直線と放物線が囲む部分の面積を求めるのに「6分の1公式?」なるものがよく使われるが,この公式は図形的には放物線が長方形の面積を1対2に分けることと同値である。また汎用性も図形的に扱う方が高い。同様の例をあげ定積分を図形的に味わうよさを示したい。
ただし,虎の巻としてではなく,あくまで図形感覚を磨く一助となるべく多くの例を集めてみた。
下左図において「放物線は,長方形OPQRの面積を1対2に分ける」。これは「6分の1公式」と同値である。

しかしながらこの公式を用いて右図の斜線部の面積を求めるのは手間である。むしろ素直に積分した方が手っ取り早い。「6分の1公式」は複雑な計算の回避のための公式であるが,図形的に扱うことで,さらに計算の回避ができる。

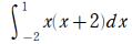
例1.(1)
(2)

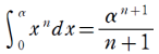
3次関数 y = ax3 のグラフも同様に長方形の面積を 1 : 3 に分ける。一般に y =axn のグラフは長方形の面積を 1 : n に分ける。
すなわち

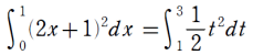
例2.
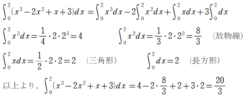
3次以上の整関数であれば原始関数を求めて定積分する事が普通と思われるが,三角形や長方形の面積であれば図形的に計算したほうが早い。
例3.
のような無理関数の積分では,教科書では
で置換する解法も紹介されているが,この場合積分区間が
となるので,図形的に扇形と三角形の和として計算する。
以上,定積分を図形的に扱うことで計算を回避できるというメリットを説明した。
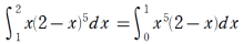
例4.
(1)
ax + b = t の形の置換積分は平行移動とカヴァリエリの原理によって説明できる。

(2)
代数的に置換しなくても x = 1 に関する対称移動で被積分関数を簡単にできる。

関数 y = sin x のグラフとx軸で囲まれる部分の面積はひとつ2である。またx軸との交点で点対称,隣り合う交点を結ぶ線分の垂直2等分線に対称である。
さらに,相互関係 sin2 x + cos2 x = 1 から図の斜線部は合同である。よって, y = sin2 x のグラフのひと山の面積が
であることがわかる。
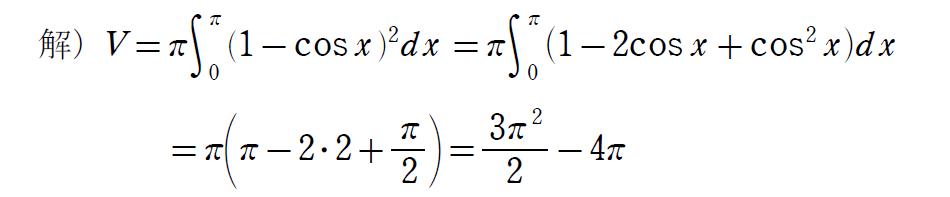
例6.
閉区間
において,曲線 y = cos x と直線 y = 1 で囲まれた図形を,直線 y = 1 のまわりに1回転してできる立体の体積を求めよ。
例7.
曲線 2x2 - 2xy + y2 = 4 で囲まれた部分の面積を求めよ。
y について解くと
なのでグラフは右の楕円。
これは y = 一定で切った切り口の長さが半径2の円と同じなのでカヴァリエリの原理により面積は半径2の円の面積と同じ
であるとわかる。
ここまで,図形を利用して原始関数を使わないで定積分の計算を行ってきたが,この問題のように原始関数を使うが三角関数の加法定理を省略することもできる。
以上のように定積分を図形的に計算するという手法は割とポピュラーであると思う。しかし,初学者,ここでは定積分の定義をよく理解できていないものにとってその考えに至るのは困難なことのようである。
今回は,大学入試でどこまでを既知とできるかについて考慮していない。高校で扱いがなくても「パップスギュルダンの定理」のような公知な定理,公式は既知とすべきところであろう。「6分の1公式」については,教科書(啓林館)でも紹介されており問題ないと考えられるが,同じことでも放物線が長方形の面積を1対2に分けることは証明が必要になるかもしれない。
2013年の大阪大学の入試で「 sin x を微分せよ。」という問題が出たが,ここでは
までが既知と考えるべきであろう。しかし,生徒によっては
を既知とする解答を書くものもいる。何が既知で,何が未知であるかは問題によっても,採点者によっても,解答者によってもそれぞれであるので,あまり深く考えないこととした。
原始関数を使わなくても図形的に定積分を求めることが出来ることに興味を持ち,様々な場面で応用することが,図形感覚を育むとともに,定積分の定義のより深い理解を得ることが出来るのではないかと考える。
参考文献