置との距離が変わっても鏡の長さが(㎝)になる理由を説明できたか。数学的な見方・考え方







10

4,実際に身長の半分の長さの鏡に全身が映ることや,立ち位置と鏡との距離を変えても全身が映ることを確認する。

5,学習カードに本時のポイントを記述する。

・Mさんの身長の半分の長さの鏡に,Mさんの全身が映っているんだね。

・立ち位置を移動しても身長の半分の長さに全身が映っているんだな。

入射角=反射角線対称の図形の性質を使って身長の半分の長さの鏡に全身が映るという決まりを証明できる。

・これからも理科の法則なんかを「数量の関係は文字式を使って説明することができる」ことがわかった。

・代表の子どもの全身が映ることや立ち位置を変えても全身が映ることを実証する。

・文字式を活用するよさや理科と数学の「もとになる考え方」を活用して決まりを証明できるよさを共有し,今後の活用可能性を展望する場を設ける。

板書

img

●理数連携のポイント

「もとになる考え方」を駆使して

例えば「モデル図と対応させる」「辺や角がそれぞれ等しいという印を入れる」等。授業の終末に問題解決の過程を振り返り,「どんな考え方(もとになる考え方)を使って『分かった』のか?」「『分かったこと』や『もとになる考え方』を使えば,さらにどんな可能性が開けるか?」と深い学びへ誘うと,未知な状況にも「もとになる考え方」を活用しようと試みる姿が見えてくる。

教材研究や指導法の改善のきっかけにし,他教科や異校種の教師,学校外の人材との連携を生かす

課題学習の指導は,教師にとって理科的・数学的活動の本質や資質・能力の涵養とは何かを問い直し,カリキュラム・マネジメントの必要性を理解する上で有効である。指導方法や指導体制の工夫改善により,教科等横断的な学習の成立を課題学習からカリキュラム・デザインしたい。

自然の事象から理科で原理・法則とした内容について数学で
理想化,単純化,一般化できるか問いかける

「どんな場合(数値)でも成り立つのかな。」等と問いかける事で, 学習課題(めあて)の成立へと導くことができる。

理科の学び直しの過程を経て数学の側面から問題発見を

これまでの学習の積み重ねを基に構想を立て,実践し評価・改善する一連の過程を経験することは,問題解決能力を一層伸ばす上で効果的であるとともに,数学のよさを深く理解し,理科での学びをより普遍的にすることにつながる。

3理数をクロスさせた授業実践例② 「ゆれる大地×比例」

指導時期:1学年11月

学習問題
グラフをもとに,次のことが分かる。どうやって求めたのか説明しよう。
A:震源から□㎞の地点におけるS波(主要動)の到達時刻(何時何分)
B:P波とS波の伝わる速さ
C:初期微動継続時間から求める,その地点の震源からの距離

めあて:ポイントを使って,グラフをもとに説明しよう。

ポイント:初期微動継続時間と距離との関係を比例とみる」, 「:比例のグラフは,原点を通る直線とみる」, 「:比例式を使って求めたい数を導く」, 「:比例の式を,y=aχ a:比例定数 と考える」

数学1学年:単元名『変化と対応』  小単元名「比例」

理科1学年:単元名『活きている地球』
小単元名「ゆれる大地」

数学的な見方・考え方(ポイント)

「比例のグラフは,原点を通る直線とみる」

「比例の式を,y=aχ a:比例定数 と考える」

理科のもとになる知識(ポイント)

「初期微動継続時間と距離との関係を比例とみる」

「比例式を使って求めたい数を導く」

展開例

<参照>本展開の概略

板書

img

●理数連携のポイント
○グラフを比例とみなすこと

グラフに表されている情報をもとに,同心円状に揺れが伝わること,P波とS波が同時に起こるが速さが違うので到達時刻が違うこと等の地震の伝わり方の学び直しが必要である。地震の現象の解釈の上に,グラフが理想化・単純化されて表現されていることをつかみたい。その際に,時間に伴う距離を関数としてつかんでいることが欠かせない。グラフから時間に伴う距離を関数としてつかんでいれば,既習の比例や反比例と関連付けたり比較したりしながら数学化していくことが可能となる。
また,理科の授業において,グラフに実験や観察の結果を表示して,そこから求めたい数値を比例式を使ってとらえるだけに終始せず,きまり(原理・法則)を見抜いたり,気付いたことを分析したりする学習活動において,算数や数学の既習である「比例や反比例と見なす」という視点からアプローチする教材研究を数学の授業と共有しておきたい。また,数学の授業では,比例である,あるいは比例でない根拠をポイント(もとになる考え方)に照らして確かにしたり,比例でない反例を示したりする数学的活動を位置づけたい。

○目的に応じて主体的にグラフを加工すること
ともすると,生徒は与えられたデータを,そのまま観察しただけで問題を解決する端緒を見いだそうとする。つまり,生徒が直観をもとに見いだしたきまりに沿って,グラフを加工し,その結果から提言するというような学びが育まれてこなかった。本時では,「P波とS波を比例と見なすと解釈しやすい」という目的に応じて,縦軸・横軸を2つのグラフの交点を原点になるように移動する,あるいは折り曲げるといったグラフを加工する数学的活動を設けた。目的に応じて自ら加工することによって,自分の考えを提案し易くなることは,まさに主体的で深い学びを誘う契機となる。

○理科の事象から問題発見をする数学化の過程を保障すること
生徒が自ら問題を発見することを誘うためには,緊急地震速報の仕組みを予想したり,どのような仕組みで緊急地震速報を出しているのか疑問視している友だちの思いを受け止めたり共有したりする切り口が有効である。そのために,まず,生徒が緊急地震速報とは,どんな内容を知らせる働きなのか,それを耳にした人々が各自どんな行動に移すのか等の知識が必要である。教師が緊急地震速報の仕組みについて関心を抱いていたり,どうやって緊急地震速報を出しているのか問題を見いだしたりしている生徒と,どこに疑問や関心を抱いたのか,どこに目を付けて仕組みを紐解こうとしているのか等について対話をする。対話を通して,教師がその生徒の思考の道筋に他の生徒の共感や同意,異議や疑問点等を引き込みながら問題を明文化する。なお,明文化する際には,仮に「震源から200㎞離れた地点で考える」等,生徒自らが具体的な数値を設定することによって,具体的に計算をすることを促したい。それによって,仕組みを紐解く方法を説明できるようになったところで,「もとになる考え方」を活用して一般化するステップを歩みたい。いくつかの問題を明文化することができたら,生徒が自ら取り組む問題を選択してもよいし,取り組む問題の順番を決めてもよいだろう。また,共同追究の後半で,共通している問題解決のポイントについて,説明を振り返って考察する数学的活動を位置づけ,いくつかの問題は統合できることに気付いてもよいだろう。また,最も適切な問題は何か比較・検討することも深い学びにつながる。

○目的に応じて自ら情報を判断して取り込むこと
過剰情報から目的に応じて必要情報を判断して選択し,活用する力を培っていきたい。ともすると数学の教科書では問題に必要な情報のみが提示され,その情報のみを使って問題を解決する傾向にある。理数をクロスした場合,例えば目的においてP波のデータが必要でなくてもグラフにP波とS波が示されている。日頃から問題に関する周辺の情報も提供して,必要な情報のみを抽出する力を培いたい。
地震の伝わり方を時間的・空間的な視点でとらえ,初期微動継続時間と距離が比例することをつかむ

※この資料は,2021年度用 中学校教科書の内容解説資料として,一般社団法人教科書協会「教科書発行者行動規範」に則って作成しています。