高等学校の教科書・教材|知が啓く。教科書の啓林館
数学

場合の数 <組分け>問題についての一考察

長崎県立佐世保北高等学校 西平 祐治

1.はじめに

問題 12人を4人ずつ3組に分ける方法は何通りあるか。

いわゆる<組分け>問題である。一般的な解答としては,ひとまず3つの組を(区別はないけど)区別しておいてから3!で割る解法で,((_12)C_4∙(_8)C_4)/3!=5775(通り)となる。階乗を用いて表すと12!/(4!∙4!∙4!)÷3!=5775(通り)となる。
さて,この問題に対して,ある生徒が
(_11)C_3∙(_7)C_3=5775(通り)
という解答を書いてきたとき,先生であるあなたはどうしますか?

2.事前確認

そもそも,現実の世界における<組分け>とは,どのようなものだろうか。
12人の生徒に対して,先生であるあなたは言います。

  • ①今月の掃除場所は教室,廊下,トイレの3か所です。それぞれの場所を4人ずつで担当してもらいます。
  • ②これから4人ずつの班を作って話し合い,最後に各班から発表をしてもらいます。
  • ③修学旅行のホテルは4人部屋なので,誰と同じ部屋に泊まるかを話し合っておいてください。

①は,教室,廊下,トイレと区別があるので<組分け>ではない。
②は<組分け>であるが,発表するときに1班~3班と名前をつけると話が変わってくる。
③も同様に,生徒同士で誰と同じ部屋に泊まるかを決めるまでは<組分け>である。
実際には,部屋には番号等が付けられていて区別できるのだが,誰と同じ部屋になるのかが生徒にとっては重要であろう。よって,問題設定をするときに<組分け>の問題とした方が現実的な気がする。(4人が泊まれる全く同じ型のテントが3つあるetc)

3.授業の目的

場合の数の問題を解くときに気をつけなければいけないポイントは大きく2つある。

例えば,『4人の生徒1,2,3,4が2つの部屋A,Bに入る。どちらの部屋にも少なくとも1人は入るような方法は何通りあるか。』という問題に対して,
『Aに入る人の選び方が(_4)C_1=4(通り)で,Bに入る人の選び方が(_3)C_1=3(通り)で,残りの2人はどっちの部屋でもいいので2×2=4(通り)。よって4×3×4=48(通り)。』と答えると,同じ場合を重複して数えているので,不正解である。では,次の解法ではどうだろう。

 (ⅰ) 1と2がAに入るとき
3も4もB,3がAで4がB,3がBで4がAの3通り

 (ⅱ) 1と2がBに入るとき
(ⅰ)と同様にして3通り

 (ⅲ) 1と2が別々の部屋に入るとき
3と4はどちらの部屋でもよいので2×2=4(通り)

 (ⅰ)~(ⅲ)より3+3+4=10(通り)

一見正しそうに見えるが,これまた不正解。正解は2^4-2=14(通り)。
ここで大事なのは「間違いから学ぶ」ことである。
間違った解答をした人は,誰しも自分が間違ったとは思っていない。答え合わせをした時点で自分が間違っていたということに気づく。ここで大事なのは「自分の解答のどこが間違っているのかを完全に納得する」ことである。模範解答を読んで「あ~,なるほど,こう数えればいいんだ」と,模範解答を鵜呑みにして終わらせてはいけない。なぜなら,場合の数の分野で正しい答えを導き出すことができる人は,
『こう数えると正しく数えられない。』
『この数え方だと,同じものを重複して数えてしまう。』
『この数え方だと,条件を満たさないものまで数えてしまう。』
など,多くの〝間違った数え方〟を,これまでの経験から得ているのである。だから,自分が間違えたらその原因をとことん突き詰めなければならない。せっかく〝自分の間違い〟に出会えたのだから。
上の問題の場合は,樹形図ですべてを書き出せば何もかもが明らかになる。そこで自分の間違いをハッキリとさせる。そうしておくと,数が大きくなっても,たとえ人数がnになっても正しく数えることができるようになっていく。正しく数えるためには,自分で考えた多くの間違った経験とその検証が必要である。もし,場合の数に苦手意識を感じている人がいれば,模範解答を読むだけではなく,自分の間違いを自分の言葉で説明できるような勉強をしてほしい。

4.実践内容

この<組分け>問題は,よく

問題1 12人を次のように分ける方法は何通りあるか。

  • (1) 4人ずつ,A,B,Cの3組に分ける。
  • (2) 4人ずつ3組に分ける。
  • (3) 4人,4人,2人,2人の4組に分ける。

のような形で出題される。

(1) Aに入れる4人を選ぶ方法は(_12)C_4通り,Bに入れる4人を残り8人から選ぶ方法が(_8)C_4通り,Cには残り4人を入れればよいので,(_12)C_4×(_8)C_4=34650(通り)

(2) (1)でA,B,Cの区別をなくすと,同じものが3!通りずつできるから((_12)C_4∙(_8)C_4 )/3!=5775(通り)

これが教科書や参考書等によく書かれている模範解答だが,次のような質問を生徒から受けることが多い。
『なぜ3!で割るんですか?』
『どんなときに3!で割るんですか?』
『なぜ初めにA,B,Cの区別をつけて考えるんですか?』
この質問に対して,「それはもちろん,模範解答のような手順で考えれば正しく数えることができるからだよ。」と答えてはみるものの,なかなかそれでは生徒は納得してくれない。ちなみに「3!で割る」ことは,組合せの導入時に一度出てきている。
例えば,異なる5個の果物から3個を選ぶ組合せは(_5)C_3=(_5)P_3/3!=(5∙4∙3)/(3∙2∙1)=10(通り)ある。これは,5個の果物から3個の果物を一列に並べる順列の総数(_5)P_33!で割ることで求めることができる。選ぶだけなので並べる順番は関係ないからだ。問題1(2)で3!で割るのも本質的にはこれと同じことである。
〝選ぶ〟ときは〝コンビネーション〟というのは,生徒は比較的正しく使いこなせている。コンビネーションを使う問題を数多く演習しているからであろう。しかし,<組分け>問題はそこまで頻繁には現れない。それなのに問題文には書いていない架空の区別されている組を自分の頭の中で想像するところから解答が始まる。この部分が生徒にとっては難しいのではないだろうか。
そこで[別解]を考えてみる。場合の数に限ったことではないが,一つの問題を解くときに2通りの方法で出した答えが異なった場合,必ず少なくとも一方は間違っていることになる。また,2通りの方法で出した答えが一致した場合は,その答えが正解である確率は高いと判断できる。ということで,私はどんな問題であっても可能な限り[別解]を考えるようにしている。

5.授業展開

問題2 1,2,3,4,5,6の6人を次のように分ける方法は何通りあるか。

  • (1) 2人ずつ,A,B,Cの3組に分ける。
  • (2) 2人ずつ3組に分ける。

まず,4人程度の班を作る。
(1)の答えは(_6)C_2∙(_4)C_2=90(通り)である。この90通りの方法を表1のように書き出させる。(班の中でお互い確認し合う)

留意点 作業の中で,{1,2}と{2,1}は同じか違うか等の質問が出た場合は,{1,2}と{2,1}は同じであること等,確認しながら作業を進めさせる。

90通りすべてを書き出したら,(2)について考えさせる。
(2)は,例えば「体育のときに準備運動をするためにペアを作る」等の具体例でイメージさせながら,(1)との違いを明確にさせる。
表1の一番上の行(例えば{1,2} {3,4} {5,6})と同じペアの作り方が,表1の中に何通りあるのかを数えさせる。→6通り。
この6通りが何なのかを発問→3!=6であることの確認。
他の場合でも同じことが言えるので,(2)の答えは(1)/3!で求めることができる。

表1

A B C
1,2 3,4 5,6
1,2 5,6 3,4
1,2 3,5 4,6
1,2 4,6 3,5
1,2 3,6 4,5

次に,(2)の状況をより具体的に捉えられるように,生徒6人を指名して黒板の前に立ってもらう。(ここでは,生徒を1,2,3,4,5,6と表すことにする)
「今から2人ずつ3組のペアを作る。」
「では,1番。自分とペアになる人を1人選びなさい。」
すると,1番は3番を選び,ペアができたので1番と3番は席へ戻る。
「次の2番。自分とペアになる1人を選びなさい。」
すると,2番は6番を選び,ペアができたので,2番と6番は席へ戻る。
残った4番と5番がペアとなる。ということで席に戻る。
「さて,今の流れをみんなでもう一度確認してみよう。まず,1番は自分以外の5人の中から3番を選んだ。このとき,1番が選べたパターンは(_5)C_1=5(通り)あった。次に2番は自分以外の3人の中から6番を選んだ。このとき,2番が選べたパターンは(_3)C_1=3(通り)あった。これで残った2人が自動的にペアとなるので,答えは(_5)C_1×(_3)C_1=15(通り)となる。この考えは正しいかな?」
という話の後,表1で書き出したものや(2)で考えたことをもとに,この考えが正しいかどうかを班で話し合う時間をとる。時間があれば,人数を変えた問題(例えば6人を2人,2人,1人,1人の4組に分ける方法等)についても考えさせたい。

6.まとめ

問題
12人を4人ずつ3組に分ける方法は何通りあるか。
解答
12人のうちのある1人が自分以外の11人から自分と同じ組になる3人を選ぶ方法は(_11)C_3通りあり,残り8人のうちのある1人が自分以外の7人から自分と同じ組になる3人を選ぶ方法は(_7)C_3通りある。残った4人が同じ組となるので,(_11)C_3∙(_7)C_3=5775(通り)である。

この解法は,実際に4人ずつの組を作る手順に沿って考えを進めているので,分かりやすいのではないだろうか。もちろん,3!で割る解法があるので,新たな解法が増えることで生徒は混乱するかもしれないが,思考力を伸ばすという意味では有効ではないかと考える。

問題1(3)
12人を4人,4人,2人,2人の4組に分ける方法は何通りあるか。
解答
  • ① まず,2人2人の組になる4人を選ぶ …… (_12)C_4(通り)
  • ② ①の4人のうちの1人に自分と同じ組になる1人を選ばせる …… (_3)C_1(通り)
  • ③ 残り8人のうちの1人に自分と同じ組になる3人を選ばせる …… (_7)C_3(通り)
  • ①~③より (_12)C_4×(_3)C_1×(_7)C_3=51975(通り)

ちなみに,一般的な模範解答は((_12)C_4∙(_8)C_4∙(_4)C_2)/(2!∙2!)=51975(通り)である。

7.最後に

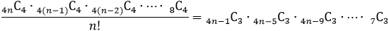
nを自然数とする。4n人を4人ずつn組に分ける方法を,2通りで考えると

((_4n)C_4∙(_4(n-1))C_4∙(_4(n-2))C_4∙⋯∙(_8)C_4)/n!=(_4n-1)C_3∙(_4n-5)C_3∙(_4n-9)C_3∙⋯∙(_7)C_3

という等式を得る。今回の<組分け>の考察を読んだ人は,この等式が当然成り立つことが分かるであろう。一方,この等式が成り立つことを下のように証明することで,<組分け>問題の解法として今回考えたことが正しいということを確認することができる。

Proof.(左辺)=(_4n)C_4/n∙(_4(n-1))C_4/(n-1)∙(_4(n-2))C_4/(n-2)∙⋯∙(_8)C_4/2=∏_(k=2)n(_4k)C_4/k=∏_(k=2)^n(4k(4k-1)(4k-2)(4k-3))/(4∙3∙2∙1)×1/k=∏_(k=2)^n((4k-1)(4k-2)(4k-3))/(3∙2∙1)=∏_(k=2)^n(_4k-1)C_3=(右辺)

よって (左辺)=(右辺)

8.おまけ

問題2 nを自然数とする。(4n)!〖(4!)〗^n∙n!で割り切れ,その商は奇数であることを証明せよ。

この問題は数学的帰納法で証明できるが,この問題の裏側に<組分け>が潜んでいることが分かれば,より一層この問題を興味深く感じられるのではないだろうか。これからも,いろいろな解法を考える中で,そこから生まれる新たな数式との出会いを楽しみに,数学と付き合っていきたい。