1 数学的な見方・考え方の教科書での扱い
この教科書での数学的な見方・考え方の扱いについて教えてください。
A.
中学校学習指導要領(平成29年告示)解説では,数学的な見方・考え方は数学の学習において,どのような視点で物事を捉え,どのような考え方で思考をしていくのかという,物事の特徴や本質を捉える視点や,思考の進め方や方向性を意味することであり,また,数学の学習の中で働かせるだけではなく,大人になって生活していくにあたっても重要な働きをするものと考えられると書かれています。令和3年度版教科書では,一定のまとまりの学習をふり返り,その中で使われていた数学的な見方・考え方をページ下部に
で示し,これから先の学習や身のまわりの問題の解決に役立てられるようにしていました。令和7年度版教科書では,学びをひろげる場面や問題を解決する場面で役に立つ考え方を,
として顕在化させ,よりわかりやすく表現しました。大切な考え方を働かせている場面には,本文中に下線をひき,その右側には,どんな考え方を使っているかを示す問題発見,問題解決のいずれかの「標識」を配置しました。ここで示したことは,数学の学習を進める上で大切にしてほしい数学的な見方・考え方であるとともに,数学の学習だけではなく,他教科の学習や生活の中でも役に立つ「生きる力」につながります。
2 利用の節とびらからの学習の流れの意図
利用の節からはじまる教科書紙面が,「(場面)」,「ステップ1」,「ステップ2」,「ステップ3」という構成になっているのはどうしてでしょうか。
A.
中学校学習指導要領(平成29年告示)解説の「1.数学科の目標」の中で,「今回の改訂では,数学的に考える資質・能力を育成する上で,数学的な見方・考え方を働かせた数学的活動を通して学習を展開することを重視する」と書かれています。与えられた数学の問題を解くだけでなく,数学の世界においては,数学の問題を解決した後に,その結果を統合的にみたり,発展させたりすることが大切です。また,日常生活や社会の事象についても,疑問や課題を解決するために,その疑問や課題を数学の問題として捉えなおし,数学の問題として解決した結果を日常生活や社会の事象に戻して考え,より深く考えたり,生まれた新たな疑問を解決したりするという学習過程が求められています。
この様な学習をはじめから生徒に求めることは難しいかもしれません。各章の利用の節において,「(場面)」で身のまわりなどから疑問や課題を見つけ,「ステップ1」でその解決のために数学の問題として捉えなおし,「ステップ2」で数学を利用して解決をして,「ステップ3」でステップ2までをふり返って,さらに問題をひろげたり,深めたりするという流れを,年間を通してくり返すことによって,自然に,この問題解決の過程を身につけることができるようにしています。そして,教科書で身につけたこの問題解決の過程を,教科書以外の場面でも活用できることを願い,このような構成にしています。
3 教科書で単位に括弧をつける場合
文字式で表した数量に単位をつけるとき,必ず単位に括弧をつけて表すのでしょうか。
A.
文字式で表した数量に単位をつけるとき,必ず単位に括弧をつけなければならないというきまりはありません。教科書や問題集によっては,
(円)のように,単位に括弧をつけている場合もあれば,(
)円のように,文字式に括弧をつけている場合もあります。いずれにしても,
という文字式が,ある具体的な数量(金額など)を表しているということを理解させることが大切です。この教科書で扱う問題文などでは,一部の例外を除き,
cmのように単項式の単位には括弧をつけず,文字式と単位の書体を変えて混乱しないように配慮しています。一方,ノートや答案などに単位をつけた文字式を書かせるとき,生徒によっては
(m)か
(cm)かの区別がつかないような
cmを書くことも考えられます。多くの場合は問題文や出題の意図から判別できると思われますが,どこまでが文字式で,どこからが単位かをはっきり区別するために,必ず単位に括弧をつけるように指導される場合もあると思います。学習内容や生徒の実態に応じて指導していただければよいでしょう。
4 速さの単位の読み方
「m/s」,「km/h」の読み方を教えてください。また,分速はどのように表せばよいでしょうか。
A.
「m/s」は「メートル毎秒」や「メーターパーセコンド」,「km/h」は「キロメートル毎時」や「キロメーターパーアワー」と読みます。「分秒〇m」は国際単位系に従うと,「m/min」と表し,「メートル毎分」や「メーターパーミニット」と読みます。
小学校では「秒速〇m」や「時速〇km」という表記のみで,「m/s」や「km/h」は扱わないので,これらの表記を初めて扱うときには,教科書p.64の吹き出しにあるように,sやhが秒(second)や時(hour)を表していることなどをていねいに説明しておくとよいでしょう。
5 漢数字と算用数字の使い分け
「3等分」や「二次方程式」のように,算用数字使ったり,漢数字を使ったりしている理由を教えてください。
A.
この教科書では,1個,2点など,数字は原則として算用数字を用いていますが,名詞の一部に使われる数字については,漢数字を用いています。一次方程式,二等分線,直角三角形,平行四辺形などがその例です。これらは,「直角3角形」,「平行4辺形」のようにその一部だけが算用数字になっていると不自然な感が否めないとの考えからです。ただし,これは,この教科書における表記のルールです。
角形の
に3以上の自然数をあてはめて考察するような場合もあるので,3角形,4角形,…,のように,算用数字を使って表記することが誤りというわけではありません。
1 正の符号「+」をつける場合,つけない場合
1章「正の数・負の数」では,小学校で学んできた正の数に符号「+」をつけて表す場合がありますが,これをつける場合とつけない場合は,どのように使い分ければよいでしょうか。
A.
小学校で学んできた0以外の数が正の数とよばれることや,正の数は符号「+」をつけて表す場合があることは,この章ではじめて学びます。小学校で学んだ数であることがわかるように,この章でもほんとうは正の数に符号をつけない方がよいかもしれません。しかし,たがいに反対の性質をもつ量や,基準を決めて増減や過不足を表すときには,正,負のどちらの場合にも符号をつけた方が,その数のもつ性質がわかりやすいともいえます。
また,正の数・負の数の加法の計算では,教科書p.26の「正の数・負の数の加法」のまとめのように,和を求める2数の符号と絶対値のきまりを使って計算を進める場面があります。このとき,2数の符号がそれぞれどうなのかがわかりやすく,符号と演算記号の区別もつきやすいように,2数ともに符号とかっこをつけるのが,はじめのうちはよいでしょう。
このように,1章「正の数・負の数」の中では,目的に応じてわかりやすいときには,正の数にも符号「+」をつけています。しかし,日常生活で正の数にわざわざ「+」をつけて表すことはありませんし,この先の章でも,特別な場合を除いて,正の数に符号をつけることはなくなります。生徒が符号「+」をつけないと正の数を捉えられないようになっては困りますので,その点には注意しつつ指導したいところです。
この教科書では,正の数に「+」の符号をつけた加法,減法の計算を学習した後に,正の数に「+」の符号をつけずに表した加法,減法の計算を学習し,その中で「正の項」を定義しています。ここでは,「12,8を正の項」としていますが,もちろん,「+12,+8を正の項」としても間違いではありません。しかし,これからの学習において正の項を指すときには,符号「+」をつける必要はないため,正の数に「+」の符号をつけずに表した加法,減法の学習の中で,正の項を定義しています。(正の数・負の数の加法・減法の計算については,「4 正の数・負の数の加法・減法の計算」を参照)
2 正の数・負の数の加法,減法の説明
正の数・負の数の加法,減法の計算を,教科書p.27問3のトランプのゲームの得点で導入しています。この方法で生徒は計算の意味についてよく理解し,加法,減法が十分にできるようになると思うのですが,それだけではいけないのでしょうか。
A.
トランプのゲームは,和についてのルールを覚えるには有効であるといえます。例えば,ダイヤの4とハートの1の和は,どちらも赤のカードで,点数の合計が5だから,ー5になります。また,スペードの3とダイヤの5の和では,符号を決める色は数が大きい方のカードの色で赤,点数の合計は2数の差で2だから,ー2になります。このように,トランプのゲームを使うと,2数が同符号の場合と異符号の場合の計算のルールの意味を理解しやすいと考えられます。
しかし,減法の問題では,必ずしも有効とはいえません。減法は加法になおす必要があるにもかかわらず,そのまま和についてのルールを適用してしまうおそれがあるからです。例えば,(ー4)ー(+1)については,(ー4)+(ー1)の形になおさないと,トランプのゲームのルールを適用できません。それにもかかわらず,符号を決める色は数が大きい方のカードの色で赤,点数の合計は2数の差で3から,ー3と考えてしまう生徒が想定されます。
これらのことから,トランプのゲームを用いた方法は,加法のみを扱っているときには有効ですが,減法の定着を図る上では誤解を生じかねないので,この方法だけでは十分とはいえません。
1つの方法だけで完全に理解できるようにしようとは考えずに,数直線を活用するなど,その方法の欠点を補うほかの場面や方法も併用することを大切にしたいところです。
3 正の数・負の数の加法・減法の計算
この教科書での正の数・負の数の加法・減法の計算について教えてください。
A.
この教科書では,基本的には正の数に符号をつけることはしていません。ただ,p.25~p.29の2項演算の内容は,「符号と絶対値のきまり(p.26)」を学んでいく箇所であるため,ここでは,符号と絶対値に着目しやすいように,正の数に符号をつけています。
ただ,ここに限って正の数に符号をつけたというスタンスですので,3項以上の演算に入る前に,まずは2項演算で,正の数に符号がなくても計算ができることを保証するために,p.29~30で,「正の数に符号をつけずに表した式を計算しましょう。」という内容を入れています。p.29~30の2項演算で,正の数に符号がなくても計算できることが保証されたら,例えば,3項演算以上である12ー15+8ー4は,「加法と減法が混じった式」とみて,計算の処理の過程で減法を加法になおして計算することができます。3項以上の演算でも,「加法と減法が混じった式」とみて同様に計算できることから,正の数,負の数の加減の計算においては,従来のように,「加法の記号+とかっこを省いた式」とみる式の見方をしなくても答えが出せることになります。
p.29~30の計算について,ここでも,直前で学んだ「符号と絶対値のきまり」を使って和を考えますが,
例えば,p.30例6(1)は,
・3ー4=ー1
としています。その理由ですが,仮に,
・3ー4=(+3)ー(+4)
=(+3)+(ー4)
=ー1 ・・・①
のように,正の数に符号とかっこをつけた加法の式になおした途中式を示してしまうと,つねにそのように式変形をしなければならないと誤解をされるおそれがあることと,途中式として符号とかっこをつけることはいずれしなくなることから,①のような変形は右の枠で示すのみにしています。
また,上の計算からは,3ー4は,(+3)+(ー4)の加法の計算から加法の記号+とかっこ(と式のはじめの正の符号+)を省いた加法の式とみることもできますが,小学校算数でも,例えば4ー3のような式は減法とみて処理しています。小中における学習の連続性から,3ー4のような式についても,計算の処理の過程で加法とみなすことはあっても,加法の記号が省かれた式とみるという式の見方を強制したくないと考えています。そのため,p.30
の例のタイトルも,「正の数に符号+をつけない減法」としています。
ただ,念頭操作として,加法式の加法の記号「+」が省かれた式とみて計算することを否定しているわけではありません。
4 正の数・負の数の乗法の計算の導入
正の数・負の数の乗法の導入を,一直線上の等速運動を使って説明する方法もあると思うのですが,この方法で指導するときのメリットとデメリットを教えてください。
A.
正の数・負の数の乗法の説明で最も難しいのは,「正の数×負の数=負の数」,「負の数×負の数=正の数」という「負の数をかける計算」の意味を生徒に納得させることといわれています。
負の数をかけることは,現実の量では考えられないものであって,数学の世界の中で,論理的な整合性をとるために規約されたものです。そうとはいえ,中学校では,それを形式的に定めていくわけにもいかず,生徒の納得のいく説明が必要になります。
負の数をかける計算の意味を具体的な量から説明する方法として,一直線上の等速運動を使って説明する方法があります。速さ,時間,距離の関係に負の数をあてはめて,その意味を考えていきます。この方法のメリットは,量に直接結びついているのでわかりやすく,実感をともなう点といえます。例えば,次のような数直線上を走るおもちゃの車を考えてみます。
・「速さ」は,右方向に向かう場合を正とし,左方向に向かう場合を負とする。
・「時間」は,現在を基準(0秒)として,未来を正,過去を負とする。
・「距離」は,現在の位置(原点)を基準として,右方向を正とし,左方向を負とする位置として表す。
このとき,毎秒2cmの速さで右方向に進むおもちゃの車が4秒前にいた位置は,(+2)×(ー4)=ー8となるので,「正の数×負の数=負の数」になります。また,毎秒3cmの速さで左方向に進むおもちゃの車が4秒前にいた位置は,(ー3)×(ー4)=+12となり,「負の数×負の数=正の数」になります。
一方で,上のように決めた正負は,実際のかけ算と矛盾しないように約束したものです。この約束を生徒が納得しなかった場合にはうまくいきません。例えば,「速さは右方向に向かう場合を正とするけど,距離は左方向を正としたい」という生徒が現れたとき,それでは何がいけないのかを理解させることは難しいといえるでしょう。なぜなら,この約束は,負の数のかけ算にあうように決めたものであって,実際の生活で正負をこのように考えなければならない理由はないからです。これが,現実の量で説明する場合のデメリットといえるでしょう。
よくできる生徒ほど,必然性のない約束を受け入れられないことも多いと思います。その場合には,無理に押しつけるのではなく,生徒の納得のいく別の方法を指導に取り入れてみるとよいでしょう。
5 「数の世界のひろがり」の学習目的
1章2節の「
数の世界のひろがり」のところでは,生徒に何を理解させることに重点をおいて指導すればよいのでしょうか。
A.
この内容を学習する目的は,まず,小学校でも整数,小数,分数と段階を追って拡張している数の範囲を,この章で学んだ負の数にまで拡張することで,数の集合を捉えなおすことです。例えば,小学校における整数とは,0と正の整数をあわせたものでしたが,中学校では,これに負の整数を加え,数学の概念としての整数を定義します。
こうして捉えなおした数の集合と,その集合における四則計算の可能性について取り上げることで,負の数を導入する必要性とともに,数学の発展過程や数学の体系を理解できると考えます。数の包含関係を図示できたり,教科書p.47の
の表を完成させるだけでなく,そのような活動を通して,ある数の範囲ではできなかった計算をできるようにするために新しい数を導入していること,それぞれの計算がいつでもできるかどうかは,数の集合の範囲に依存していることなどが理解されるように指導したいところです。
6 素数の定義について
素数の定義を,「1とその数のほかに約数がない自然数」としている理由を教えてください。
A. これまで,素数は3年の学習内容であり,素数を扱う場面は因数分解に関係した場合がほとんどであったために,「それより小さい自然数の積の形で表すことができない数」という表現をしてきました。しかし,学習指導要領の改訂により,素数を小学校で扱わなくなり,また,自然数を素数の積で表すという内容が中学校1年で扱われることとなりました。そのため,小学校で学習した約数の内容と関連づけて,「1とその数のほかに約数がない自然数を素数といいます。」と素数の定義を変更しています。また,素因数分解をする際に「×1」を考えても意味がないことから,「1は素数にふくめません。」としています。
7 因数や素因数を定義していない理由
素因数分解という用語を定義しているのに,どうして,因数や素因数を定義していないのでしょうか。
A.
中学校学習指導要領(平成29年告示)において,「因数」が3年で学習するものとされているために,1年で用語として扱うことはできません。また,「自然数を素数の積で表すことによって,算数で学習した約数,倍数などの整数の性質について捉えなおすことができるようにする」ということが,学習指導要領の解説にも書かれていることから,素因数分解を使って倍数を捉えなおすという内容を扱っています。もちろん,「素因数分解」という用語を定義せずに倍数を捉えなおすこともできますが,中学校3年間の中で,素因数分解の内容をこの部分以外で扱うことがないため,素因数分解という用語を定義することにしました。
1年では,このような理由から,「因数」や「素因数」を定義することができませんが,3年の因数分解の学習で,「因数」を定義する場面では,
をおき,1年で学習した素因数分解をふり返るようにしています。その中で,数の世界において因数を定義し,素因数という用語も扱っています。
8 積を表す文字式のアルファベットの順番
積を表す文字式は,必ず
,
のように,アルファベットの順番通りに書くように指導したほうがよいのでしょうか。解答に
,
などと答えた生徒については,減点する必要があるのでしょうか。
A.
積を表す文字式については,教科書p.62で,「ふつうはアルファベットの順にして,
と書きます」としています。「ふつうは」としているのは,少なからず例外もあるからです。例えば

の最後の項の
などは,式の一般性を考えると,あえてアルファベットの順番通りにしない方がよいとも考えられます。この式の展開公式は,高等学校の教科書でも,
の順番で示されています。
また,中学校の範囲でも,例えば,円柱の体積の公式は,

と表されます。
と
では,
の方がアルファベットの順番では前になりますが,この公式のように表した方が,(底面積)×(高さ)であることがわかりやすいため,このように表されます。
これらの例外もありながら,「ふつうは」アルファベットの順番通りに書くとされるのは,その方が,式が読みやすかったり,同類項を判別しやすかったりといったメリットがあるからでしょう。アルファベットの順番に書かなかった場合に減点することを目的とするのではなく,このようなメリットを伝えて,アルファベットの順番に書くよさを生徒に納得させる指導が大切になります。
9 文字式の計算によくある誤答
,
のような誤答をする生徒がいます。このような生徒には,どんな指導をすればよいでしょうか。
A.
小学校において,加法,減法は同種の量においてのみできることを学習しています。異分母分数の加法や減法のときに,通分することで同分母に変えるのは,同種の量にしているわけです。
とする生徒が,例えば,
は,通分しない限り,これ以上計算を進めることができないことを理解しているかどうかを確認する必要があります。このような加法,減法の理解なしには,
としてはいけないことは理解できないと思います。
また,「3
と5は,同種の項か?」,「
としてよいのか,よくないのか?」などを判断したり,その理由を説明したりする機会を,授業の中に組み入れていくことが大切です。このような観点から見れば,
も,「
」と「4」のように,式を計算する前と後とで異なる種類の項になっていることがおかしいことに気づけるのではないでしょうか?授業ではあえて
を取り上げて,おかしいと判断した後に,教科書p.71の
「文字の部分が同じ項をまとめて計算する」を指導するという流れも考えられます。
文字式の加法,減法の指導において,式を計算する方法の形式だけを指導することに終始せず,このような判断をする機会を意図的に取り入れていきたいものです。
10 符号と演算記号の区別
文字式の+やーは演算記号とみるべきでしょうか。それとも項の符号とみるべきでしょうか。
A.
学習指導要領解説にもあるように,「ー」を項の符号として加法と減法を統一的にみることにより,加法と減法の混じった式を正の項や負の項の和として捉えることができ,それによって効率よく計算することができるようになります。中学校数学では,項の概念を理解し,文字式の計算の処理が適切にできることが求められます。
項の概念は1年で学習しますが,+やーを演算記号として捉えるか項の符号として捉えるかについては,各学年の学習内容に応じて判断することが大切です。
1年では,数の項も文字の項も初めて学習した段階であるため,例えば,
という式であれば,「加法の記号+で結ばれた…」という項の定義に基づいて
と考え,+は演算記号,ーは符号とみて項を考える方が理解しやすいと思います。一方,学習が進んだ3年では,例えば,
の展開などでは,
のように符号と考えた方が,符号と絶対値の計算が考えやすいと思われます。
また,公式などの表記上,「+」を演算記号として捉える場合もあります。例えば,乗法の公式で示している
の場合は,
の係数が
と
の和であることを示しているのですから,「+」演算記号とみないといけません。必ず項の符号として捉えるというわけではないので注意が必要です。
11 不等号の読み方
不等号「>」,「
」などを使って表された式はどう読むのでしょうか。
A.
不等号「<」は左辺が右辺よりも小さいこと,「>」左辺が右辺よりも大きいことを意味しています。これらの不等号の読み方は,「…は~より小さい(未満)」,「…は~より大きい」となります。また,「小なり」,「大なり」ということもあります。例えば,
>ー2は「
大なりー2」と読みます。
不等号「
」は左辺が右辺よりも小さいか等しいこと,「
」は左辺が右辺よりも大きいか等しいことを意味しています。これらの不等号の読み方は,「…は~以下」,「…は~以上」となります。また,「小なりイコール」,「大なりイコール」ということもあります。例えば,
90は「
小なりイコール90」と読みます。
「大なり」,「小なり」を使った読み方の原則は,左辺を基準にして,例えば
>
は左辺の
が右辺の
よりも大きいことを表しているので「
大なり
」と読みます。
12 方程式の定義
教科書p.90で,方程式は「まだわかっていない数を表す文字をふくむ等式」と定義されています。この先の数学では,もう少し広い意味で方程式を捉えていく場面もありますが,このような定義にしているのはなぜでしょうか。
A.
方程式には2つの捉え方があります。1つは,「方程式は未知の数量について成り立つ関係を表した等式であり,その未知の数量を求めることを要求しているもの」とみる捉え方です。
これに対して,集合の見方を重視して,変数に対する条件を表しているという捉え方もあります。つまり,方程式は,「相等についての条件を表した式であり,方程式の解は,その条件を満たす値である」とみる捉え方です。この場合の文字は,定数ではなく,変数を意味しています。したがって,方程式の解は,変数の取りうる値の集合(変域)の部分集合で,その条件を成り立たせる要素の集合(解の集合)です。1年では,一元一次方程式だけを扱うので,解は1つだけです。したがって,解の集合という考え方は現実的ではありません。はじめから方程式は成り立つことを前提にしているので,文字
がいろいろな値をとり,成り立つ場合もあれば,成り立たない場合もあることを考える必然性を実感させるのも難しいでしょう。
したがって,1年の方程式の指導にあたっては,教科書p.90で「まだわかっていない数を表す文字をふくむ等式を方程式」としているように,未知数としての見方からはじめるのが適当であると考えます。
13 解の吟味の扱い
方程式の利用問題で,解の吟味はどの程度の扱いをすればよいでしょうか。
A.
方程式の解は,あくまで現実の問題を解決するために設定した数学的なモデルにおける数学的な処理の結果に過ぎず,これが必ず現実の問題の答えになるとは限りません。そのため,方程式の利用では,解の吟味が必要になります。
例えば,ケーキの値段を方程式を利用して求めたとき,解が負の値になったり,出したお金より大きな値になったりした場合には,この解は問題にあっておらず,そのまま答えとしてはいけないことになります。そのようなことが起こっていないかどうかを調べるのが解の吟味であり,「解の吟味=検算」ではないことを強調しておく必要があります。
一次方程式しか使えない1年の段階で,解が問題にあわない場合に出会うことはそれほど多くはないため,解の吟味がなぜ必要なのかを,生徒はなかなか理解できないかもしれません。それでも,教科書p.107の
のような実際に解が問題にあわない場面にふれ,その必要性をしっかりと理解させることは大切です。また,解が問題にあわない場合が頻繁に現れる3年の二次方程式までを見越した指導によって,これを計画的に理解させることも考えられます。
一方で,解の吟味で調べたことがらを解答に示す場合に,どの程度のことを書けばよいかは,柔軟な扱いが求められます。解の吟味で調べる内容は問題によって異なり,それを表現する記述も,一通りに定まらないからです。はじめのうちは,解が問題の答えとしておかしなところがないかを,指導の中で生徒と一緒に確認し,調べたことがらを板書して示すことも必要です。そして,解の吟味をする姿勢が生徒にしっかりと身についてからは,解答には,「この解は問題にあっている」程度のことが書かれていれば,解の吟味をしっかりとおこなったことが示されていると受けとめてよいでしょう。ただし,「この解は問題にあっている」と形式的に書かせる指導にはおちいらないようにしましょう。生徒が,解の吟味を,方程式を使った問題解決のプロセスの一部として捉えることができるような指導を忘れてはいけません。
14 関数の意味理解
関数学習の初期段階の生徒に,関数とは何かを,どのようにつかませればよいでしょうか。
A.
日常生活に見られる具体的な事象の中には,複数の数量がお互いにある関係を保ちながら変化している場合があります。このように,お互いに一定の関係を保ちながら変化する量を数学的に考察するために関数があります。つまり,関数は,事象の中のともなって変わる2つの数量の変化や対応を調べることを通して,変化の法則や変化の中の不変のものを明らかにし,それに基づいて,問題を処理したり,まだわからないことを予測したりするときに使われます。
関数の学習では,日常生活や社会の事象の中にある,ともなって変わる2つの数量の変化や対応などの目に見えない関係を扱うので,表,式,グラフなどに表すことによって,目に見える対象にすることが大切になります。ここで注意したいのが,表,式,グラフは関数そのものではなく,関数を表現しているものであるということです。
関数は,関係する2つの数量の一方の値を決めれば,他方の値がただ1つに決まるような関係(一意対応)です。このことを把握するには,教科書p.116の
のような具体的な事例について,事象を実際に観察する機会が大切になります。写真や絵を見せて想像させるだけではなく,具体的な事象を目の前で見せたり,実際につくらせたりして,その事象の中で変化している数量は何か,ともなって変わっている数量は何かを観察させる活動を取り入れるようにしましょう。このような活動を通して,比例,反比例は関数の一部であることや,関数の概念のひろがりを実感できるようになるのではないかと思います。
15 具体的な事象における変域の考え方
具体的な事象を関数でとらえるとき,例えば,図形の面積などでは,面積が0になる点は変域にふくめないものとして考えるのでしょうか。
A.
教科書p.118の
「窓のあいた部分の面積」では,窓を動かしたときに,あいた部分の面積の変化を調べています。このとき,窓を動かす前は,あいた部分はできません。したがって,窓を動かす前は,変域に含めないとも考えられます。
一方で,窓を動かす前も1つの事象と考えれば,あいた部分の面積が0であるとまとめることができます。つまり,窓が動く範囲すべてを変域とする考えもあります。教科書p.118の変域の説明では,
の事象の
の変域を0以上90以下として,変数のとる値の範囲に0を含めています。
いずれにしても,事象の中から変数を見いだし,具体的な事象の変化を観察しながら,変数のとる値の範囲を捉えることができるようにすることが重要です。実際の学習指導では,生徒の実態や先生ご自身の考えによって,どちらの方針で学習指導するのがよいかご判断ください。なお,混乱を避けるために,試験などの問題として出題するときには,0の場合を変域に含めるか含めないかを,問題文できちんと示すとよいでしょう。
16 比例,反比例の小中接続
小学校でも比例,反比例が指導されています。中学校での比例,反比例の指導については,どんなことに注意をすればよいでしょうか。
A.
現在の学習指導要領では,反比例は小学校でも指導されるようになりました。小学校の教科書では,比例をひととおり学習してから反比例の内容に入っています。
小学校で比例,反比例は,導入において身近な事象を取り上げ,ともなって変わる2つの数量の関係として扱われています。中学校でも,身近な事象から取り上げることは変わりませんが,比例や反比例の考察に入る前に,教科書p.114~118の1節「関数」で,変数の定義とともに,「ともなって変わる2つの変数
,
があって,
の値を決めると,それに対応して
の値がただ1つに決まるとき,
は
の関数であるといいます」として関数が定義されます。このように,中学校では,
が
の関数である数量の関係として,比例や反比例を学んでいくことになります。
また,比例,反比例の定義も小学校とは変わります。例えば,比例について,小学校では,「
の値が2倍,3倍,…になると,
の値も2倍,3倍,…になるとき,
は
に比例するといいます」と定義されています。2つの数量について,小学校ではともなって変わるようすを中心にして捉えているため,このような定義から比例の関係かどうかを判断するのがわかりやすいといえます。しかし,この定義では,いつも変数
,
の値の組をいくつもとって, 2倍, 3倍,…の関係になっているか調べられるようにしなければなりません。いろいろな事象を調べる上で,いつまでもこの定義のままでは都合が悪い部分があるわけです。そのため,中学校のこの章では,「
が
の関数で,その間の関係が,
(
は定数) で表されるとき,
は
に比例するといいます」と定義しなおし,主に事象が
という式で表される関係かどうかによって比例を判断していくことになります。これらのことは,反比例でも同様です。
なお,小学校でも比例,反比例の関係を表す式も学び,中学校でも,比例(反比例)の関係では,「
の値が2倍,3倍,4倍,……になると,
の値も2倍,3倍,4倍,……になる(
の値は
倍,
倍,
倍,……になる)」ことも性質として学びます。事象を調べたり,比例,反比例を活用してものごとを判断したりする上では,これらを複合的に用いて考察していくことに注意してください。
17 変域のあるグラフの表し方
変域のあるグラフで,含む場合を●,含まない場合を〇として端点を表示する必要はないのでしょうか。また,変域のあるグラフをかく場合,変域外はどのように表せばよいでしょうか。
A.
変域のあるグラフのかき方について,変域の端点が含まれるかどうかを,●,○で表すことがあります。しかし,このような表し方は,数学の中できちんと定められた表し方ではないので,このような表記を用いる際は,●と○の意味について,グラフのそばに添え書きをするなど,きちんと断ってから用いる必要があります。もちろん,授業の中であれば,図やグラフをかく際に,口頭で宣言しておくだけでも問題はないでしょう。
また,教科書の中には,変域のあるグラフを示す際に,端点に●,○を用いていない場面もあります。これは,例えば,グラフを用いて値の増減を考えたり,グラフの概形を知ったりすることが目的で,端点が含まれるかどうかが主眼でない場合には,必ずしも,端点が含まれるかどうかをグラフに示す必要はないという考えに基づいています。中学校の関数学習において,このようなことを強制することによって学習の負担となり,グラフから関数のようすを読み取ることに集中できなくなるのは避けなければなりません。
もちろん,学習上必要な場合には,学級の実態によって,端点を●や○を用いて示すように指導してもよいでしょう。これについては,生徒の理解度に応じて,柔軟にご判断いただきたいと考えています。
また,変域のあるグラフをかくときの変域外の表し方については,破線で示す場合もあれば全く表記しない場合もあり,特に表し方のきまりはありません。
この教科書では,変域外の部分を破線で示している場合もあります。これは,方眼がないところにグラフをかいた場合や,変域の範囲内で軸と交わっていない場合でも,グラフから関数の式がわかるようにするためです。中学校の関数の指導では,表,式,グラフを相互に関連づけて,2つの数量の変化や対応の特徴を捉えることが大切なので,変域のあるグラフからも式がわかるように,必要に応じて変域外を破線で示すようにしています。
一方,試験などで「変域のある関数のグラフをかくように指示された場合に,変域外の部分まで含めて破線などでかかないと不正解かどうか」ということについては,本来,グラフは視覚的に表すことによって,関数の変化のようすを捉えやすくするためにかくものであり,教科書はその姿勢を養うためにグラフの利用を取り上げているので,それぞれの場面に応じて変化を捉えるのに支障がないグラフがかけていれば,それでよいと考えます。もちろん,変域の範囲内だけしかかかれていなければ,正しいかどうかの判断がつかない場合もあるので,必ず範囲外の部分も破線でかくように指導されることを否定するものではありません。いずれにせよ,表,式,グラフを相互に関連づけ,関数関係を見いだし表現し考察することを通して,関数的な見方や考え方を養うという関数指導のねらいにそった指導や評価をおこなうことが大切です。
18 「半直線」の用語の使い分け
「半直線」の用語が定義されていますが,どの程度厳密にこの用語を使っていかなければならないのでしょうか。
A.
教科書p.150では,小学校で習った直線の意味を拡張させる中で,小学校では区別してこなかった直線と線分の違いを取り上げています。このとき,1点を端として一方にだけのびる半直線をさらに区別するかどうかが問題になります。以後の学習活動で,半直線を厳密に直線と区別しなければ困る場面もそれほど多くはなく,日常生活においても,半直線ということばを使うことはほとんどないからです。
一方で,半直線の用語をぜひ取り上げてほしいというご意見も少なからずいただきます。点Aを端として点Bの方に限りなくのびる線を,半直線ABと簡潔に表すことができるよさがあり,数学科で指導されない限り,ほかではこれを学ぶ機会がないことなどがその理由としてあります。半直線とよぶことが便利な場面で積極的に活用することができるように,この用語を取り上げていますが,厳密に区別しなくても特に支障がない場面では,この用語を「使わなければならないもの」とする必要はないと考えています。
例えば,図形の証明で,補助線としてひいた線が半直線であったとします。これが直線であるか半直線であるかが証明の本筋に影響しない場合に,ひいた補助線は半直線なのに直線としたからといって減点することを目的にこの用語を取り上げているわけではありません。その点に注意して指導していただければと思います。
19 作図の根拠にひし形の対角線の性質を使っている理由
作図の根拠にひし形の対角線の性質を使っているのはなぜでしょうか。
A.
角の二等分線,線分の垂直二等分線,垂線の作図方法は,対称性に着目すれば同じものと見ることができます。いずれも,2つの円が,中心を結ぶ直線に対して線対称であることを用いています。
このとき,半径が等しい2つの円の交点と2つの円の中心を結ぶと,ひし形になります。つまり,角の二等分線,線分の垂直二等分線,垂線がすべて,小学校で学んだひし形の対角線になっています。だから,根拠としてひし形の対角線の性質を使っています。このように,作図をするときは,図形の性質を活用することが大切です。無計画に,円や直線をひいても作図はできません。例えば,垂直二等分線を作図する際にも,垂直二等分線を性質としてもつ図形を考え,その図形を作図すればよいということを理解できるような指導をする必要があります。
また,作図の指導では,手順だけを一方的に与えるのではなく,図形の対称性に着目したり,図形を決定する要素に着目したりして,自分で作図の根拠や手順を考え,それを説明する活動も大切です。例えば,角の二等分線では,紙を折って角をつくる2辺を重ねるなどして,角の二等分線が,その角をつくる2本の半直線の対称の軸となっていることを確認させ,その対称の軸上の点を1つ決める必要があるという見通しをもたせる機会を授業の中で取り入れたいものです。
小学校で学んだひし形の性質を利用して,このような活動を通して作図について学ぶことは,小中の学習のつながりを意識させるとともに,中学校2年から始まる証明の素地を培うことにもなっています。
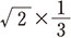
20 おうぎ形の面積の公式の扱い
おうぎ形の面積を求めるには,
の公式を使うのが便利ですが,この公式だけを指導するのではいけないのでしょうか。
A.
おうぎ形の面積の公式として,
だけを指導することには,いくつかの問題点があります。
まず,中学校1年の段階でこの公式を導くには,教科書p.283「おうぎ形の面積」にあるように,おうぎ形を分割して並べかえ,長方形とみる直観的な扱いしかできません。そのため,「弧の部分は曲線だから,並べかえても長方形にはならない」などと考える生徒には,これとは別に式変形による説明が必要になります。しかし,この式変形による説明には,
,
の公式を用いますが,この式変形は,2年で学習する「等式の変形」を用いる必要があります。
さらに問題なのは,
の公式からは,おうぎ形が,同じ半径の円の一部分であり,その面積が中心角
に比例することや,おうぎ形と円の面積の比が
:360になるという大切なことがらが読み取れないことです。面積を求める際に,弧の長さと半径がわかっている場合にはこの公式が便利ですが,半径と中心角しかわからない場合には,この公式を直接用いることができません。実際におうぎ形をかくことを考えると,半径と弧の長さがわかっていても,中心角を求めなければかくことはできず,おうぎ形を決定する要素として基本的なのは,半径と中心角であるといえます。つまり,面積を求めたいおうぎ形で,半径と弧の長さだけがわかっていることよりも,半径と中心角がわかっていることの方が自然であり,面積の公式としても,
が基本だといえます。公式は,あれもこれもとむやみに覚えるのではなく,その公式が導かれる過程の理解や必要性なども考え合わせて身につけていくことが大切です。上に述べたようなことから,1年の段階では,おうぎ形の性質とも関連が深く基本的である
の公式をまずは使えるようにし,実態や興味・関心に応じて,
の公式を紹介するのがよいでしょう。
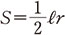
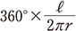
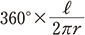
21 おうぎ形の中心角の求め方の扱い
教科書p.176の
のような,おうぎ形の中心角を求める問題には,いろいろな解き方があります。主となる解答を,比例式を使った解き方で示しているのはなぜでしょうか。
A.
このような弧の長さ
と半径
がわかっているおうぎ形の中心角
を求める問題の解き方として,次の3つの方法が考えられます。
(ア)弧の長さの比と中心角の比が等しくなることから,
:2
=
:360 の比例式をつくる。
(イ)弧の長さを求める公式を使って,
の方程式をつくる。
(ウ)全円周に対するおうぎ形の弧の長さの比の値を360°にかけて,
で求める。
まず,(ア)~(ウ)のどれでなければならないということはありません。生徒の実態に応じて,理解できる方法を選択することが大切になりますが,教科書では,(ア)の方法を主となる解答とし,(イ)の方法を別解として取り上げています。
その理由として,ここまでに,「1つの円では,おうぎ形の弧の長さは,その中心角の大きさで決まる」ことを学習しています。これをもとに考えると,中心角の比や比の値を用いる(ア)や(イ)の方法が自然です。
特に,(ア)の方法は,教科書p.176の
のように,対象となるおうぎ形とそれを含む全円の図を別々にかくことを習慣づけることができます。いつもこれをかいて対応する弧の長さや中心角の比をとれば,比例式がつくれるという点がわかりやすいものです。また,この方法では,苦手とする生徒が多いといわれる分数を用いずに処理することができます。
(ア)の方法を主となる解答としているもう1つの理由が,比例式の活用場面として,そのよさを実感する機会にできることです。比例式はこの学年の3章「方程式」で学び,3年の5章「図形と相似」で,相似比から辺の長さを求めたり,相似比と面積の比,体積の比の関係から,面積や体積を求めたりするのに活用されます。つまり,1年で学んだことを3年で使う場面があるわけです。その間に忘れてしまったりしないように,活用する場面を適切に位置づけることが大切になります。そのため,この教科書p.176の
や円錐の側面積を求める教科書p.210の
などでは,比例式を用いて処理するようにしています。
22 立体の頂点と錐体の頂点
「頂点」という用語は小学校の立体の学習でも学んでいます。空間図形の章であらためて定義されている「頂点」は,何が違うのでしょうか。
A.
小学校では,「はこの形」で,辺が集まったところにあるかどの点として頂点が定義され,その後に学ぶ角柱のかどの点にまで拡張されます。これは,いわゆる多面体の頂点で,多面体のかどの点すべてを指し示すことばです。
これに対して,教科書p.184では,それとは異なる頂点を定義しています。この頂点は,錐体の底面に対して一意に決まる1つのとがった点を指し示しており,錐面の次のような定義に基づくものです。
錐面:平面上の曲線
とこの平面上にない1点
に対し,
と
上の各点とを通る直線全体によってえがかれる曲面を錐面といい,
をその頂点,
を導線,曲面をえがくおのおのの直線を母線とよぶ。(中略)導線が円・多角形ならば,それぞれ円錐・角錐とよぶ。(数学小辞典/共立出版より)
角錐の場合には,小学校の定義における頂点はすべてのかどの点になりますが,教科書p.184で定義している頂点は,上の定義による別の意味の「錐体の頂点」となります。この意味での頂点によって,例えば,四角錐の高さを説明するのに,「四角錐の頂点から底面にひいた垂線の長さ」のようないい方ができるようになります。また,円錐については頂点とよべる点がはじめて定義されたことになります。
23 多面体,正多面体の扱い
多面体,正多面体については,どの程度のことを指導すればよいのでしょうか。
A.
この章では,小学校で学んだ立体の考察をもとにして空間内の平面や直線の位置関係などを捉えることとともに,小学校で学んだ立体の特徴についてさらに理解を深めることをねらいとしています。その中で,多面体については,教科書p.185で,「いくつかの平面で囲まれた立体を多面体といい,……」と定義していますが,上記のねらいから外れるため,小学校では学んでいない一般の多面体については,軽い扱いとしています。教科書p.185の③の立体のように,角柱でも角錐でもなく,多面体としかよべない立体を分類するために,多面体の用語とその意味については理解できるようにするとよいでしょう。
また,正多面体にはいろいろな特徴があり,興味・関心をもつ生徒には,学習をひろげられるよい題材です。これについては,この章を終えた後の一斉指導や自主学習でじっくりと学習することができるように,教科書p.185の
「正多面体」や教科書p.284~285「正多面体の特徴をさぐろう」で取り上げています。生徒の実態に応じてご活用ください。
24 円錐の展開図をかく際の誤り
円錐の展開図をかくとき,側面を三角形にする誤りが多くあります。これを防ぐには,どのような指導が効果的でしょうか。
A.
展開図をかくには,対象となる立体をさまざまな角度から見る経験が大切になります。授業では,実際の模型を切りひらくなどして,立体の底面や側面の形を観察させる機会を設けるのもよいでしょう。
また,生徒にかかせた展開図をもとに,立体をつくらせる活動を取り入れることも効果的です。例えば,円錐の展開図の誤りに対しては,その展開図をもとに円錐をつくる活動を取り入れると,側面が三角形であれば円錐がつくれないことに直面し,側面がどのような形でなければならないのかを考え,展開図を修正する契機となると思います。中学校でも,小学校でやっているような操作活動を積極的に取り入れることが大切です。
25 7章1節の学習の流れの意図
7章1節「ヒストグラムと相対度数」の教科書の紙面構成が,他の章と少し違っています。何か意図があるのでしょうか。
A.
他の章の利用の節でも問題解決の過程を意識した構成にしていますが,特にデータの活用領域においては,その解決の過程がより大切になってきます。統計的な課題解決のプロセスは,「PPDAC」ということばで表現されることが多く,この「PPDAC」は,「①Problem 課題の発見,設定」,「②Plan データの収集と分析の計画」,「③Data データの収集,記録,整理」,「④Analysis データの分析」,「⑤Conclusion 結論のとりまとめ」の頭文字を並べたものです。この節全体を通して,この課題解決のプロセスを意識して学習を進めることができるようにしています。
また,実際に課題を解決していくときに生じる気づきや疑問などを,この課題を解決していくかりんさんの吹き出しで示しています。このようにすることによって,かりんさんと一緒に課題を解決しているような感覚になり,自然と課題解決の方法が身につくことを期待しています。
これまでの章とは,少し異なる教科書紙面になっていることから,とまどいもあるかもしれませんが,データの活用領域のもつ課題解決の楽しさを,この節の一連の学習を通して実感してみてください。
26 相対度数の表し方
相対度数は,分数で表してはいけないのでしょうか。また,各階級の相対度数を小数で表すと,それらの合計が1にならない場合もありますが,例えば0.99になった場合,度数分布表の相対度数の合計の欄には,0.99と示すのでしょうか。
A.
相対度数は,それを用いる目的を考えると,小数で表す方が好都合です。例えば,相対度数が分母の異なる分数で表されていた場合には,2つの階級でどちらの度数が大きいのかを瞬時に判断しにくかったり,その階級の度数の全体に対する割合もわかりにくかったりします。相対度数を求めること自体が目的ではなく,そのデータを活用するためにおこなうものですから,活用しやすい形を考えて,相対度数も小数で求めるように指導するのがよいと思います。
また,四捨五入によって各階級の相対度数を求めた場合に,その合計が1にならない場合もあります。そのときにも,全体を1として考えていることを示す意味で,相対度数の合計の欄には1.00のように書きます。このとき,合計がちょうど1.00となるように,各階級の相対度数を調整する必要はありませんが,円グラフに表したりするなど,特にそれが必要な場合には,相対度数のもっとも大きい階級で調整することが多いです。
27 度数分布表と代表値
データの個々の値がわかっている場合と度数分布表に整理された場合で,代表値の扱いが異なっている理由を教えてください。また,度数分布表から平均値を求めるとき,データの個々の値が離散的な場合には実際の平均値とのずれが大きくなってしまうように思うのですが,それでよいのでしょうか。
A.
代表値を求める際に,データの個々の値がすべてわかっている状況もあれば,度数分布表に整理されたデータしか手に入らない状況もあります。それぞれの状況で,代表値の求め方が変わります。
平均値は,データの個々の値がすべてわかっている場合には,それらすべての合計をデータの個数でわって計算します。一方で,度数分布表に整理されたデータしか手に入らない場合には,「各階級に入っているデータの値は,どの値もすべて,その階級の階級値である」と考えて計算します。このようにして求めても,各階級の中で,階級値より大きい値,小さい値の両方があればそれらが均され,データの個々の値から求めた平均値と大きく違わない値となります。
最頻値は,データの個々の値がすべてわかっている場合には,その中でもっとも多く現れる値とします。ただし,ほとんど同じ値がないデータなどでは,たまたま複数現れたある値が,データの最頻傾向を示していることにはならない場合があります。そのため,度数分布表に整理し,どの階級のあたりが最頻傾向を示しているかを調べ,その階級値を最頻値として用いる方が適切な場合があります。つまり,平均値とは違い,手に入ったデータのすべての値がわかっているかどうかではなく,そのデータがよくとる値の傾向を知るのに度数分布表に整理すべきかどうかを判断することが必要になります。
中央値は,データの個々の値がすべてわかっている場合には,それらすべてを大きさの順に並べた際の中央の値です。データの個数が偶数の場合には,中央に並ぶ2つの値の平均をとります。度数分布表に整理されたデータしか手に入らない場合には,中央値がどの階級に入っているかまではわかりますが,その階級の階級値を中央値とすることは,ふつうはしません。これは,中央値のもつ意味が,データにおいてその値より大きい値をとることも小さい値をとることも,50%の確率で起こる境の値であるのに,階級値がその値である保証がなく,判断に狂いが生じるおそれがあるためだと考えられます。
次に,度数分布表から求めた平均値と実際の平均値とのずれですが,例えば,テストの点などの整数値しかとらないデータを,階級の幅を10として,0以上10未満,10以上20未満,…のように整理したとします。このとき,例えば,70以上80未満の階級に入るのは,70,71,72,…,79の10個で,これらの中央の値は74.5となり,階級値の75を用いて求めた平均値は,実際の平均値とのずれが大きくなってしまうことを懸念されているのだと思います。実は,このようなことはデータの個々の値が離散的だから起こるわけではありません。
例えば,連続的な測定値を小数第1位までの値にして整理した場合を上にあてはめて考えてみると,70以上80未満の階級に入るのは,70.0,70.1,70.2,…,79.8,79.9の100個で,これらの中央の値は74.95となり,階級値の75とは,やはりずれがあります。
つまり,データの値が離散的か連続的かではなく,このようなずれがデータの傾向を読み取るのに影響するものであるかどうかで,場合によっては整理のしかたを見なおさなければならない問題です。
例えば,上の整数値でいえば,階級のとり方を0から9まで,10から19まで,…のようにして,階級値を4.5,14.5,…とする整理のしかたもあります。そうしなければならないかどうかは,データの性質や調査の目的などに応じて考えることになります。
教科書では,多くの場合に通用する一般的なデータの整理のしかたを紹介するにとどめ,ここまでふみ込んではいませんが,整理のしかたが調査の目的にあったものかどうかを検討する場面を設けるのもよいでしょう。
1
の次数
分母に
を含む文字式の次数はどのように考えたらよいのでしょうか。
A.
などの文字式に対して,次数を考えることはありません。次数は,整式に対して定義されるものです。単項式や,それら単項式の和で表される多項式をまとめて整式と呼びます。
など,分母部分に文字を含むものは,そもそも整式には含まれません。
2 符号と演算記号の区別
教科書では,符号と演算記号の違いについて,どのように区別して考えればよいのでしょうか。
A.
1年1章「正の数・負の数」では,符号のついた数についてはじめて学習する場面から計算法則を学ぶ場面あたりまでは,きちんと符号と演算記号の区別をしています。しかし,実際の計算の場面では,符号と演算記号を明確に区別しない方が都合がよい場合もあります。
例えば,符号としての+,ーは左上に小さく書き,演算記号としての+,ーは通常通り書くことにすると,
は,正の数・負の数を用いて加法に統合することによって,
と表すことができます。その結果,加法についての交換法則,結合法則が使えるようになり,
として正の項,負の項どうしをまとめてから計算することができます。しかし,実際には,いたずらにこうした深入りはせずに,
を
と計算していると思います。
2年の式の計算の指導においても,符号と演算記号を区別することは主たる目的ではなく,1年のときと同様に
の計算など,そうしない方が都合がよい場面もあります。
の項の1つである
の
の係数はー2 というとき,係数のーは符号です。しかし,実際には,
を
として,同類項をまとめていると思います。指導の際は,符号と演算記号の区別について深入りするのではなく,項の概念を理解しながら,文字式の計算の処理が適切にできることを目指すとよいでしょう。
3 式の乗法より式の加法をさきに指導する理由
式の加法,乗法について,
の形の加法の計算の前に,
の形の乗法の計算を指導することも可能でしょうか。また,このとき,どのような指導計画を立てればよいでしょうか。
A.
式の加法,乗法の指導順序として,少なくとも以下の2つの順序が考えられます。
①
の形の加法の計算 →
の形の乗法の計算
→
の形の計算
②
の形の乗法の計算 →
の形の加法の計算
→
の形の計算
は2つの多項式
と
の和,
は2つの多項式
と
の和と考えられるので,指導順序としては①と②のいずれも可能です。
生徒の性質や,学級の実態などによっては,②の順序で指導することももちろん考えられます。②の順序では,
の形の計算から,スムーズに
の形の計算につなげることができるという利点があります。しかし,
の形の計算と
の形の計算を学習する期間が離れるため,
の形の計算を学習する際に,分配法則をふり返るなどの学びなおしの機会を設ける配慮が必要になるかもしれません。
4 奇数,偶数,倍数には負の数を含めるか
奇数,偶数,倍数に関する指導の際,負の数を含めて指導するべきでしょうか。また,最小公倍数については,どのように定義し,指導の際はどのように扱うのがよいでしょうか。
A.
この教科書では,奇数,偶数,倍数は,正の数・負の数の範囲で扱っています。1年で正の数・負の数を学習したので,小学校での0と自然数をあわせたものとしての整数ではなく,正の数・負の数としての整数に拡張して奇数,偶数,倍数を扱う方が自然であると考えるからです。ただし,生徒の実態などに応じて,奇数,偶数,倍数を自然数の範囲のみで扱う方がよいケースも考えられるため,状況に応じて扱いを変える必要があるかもしれません。もっとも,最小公倍数については,正の公倍数の範囲で考える必要があります。厳密に定義するなら,「最小公倍数は,自然数の公倍数の中で最小のもの」となりますが,あまりにも細かな表現になると,生徒によってはかえって理解しにくくなるケースもあります。やはり,生徒の特性,理解度に応じた学習指導時の配慮が必要となります。
なお,混乱を避けるために,試験などの問題として出題する際は,負の数まで含めて考えるのかどうかを問題文中できちんと示すのがよいでしょう。
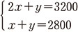
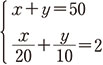
5 連立方程式の指導で,代入法より加減法をさきに扱っている理由
連立方程式の解法が,加減法 → 代入法の順序になっているのはどうしてでしょうか。代入法をさきに指導してはいけないのでしょうか。
A.
連立二元一次方程式の指導順序として,次の2通りの順序,加減法 → 代入法,代入法 → 加減法が考えられます。加減法と代入法は,いずれも,2つの文字のうちの1つを消去することによって既習の一元一次方程式に帰着し,連立二元一次方程式を解くものです。加減法と代入法の違いは,一方の文字を消去する方法の違いで,連立二元一次方程式の指導順序としてはどちらをさきに指導することも可能です。
この教科書では,2章の連立方程式を,加減法 → 代入法という順序で構成しています。
その主な理由は,以下の①から③の3つです。
① 加減法は,イラストなどを提示して,同じものをひいて考えるという小学校での学習を想起させることができ,視覚的に捉えやすい。
② 加減法の手順に従うことによって,中学校で学習する範囲の連立方程式を形式的に解くことができるため,生徒は安心感が得られる。
③ 加減法では,計算過程で代入法のように係数が分数になることが基本的にないため,分数計算に苦手意識をもっている生徒も受け入れやすい。
しかし,加減法をさきに扱うと,その簡単さのため,代入法を学ぶ意義が薄れてしまうという懸念もあります。指導の際には,そうならないよう配慮することが必要となります。
一方,代入法 → 加減法という順序で指導する場合の利点は,以下の
と
の2つです。
1年での式の値,比例と反比例,2年での式の値,等式の変形の学習などで,文字に数を代入することは十分に練習を積んでいるため,代入するという考え方を,生徒は既習の内容にもとづいて理解しやすい。
高校などで学習する二元一次方程式と二元二次方程式の連立方程式は,基本的に代入法でないと解けない。
しかし,代入法をさきに扱う場合,
の形や
の形に式変形しなければならなかったり,その係数が分数になったりするため,生徒はその解き方が難しいと感じる可能性が高くなります。
上述のように,加減法 → 代入法,代入法 → 加減法のいずれの順序で指導したとしても,それぞれの利点と留意点があります。そのため,連立二元一次方程式の指導にあたっては,いずれの順序を採用するにしても,1つの文字を消去して既習の一元一次方程式に帰着して解くという考え方であること,加減法も代入法も必要であること,加減法と代入法を式の形に応じて適宜選択し,どちらの解き方も使えるようにすることなどをていねいに指導していただきたいと思います。
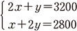
6 連立方程式の解の示し方
連立方程式の解を,
のような表記にされているのはどうしてでしょうか。
A.
連立二元一次方程式の解の表記には,教科書p.42にもあるように,次の①,②,③など複数の書き方があります。
や
の値が明確に表現されているという観点では,解の表記は,①,②,③のどれであっても構いません。
①
②
,
③
この教科書では,順序対を用いた①の解の表記を採用しています。その主な理由は,連立二元一次方程式の解は2つの値の組であることを明確に表せること,2直線の交点の座標と連立方程式の解との関連づけがしやすくなること,一次方程式や二次方程式を含めた方程式の解の表記の仕方を集合の表記にもとづいて統一できることの3つです。
まず,②の解の表記は,3年で学習する二次方程式の解の表記と対比したときに,「カンマ」の意味について生徒の混乱を招く懸念があります。連立二元一次方程式の解の表記「
,
」でのカンマの意味は「かつ」です。一方,二次方程式の解の表記「
,5」でのカンマの意味は「または」です。したがって,②の解の表記を用いるときには,二次方程式の解の表記「
,5」のカンマの意味を連立二元一次方程式の解の表記での「かつ」で捉えたり,連立二元一次方程式の解の表記「
,
」でのカンマの意味を二次方程式の解の表記での「または」で捉えたりしてしまうことが想定されます。そのため,②の解の表記を用いるときには,カンマの意味を生徒が正しく把握しているかどうかについて配慮する必要があります。
次に,この教科書では,3章2節「一次関数と方程式」において,2直線の交点の座標と連立方程式の解が一致することを学習します。このとき,①の解の表記の利点として,「二元一次方程式の解を座標とする点の全体は,その式を一次関数とみたときの直線上の点全体と一致」し,「グラフ上の2直線の交点の座標と,その2直線を表す2つの式からなる連立二元一次方程式の解が一致する」という見方・考え方を生徒がしやすいことがあげられます。
最後に,方程式の解の表記の仕方を,集合の表記にもとづいて統一できることについてです。
連立二元一次方程式
の解は,集合の表記を用いると,
と表せます。同様に,集合の表記を用いると,一次方程式
の解は,
,二次方程式
の解は,
と表せます。このとき,
を略記して
,
を略記して
,
を略記して
,5 と,それぞれ表記すると,方程式の解の表記の仕方を,集合の表記にもとづいて統一することができます。
上述のこれらの理由から,この教科書では連立二元一次方程式の解の表記としては,順序対を用いた①の解の表記を採用しています。
7 連立方程式の解の吟味についての指導
連立方程式の利用問題で,解の吟味は必要なのでしょうか。また必要だとすれば,どの程度の扱いをすればよいのでしょうか。
A.
日常事象の考察に連立方程式をはじめ方程式を用いる際には,解の吟味が不可欠です。方程式を立式する際,理想化や単純化を伴って定式化しています。このようにして立式した方程式は,日常事象を数学的にモデル化したものとなっています。この方程式を解くことによって,方程式の解(数学的な処理の結果)を得ます。この方程式の解を日常事象の問題の答えとするには,方程式の解(数学的な処理の結果)を日常事象に照らして解釈したり,評価したりしなければなりません。この数学的な処理の結果を,具体的な場面に即して解釈・評価することを指して,解の吟味といいます。
例えば,教科書p.54の
では,
の場面で「全体を3時間で完走」を「全体を2時間で完走」としたらどうなるか話しあうことを取り上げています。この場面では,自転車を降りて走る速さや自転車が進む速さは,それぞれ一定であると理想化・単純化し,数学的モデルとして,連立二元一次方程式
を構成します。
この連立方程式を解くと,数学的な処理の結果として
を得ます。
は,連立方程式
の解であることは間違いありません。
と
の値を連立方程式に代入すれば確かめることができます。しかし,この連立方程式の解
を問題の場面に照らして解釈・評価すると,道のりは負の数になることはないことに気づき,「全体を2時間で完走」することはあり得ないという結論に至ります。方程式をつくるときにこのようなことに気づくことは難しく,解の吟味を通して気づくのが現実的ではないでしょうか。
また,解の吟味には,方程式(数学的モデル)そのものが適切であるかどうかを精査す
るという側面もあります。例えば,教科書p.52の
において,おとな1人の入場
料を
円,小学生1人の入場料を
円とし,連立方程式
と立式すべきところを,
と立式してしまった場合を考えてみましょう。連立方程式
を解いて
を得たとします。
を
に代入しても,
の解として
がふさわしいことしかわかりません。
を,おとな1人の入場料を
円,小学生1人の入場料を
円としたことに照らして解釈すると,おとな1人の入場料よりも小学生1人の入場料の方が高いことに気づき,何か不適切なことがあったはずだと考える契機となり,立式の不適切さを見いだすことにつながります。なお,このような解の吟味の前提として,方程式に,数学的な処理の結果として得られた値を代入して,計算(数学的な処理)に誤りがないかどうか調べることも必要ですし,方程式の解という意味を再確認する上でも重要です。
このように,日常事象の考察に連立方程式をはじめ方程式を用いる際には,解の吟味が必要なのです。解の吟味の必要性・重要性に鑑み,この教科書では,方程式の単元の利用問題において,標準解に解の吟味の一文を入れて配慮しています。
ただし,解の吟味をすることと切り離して,形式的に「この解は問題にあっている。」と挿入するよう生徒に求めることは,解の吟味の趣旨にそうものではありません。むしろ,このような一文が書かれていることにより,解の吟味に相当するプロセスを実行していることの方が重要です。関連して,このこの教科書では,方程式以外の単元で方程式を利用する場合には,解の吟味自体を指導する場面ではないため、解の吟味を示す文言を明示していないこともあります。このような場合も,文言を明示していないからといって,解の吟味が不要であるということではありません。
8 図形の面積を考える問題で,面積が0になる場合の扱い
図形の面積などの事象を関数で捉えるとき,面積が0になる点は,その図形が存在しないので,変域に含めないものとして考えるのでしょうか。
A.
想定されているのは,教科書p.91の
で取り上げている,長方形の周上を点が動くときにできる三角形の面積の変化を調べる場面などと思います。この
では,△APD の面積の変化を調べています。このとき,問題文にもとづいて厳密に考えれば,点P が点A あるいは点D と一致するとき,すなわち
=0 あるいは
=10 のときには,三角形はできず,そもそも三角形がないのだから面積は考えることができない,ということになります。つまり,対象となる図形を三角形に限定することで,三角形ができないところは変域に含めないという考え方です。
一方,こうした事態を避ける1つの方法として,△APDとせずに,AP,PD,DAで囲まれる図形とすることが考えられます。すると,点Pが点Aあるいは点Dと一致するときには,線分ADができるから,AP,PD,DAで囲まれる図形の面積は0であるとまとめることができます。つまり,できる図形を限定しないことで,点が動く範囲すべてを変域とするという考え方です。
いずれの考え方も重要であり,どちらでなければならないということはありません。また,いずれの場合でも,
の値を正の数から
=0 に限りなく近づけたとき,あるいは,
の値を10より小さい数から
=10 に限りなく近づけたときには,△APDの面積は限りなく0に近づくという実感を生徒がもてるように指導することが重要です。実際の指導では,上述の留意点をふまえながら,学級の生徒の実態や先生ご自身の考えに従って,どちらの方針で指導するのがよいかご判断ください。
なお,混乱を避けるために,試験などの問題として出題する場合には,点Pが点Aあるいは点Dと一致するときをあらかじめ変域から除いたり,点Pが点Aあるいは点Dと一致するときには三角形はできないものの,線分の面積を0と考えて変域に含めたりすることなどを問題文の中できちんと示すとよいでしょう。
9 錯角の位置
教科書p.99では,右の図の
と
,あるいは,
と
のような位置にある2つの角を錯角と定義していますが,2本の直線の外側にある,
と
や
と
のような2つの角は錯角とはよばないのでしょうか。
A.
2直線
と
に直線
が交わってできる角のうち,この教科書では,
と
,あるいは
と
のような位置にある2つの角を指して錯角とよんでいます。この立場は,学校数学では一般にひろく受け入れられていると考えられます。一方で,
と
,あるいは
と
のような位置にある2つの角を外錯角(alternate exterior angles)と呼び,
と
,あるいは
と
のような位置にある2つの角を内錯角(alternate interior angles)とよぶこともあります。この立場での「内錯角」とよんでいるものが,この教科書で「錯角」とよんでいるものです。
中学校での学習指導を想定した場合,2直線
と
に直線
が交わってできる2つの角の位置関係に着目して,平行線の性質を利用したり,平行線であるか否かを判断したりすることが大切です。「外錯角」については,「対頂角は等しい」ことをもとにすれば,「内錯角」に帰着することができます。こうした「対頂角は等しい」ことを演繹的な推論の根拠として用いる機会を設けることは,中学校での学習指導において大切にしたいことです。しかし,「外錯角」と「内錯角」に加えて「同位角」にも着目するとなると,これらの位置関係を区別することは,生徒にとって負担にもなってしまいます。これらの理由から,2直線
と
に直線
が交わってできる角のうち,この教科書では,
と
,あるいは
と
のような位置にある2つの角を指して錯角とよぶことにしています。
10 凹多角形は多角形に含めるのか
多角形に凹多角形を含めていないのはどうしてでしょうか。
A.
この教科書で,多角形と呼ぶ図形に凹多角形を含めていないのは,理論的整合性を優先させるよりも,理解のしやすい凸多角形を題材に数学的な活動を充実する方が教育的であると考えるためです。もちろん,多角形に凹多角形を含めても数学としては問題ありません。
しかし,多角形に凹多角形を含めると,混乱する生徒が増える懸念があります。例えば,多角形の内角の和や外角の和について生徒が推測したことがらを証明しようとする際,凹多角形の内角や外角はどこを指すのかで混乱したり,凹多角形を三角形に分割する仕方で混乱したりすることが想定できます。もちろん,内角や外角についてより一般的な概念を形成したり,説明の適用範囲をひろげたり,適宜場合分けして正当化したりすることは,数学的な活動として大切にしたいことです。しかし,それ以上にここで優先すべきことは,三角形の内角の和が一定であることなどを根拠に演繹的な推論によって多角形の内角の和の性質を導くなど,生徒が多角形の内角の和や外角の和についての性質を論理的に考え,それを表現できるようになることです。それゆえ,この教科書の必修部分では,生徒がこれらの数学的な活動に従事する際の負担を軽減するために,多角形を凸多角形に限定して取り上げています。なお,必修部分ではありませんが,教科書p.221では,凹多角形の内側の角の和を考える課題を扱っています。生徒の実態に応じて,取り組ませるとよいでしょう。
11 三角形の合同条件は掲載しているもの以外にないか
三角形の合同条件として,どうして教科書では,掲載している3つの合同条件にしぼっているのでしょうか。
A.
辺や角の相等関係によって三角形が合同か否かを判断しようとするとき,教科書に掲載された3つの合同条件にあてはまる場合にだけ,三角形が合同になるわけではありません。右の図1のような辺や角がそれぞれ等しい場合にも,2つの三角形は合同になります。
この教科書で,三角形の合同条件を3つにしぼっている理由は2つあります。
まず,これから三角形の合同に着目しながら図形の性質を整理する際に,三角形の合同条件として使うものをできるだけ少なくしたいからです。
図1の場合,三角形の内角の和が一定であることを推論の根拠にすれば,「1組の辺とその両端の角が,それぞれ等しいとき」に帰着することができます。結果として,生徒の目線に立てば,三角形の合同条件として覚えることをむやみに増やさないですむことにもなります。
もう1つの理由は,三角形の合同条件の前提となる三角形の決定条件に関わることで,図1のような1辺と2つの角によって三角形をかくことが困難であるためです。実際,教科書p.112の
の
で取り上げている三角形(1辺が3cm,その1辺の片端の角の大きさが50°,その1辺の対角の大きさが70°である三角形)と合同な三角形をかこうと思ったとき,与えられた情報のままで70°の角の頂点の位置を決めることは難しいでしょう。この場合には,三角形の内角の和が一定であることをもとに,1辺が3cm,その両端の角の大きさが50°と60°である三角形として,70°の角の頂点の位置を決める方が容易です。
いずれの理由においても,三角形の内角の和が一定であることを推論の根拠としています。三角形の内角の和が一定であることを推論の根拠とすることは,小学校に引き続き,中学校においても大切にしたい内容です。図1のような場合は,三角形の内角の和が一定であることを推論の根拠として用いるよい機会でもあるのです。
12 証明記述の指導
記述式の証明問題では,生徒にどこまで記述することを求めればよいのでしょうか。また,根拠の示し方には,「~から」,「~より」など,さまざまな表現がありますが,どのように書かせるのがよいのでしょうか。
A.
証明は,古来,説得術として発達した経緯もあり,記述することによって読み手に内容を正確に伝えることも主要な目的です。「証しを明らかにする」と書くように,証明は,仮定から演繹的な推論によって結論を導く際に,演繹的な推論の証し(根拠)を明確にすることで,読み手に内容を正確に伝えようとするものともいえます。教科書p.120に証明の筋道が例示されていますが,こうした証明の筋道を書き,文章として的確に記述できるようになることが,最終的な目標といえます。ただし,証明の記述(表現)は,ただ一通りではありません。
仮定から演繹的推論によって結論を導くことや,そうした考えの進め方の過程を表現することは,はじめからスムーズにおこなえるものではありません。生徒は,教師や教科書の表現にならって表現をまねるとともに,そうした表現を通して演繹的に推論する力も伸ばすことになります。そこで,教科書p.125の証明のように,教科書では,それぞれの場面において,生徒が表現をまねする模範となるように表現を吟味しています。また,演繹的な推論を進める際の多様な表現も示したいと考え,「~から」や「~より」などさまざまな表現を用いています。しかし,模範通りの証明の記述を生徒に求めるというものではありません。「~から」や「~より」をどこでどのように用いるのかを固定的に考えるのではなく,ことがらと,そのことがらを演繹的な推論によって導く際の根拠との論理的な関係がわかる記述であり,読み手に誤解なく通じる表現であれば十分です。
なお,証明の記述が冗長であったり,省略しすぎたりしたものとなっていると,読み手はその内容を把握することが難しくなります。簡潔な記述にするため,学級の中で根拠となることがらなどが明白なときには省略することも考えられます。この際には,いつでも省略できるのではなく,同じ学級内という読み手を想定しているために省略することができるということに留意するよう,学習指導するとよいでしょう。
13 証明記述などで,「それぞれ」を使う場合
教科書の表記で,合同の根拠を書く際に,「~が等しいので」,「~がそれぞれ等しいので」と,「それぞれ」を書いている場合と書いていない場合がありますが,どのように使い分けをしているのでしょうか。
A.
この教科書では,合同な図形の性質(教科書p.110)を,「合同な図形では,対応する線分の長さは,それぞれ等しい。」,「合同な図形では,対応する角の大きさは,それぞれ等しい。」のように「それぞれ」をつけてまとめています。これは,対応する線分や角の組が2組以上あることを強調するためです。一方,二等辺三角形の2つの底角は等しい(教科書p.132)ことなどの証明の中では,「合同な図形では,対応する角は等しい」のように「それぞれ」を入れていません。これは,△ABD=△ACDから,
=
という1組の相当関係を導いているためです。もちろん,導くものが1組である場合に「それぞれ」を入れても,論理的な問題はありません。
また,この教科書では,三角形の合同条件(教科書p.112)や直角三角形の合同条件(教科書p.142)の記述では,「それぞれ」を入れて表現しています。合同な図形の性質と同様に,等しい辺や角の組が複数あるためです。これらの合同条件を用いるときには複数の組が等しいことを宣言しなければならないため,証明の中で合同条件を用いるときには「それぞれ」を入れて表現しています。
「それぞれ」を入れるか入れないかについて,この教科書では以上のように考えています。しかし,実際の学習指導においては,「それぞれ」を入れるか入れないかに焦点化するのではなく,柔軟な対応が必要であると思います。中学校の生徒にとっては,図形の性質を,三角形の合同条件や合同な図形の性質を使って導き,その数学的な推論をまずは誤解のないように表現できることが重要です。
14 「定理」と「性質」の違い
教科書のまとめの枠中で「~定理」として取り上げているものには,何か基準があるのでしょうか。また,定理と同様に,その後の証明で根拠となることがらとして使えるものに「~の性質」というものもありますが,定理とはどう違うのでしょうか。
A.
この教科書では,教科書p.134で,定理を「このように,証明されたことがらのうち,基本になるものを定理といいます。」と説明しています。ここでいう「基本になるもの」についての判断は,ある人が基本的なことだと考えていても,別の人はそれを基本的なことだと考えていないこともあります。そこで,この教科書では,一般に,ひろく「定理」として認められていると考えられる「中点連結定理」,「円周角の定理」,「三平方の定理」をまとめの枠の中で定理として示し,それ以外を性質として整理しています。
もちろん,「二等辺三角形の2つの底角は等しい」,「平行四辺形の2組の向かいあう辺は,それぞれ等しい」,「長方形の対角線は,長さが等しい」など,その後の照明などの中で「根拠となることがら」としてよく用いられているものは,証明されたことがらという意味で「定理」と呼ぶことができます。しかし,証明されたことがらすべてを定理とよぶことにすると,練習問題で証明したことがらなども定理とよぶことになり,かえって生徒が混乱してしまったり,生徒が証明の根拠を書く際に,「根拠となることがら」を「〇〇の定理より」ではなく,すべて一括して「定理より」で済ませてしまう可能性もあります。また,実際の指導では,まとめの枠に入っていることがらを取り上げる順番や,どのタイミングでそれらのことがらを証明するのかは,生徒の実際,学習指導計画,実際の学習の展開等に応じて変わってきます。想定されるいろいろなケースに対して柔軟な対応が図れるようにするために,「定理」という表示を入れていません。このような理由から,この教科書では,定理と性質を使い分けています。
15 箱ひげ図の指導について
箱ひげ図の指導では,どのようなことを心がければよいでしょうか。
A.
箱ひげ図は,前学習指導要領では高等学校の数学で扱っていましたが,今回の学習指導要領から,中学校で学ぶことになりました。
7章「箱ひげ図とデータの活用」においては,箱ひげ図のメリットを生徒に伝えながら指導を進めるとよいでしょう。箱ひげ図のメリットの1つは,複数のデータをくらべやすいということです。1年までに学習したヒストグラムや度数分布多角形で複数のデータをくらべようとすると,図が重なり,くらべにくくなってしまいます。これに対し,箱ひげ図は一目で複数のデータを見わたすことができ,比較しやすいというメリットがあります。
また,比較的容易にかくことができるのも箱ひげ図のメリットです。ヒストグラムをつくる際には,データを度数分布表に整理してから,ヒストグラムをつくるという作業手順をふむ必要があります。これに対し,箱ひげ図は,データから5つの値を拾い出すだけで作成できるため,比較的容易につくることができます。
これらのメリットがある一方で,箱ひげ図にはデメリットもあることを生徒に伝えておく必要があります。箱ひげ図は大まかな分布の様子を捉えられるよさがある一方,細かな分布の様子は読み取ることができません。このことから,箱ひげ図を探索的に用いて,詳細についてはヒストグラムなどを組み合わせて調べていくこともあります。
また,箱ひげ図の指導においては,知識・技能の指導に偏ることがないように注意したいところです。学習指導要領では,四分位数を求めたり箱ひげ図をかいたりする知識・技能だけでなく,整理した結果をもとに,判断したり批判的に考察したりする思考力・判断力・表現力を育成することが求められています。日常生活や社会では,目的に応じて必要なデータを収集して分析し,その傾向をふまえて問題を解決したり,意思決定をしたりすることが多くあります。問題解決のために,箱ひげ図などを使い,データを整理していくのです。「箱ひげ図がかけたらそれで終わり」ではなく,箱ひげ図からどんなことが読み取れるかを考え,問題を解決していくことが大切です。
ただ,7章は2年の最終章であり,どうしてもかけ足になってしまうことも予想されます。そのような際には,
にある「statKeirin」などのICTを活用するとよいでしょう。大量のデータ,端数のある数などを扱う場合は,手作業で計算をおこなうと時間がかかってしまいますが,ICTを活用すれば簡単にデータを小さい順に並べかえたり,箱ひげ図をかいたりすることができます。データを整理する際にコンピュータを使って効率化をはかることで,データの傾向を読み取ったり,考察し判断したりすることに重点を置いた指導をすることができます。
限られた時間の中でも,日常生活や社会における事象に関する問題解決を重視し,数学的活動を充実させ,生徒の活動を中心に展開する指導を心がけることが大切です。
1 単位の表記について
速さの単位が「m/秒」 → 「m/s」になっていたり,体積の単位リットルが「l」 → 「L」になっていたりしますが,どうしてでしょうか。
A.
平成21年3月4日に改正された「義務教育諸学校教科用図書検定基準」の変更にともない,この教科書で取り上げる単位の表記については,国際単位系(SI)の規定に従うことになりました。SI単位系では,立体(斜体ではない書体)を使用すること,また,A(アンペア)やK(ケルビン)のような人名に由来する単位を除き,原則として小文字を使用することが定められています。
そのため,文字式に時速の単位をそえる場合には,「km/h」を使用しています。秒速,分速の場合のSIの規定は,それぞれ,「km/s」,「km/min」のようになります。これは,あくまでも数や式に速さの単位をそえる場合には,「km/時」ではなく「km/h」を使用するという表記の基準であり,文章中では,「毎時○kmの速さ」や「時速○km」といった表現も使用しています。
さらに,リットルはSIと併用される単位であるため,この規則に従ってl(エル)と表記すべきですが,小文字のl(エル)は数字の1(いち)とまぎらわしいため,大文字でLと表すことが認められており,この教科書では,リットルをLと表記することにしています。
2 「式の展開と因数分解」と「平方根」の指導順
3年で指導する第1章~第3章は,平方根 → 式の展開と因数分解 → 二次方程式という順序で指導することも可能でしょうか。また,このとき,どのような指導計画を立てればよいでしょうか。
A.
第1章~第3章の流れは,二次方程式の解決を目指したものです。このことに注意さえすれば,「平方根」 → 「式の展開と因数分解」 → 「二次方程式」という順序で指導することは十分可能でしょう。ただし,この場合には解の公式の位置づけが問題になります。
教科書を編集する過程で,「平方根」 → 「式の展開と因数分解」という流れも検討しました。この場合,式の計算の利用の例として,平方根を含む数の計算が扱えるので,応用の範囲がひろがるというメリットはあります。
また,この順序では,生徒たちは3年になってすぐ,平方根という新しい数にふれることになります。このことは,メリットでもあり,同時にデメリットでもあります。平方根は整数や分数と違って,なかなか現実感覚では捉えにくい数ですから,ある生徒にとっては,新鮮な驚きと刺激を与えて,よい効果が期待できます。しかし,難しくてわかりにくいと感じる生徒も,少なくないと考えられます。こうした生徒にとっては,新年度早々出鼻をくじかれたという気持ちになります。
さらに,年度のはじめは,いろいろな行事と重なり,まとまって授業をおこなうことができない上に,新しい内容なので,生徒にとって負担が大きいと考えられます。多項式と単項式の乗法・除法は,2年で学習した多項式と数の乗法・除法と同じように考えて計算することができるので,3年の学習が円滑にスタートできるのではないでしょうか。
そういった問題があるにせよ,実際に「平方根」 → 「式の展開と因数分解」の順序で指導する際には,次のことに注意してください。
教科書p.60の
「
をふくむ式の展開」,
「乗法の公式を使った式の計算」の内容は,式の展開と因数分解の章で扱うことになります。
また,「平方根」 → 「式の展開と因数分解」という順序で指導した場合は,その後に続く二次方程式の解決を,「因数分解による解き方」 → 「平方根の考えを用いた解き方」という順序にすることで,直前に学習したこととのつながりを感じながら学習することができます。
このように,単に教科書の章を入れかえればよいのではなく,さきに指導しておかなければならない内容をどこで扱い,その後の章に影響がないかどうか,十分検討して指導する必要があります。
3 「次の計算をしなさい」という問題文について
教科書p.17以降の展開などの計算問題では,「次の計算をしなさい」という問題文になっていますが,どうしてでしょうか。
A.
教科書p.17以降の展開などの計算問題では,答えを導くまでに,「展開する」「同類項をまとめる」「式の中の共通な部分を1つの文字におきかえる」など,さまざまな要素を含んでいます。以前の教科書では,例えば,教科書3年p.17,
に相当する問題文は,「次の式を展開しなさい」となっていました。ただ,ここでの問いは,「展開する」だけでなく,「同類項をまとめる」という要素も含んでいます。そのため,「展開しなさい」という問題文では,それらの要素の一部しか示していないことになり,「同類項をまとめなくてよいのか?」という疑問が生じることも考えられます。
以前の問題文であれば,例えば,
(1)の解答は,式の展開のみをおこなった「
」としてもよいことになりますが,実際には,同類項をまとめた解答でないと×になるケースが多いではないかと思います。
「計算をしなさい」という問題文にすることで,つねに複数の要素を念頭に置いて考えて欲しいと願っています。
また,以前の教科書では,例えば,p.21
に相当する問題文は「次の式を簡単にしなさい」となっていましたが,「簡単にする」ということを定義していませんので,具体的に何をすればよいのか,疑問が生じることがありました。ここでは,上で述べたような要素を使って計算することになりますので,「計算をしなさい」という問題文にすることで,そのような疑問を避けることができるのではないかと考えています。
4 因数分解の公式の指導順
因数分解の公式を,乗法の公式と同じ順序

にしていないのはどうしてでしょうか。
A.
この順序は,乗法の公式を指導する順序と同じですから,乗法の公式を逆にみると因数分解の公式になるという見方ができ,一見指導の流れがスムーズに感じられます。
しかし,この考え方は,すでに因数分解を知っている人のもので,はじめて因数分解を学ぶ生徒にとっては難しいのではないでしょうか。なんといっても,因数分解の公式

は,とても難しいものです。たして13,かけて40となる数
=5,
=8 を見つけることは,技術的にも,考え方の上でも生徒の負担は少なくないでしょう。
しかも,この公式は,二次方程式を解くときの要となります。したがって,生徒には,この公式をしっかりと身につけることが求められています。
そこで,この教科書では,因数分解の指導を,

の順に指導するようにしています。
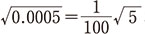
5
のついた数の意味理解
や
など,根号のついた数を具体的な数と捉えずに,形式的な記号だと捉えてしまう生徒がいますが,どのように指導すればよいでしょうか。
A.
確かに,根号を含む式の計算を学習する際には,文字式との類似性が強調されて,根号のついた数が形式的な記号として扱われる場面が多くなります。それによって,質問にあるような生徒が現れることは,当然予想されることです。さらに,次の「二次方程式」の章で平方根が利用されるときも,平方根を考えることを,単に根号をつけるという形式的な操作と思いこむ生徒もいます。
そこで,この教科書では,平方根を量として扱うことを大切にしています。教科書p.40~41の活動で正方形の1辺の長さとして現れることを意識づけ,教科書p.43でそれを数直線にうつすことにより,平方根が数直線上の数であることを確認します。また,教科書p.46では,そのおよその値を小数を用いて表現し,平方根の数としての存在を意識させるように配慮しています。
さらに,教科書p.57で平方根を近似値で置き換え,根号を含む式全体が1つの数値になるという体験をすることも,数としての平方根の存在を意識させることになります。
「三平方の定理」の章になると,平方根と図形の軽量の関係が強調され,根号を含む式を形式的に捉えるだけでなく,その値が意識されてくるようになります。その値をいつも小数点以下まで詳しく知る必要はありませんが,整数と比較して,およそいくらぐらいかと見当をつける習慣を身につけるように指導するとよいでしょう。
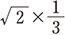
6 
という表記
答案の中で,
×
を
と表記した生徒がいたのですが,これは正解としてもよいのでしょうか。
A.
高等学校の教科書では,
×
を
と表記している教科書もありますので,間違いではありません。ただし,
と混同しないように注意が必要です。
高等学校で,根号の中に文字を含んだ式の計算を処理する場合には,簡潔に表すことができるので,
と表記することがあります。中学校の学習では,二次方程式や三平方の定理を活用する場面で必要な程度の,正の数の平方根を含む簡単な式の計算ができることをねらいとしています。根号の中に文字を含む場合は,
のように計算方法を一般化して表記するときや,二次方程式の解の公式を導く手順の説明などのように限られた場合です。平方根という数をはじめて学習する単元であるため,生徒が
や
を具体的な数として理解し,
×
を2つの数の積として捉えやすいように,この教科書では演算記号「×」を用いて表記しています。
7
という表記
教科書では,分子に根号を含む数は,例えば
のように表記されていますが,これを
と書いてもよいのでしょうか。
A.
を
と考えて,
と表記する生徒もいると思います。
や,
などと表記する場合もあるので,
もけっして間違いではありません。
ただし,
と表記した場合は
の意味合いが強くなるので,
のように根号を含む式を具体的な1つの数として捉えることが難しくなる生徒もいると思われます。生徒が平方根の数としての存在を意識しやすいよう,この教科書では
のように表記することにしています。
8 因数分解による解き方の指導時期
二次方程式の解法の順序で,因数分解による解き方をさきに指導して,平方根の意味にもとづいて解く方法を後で指導しようと思うのですが,問題点などがあれば教えてください。
A.
二次方程式の解法の指導順序としては,次の2通りの方法が考えられます。
① 一般的な解法である解の公式につながる平方根の考えによって解く方法をさきに指導し,次に別の解法として因数分解を使って解く方法を扱う方法
② 因数分解を使って解く方法をさきに指導し,因数分解できない場面に直面させ,一般的な解法である解の公式につながる平方根の考えによって解く方法を扱う方法
この教科書では,3年の数式単元を「式の展開と因数分解」→「平方根」→「二次方程式」という順序で扱っています。そこで,前章とのつながりを考え,①の方法で指導する方が生徒には抵抗がないものと思われます。また,平方根の考えによる解き方を先に学ぶことで,二次方程式には一般に解が2つあることも自然に受け入れられるのではないかと思います。
さて,②の方法で指導する場合ですが,前章とのつながりに配慮すると,3年の数式単元を「平方根」→「式の展開と因数分解」→「二次方程式」の順序で扱うと流れはスムーズになるでしょう。
内容で注意すべき点は,因数分解による解法のもとになる「
=0 ならば
=0 または
=0」という内容の理解が,生徒にとって困難であるにもかかわらず,二次方程式の最初に扱わなければならないことや,二次方程式を解くために多項式を一次式の積に分解することはかなり難しい考え方であるということに配慮して,ていねいな指導が必要であるということです。
また,因数分解による解法から指導する場合は,平方根の意味にもとづく解き方に必要性を感じられることが大切です。因数分解による解法では解けない二次方程式を与えるなど,すべての二次方程式が因数分解による解法で解けるわけではないことを実感できるようにするとよいでしょう。さらに,因数分解を利用して解く方法に重点がおかれた指導になれば,平方根の意味にもとづけばすぐに解ける二次方程式,例えば,
を解くためにわざわざ左辺を展開して式を整理し,因数分解を利用して解こうとする生徒が現れるかもしれません。どちらの解法でも解ける二次方程式を与え,どちらの解法で解くか選択させたり話しあいをしたりするなど,それぞれの解法のよさを考えられるよう促すことも大切です。
9 解の吟味の指導
二次方程式の利用では,解が問題にあてはまらない場合が出てきて,解の吟味についてのていねいな指導が必要になると思います。その際,1年の方程式からの指導も含めて,注意しなければならないことを教えてください。
A.
方程式を使って問題を解く手順は,次のようになります。
① 問題の中の数量に着目して,数量の関係を見つける。
② まだわかっていない数量のうち,適当なものを文字で表し,方程式をつくって解く。
③ 方程式の解が,問題にあっているかどうかを調べて,答えを書く。
1,2年の方程式の利用題では,方程式の解がそのまま問題の答えとなる場合が多く,どうしても,形式的に解の吟味をしがちです。
ところが,二次方程式の利用では,方程式の解のうち,問題の答えとしてあわないものも多く扱っています。教科書の二次方程式の利用にある問題のうち3題は,方程式の解のうち1つが問題の答えとしてあわないものを扱っています。このような例を意識的に取り上げ,解の吟味の必要性を感じられるようにしたいものです。
特に,教科書p.85の
のように,
と解に根号を含む数がある場合,それが問題にあっているかを判断をするのが難しくなります。そこで,解答の横のふわりんの吹き出しにより,この例題の解の吟味にスムーズに取り組めるようにしています。
さらに,電卓を使って,およその値を求めて確かめることで,解を吟味するばかりでなく,問題の答えを
から約9.2cm と量として実感のあるものにすることができます。方程式を利用して問題を解くとき,ともすれば,方程式をつくることや方程式を解くことに重点が置かれがちになりますが,解の吟味までが問題を解くことであることをしっかりとおさえて指導していきたいものです。
また,解の吟味を検算ととらえ,計算ミスをしているかどうか,もとの方程式に代入して確かめることと思っている生徒もいます。このような生徒には,二次方程式は一般に解が2つあるので,どちらが答えになるのか問題に戻って考える必要性を感じられる,また,方程式の解としてはあっていても,利用題の答えとはならない場合があることを理解できるよい機会です。方程式を使って問題を解くときは,つねに,選んだ
がどのような条件にあてはまる数量であるかを把握することが大切です。二次方程式の利用題に取り組む際には,
の値が取り得る範囲を確認するよう,毎回生徒に意識させるとよいでしょう。
10 図形の面積を考える問題で,面積が0になる場合の扱い
図形の面積などの事象を関数で捉えるとき,面積が0になる点は,その図形が存在しないので,変域に含めないものとして考えるのでしょうか。
A.
想定されているのは,教科書p.115の
で取り上げている,2つの直角二等辺三角形が重なった部分の面積の変化を調べる場面などではないかと思います。ここでは,重なった部分の面積の変化を調べています。このとき,重なった部分にできる三角形の面積を対象とすると,点Rが点Bと一致するとき,すなわち
=0のときには,三角形はできず,そもそも三角形がないのだから面積は考えることができない,ということになります。つまり,対象となる図形を三角形に限定することで,三角形ができないところは変域に含めないという考え方です。
一方,こうした事態を避ける1つの方法として,この問題のように,考える対象を三角形に限定せずに,「重なってできる部分」とすることが考えられます。すると,点Rが点Bと一致するときには,点B(点R)ができるから,重なってできる部分の面積は0であるとまとめることができます。つまり,できる図形を限定しないことで,点が動く範囲すべてを変域とするという考え方です。
いずれの考え方も重要であり,どちらでなければならないということはありません。また,いずれの場合でも,
の値を正の数から
=0 に限りなく近づけたときには,重なってできる部分の面積は限りなく0に近づくという実感を生徒がもてるように指導することが重要です。実際の指導では,上述の留意点をふまえながら,学級の生徒の実態や先生ご自身の考えに従って,どちらの方針で指導するのがよいかご判断ください。
なお,混乱を避けるために,試験などの問題として出題する場合には,点Rが点Bと一致するときを,あらかじめ変域から除いたり,点Rが点Bと一致するときには三角形はできないものの,点の面積を0と考えて変域に含めたりすることなどを問題文の中できちんと示すとよいでしょう。
11 放物線と直線が交わる問題の扱い
3年の関数指導は,教科書では,表に表す,式に表す,グラフをかくことが主になりますが,高等学校の入試問題などでは,一次関数のグラフと関数
のグラフが交わっている状態について考察するような難しい問題が出ることもあります。このギャップはどのように考えればよいでしょうか。
A.
関数指導のねらいは,本来,2つの数量間の変化や対応のようすをとらえ,その特徴を調べる能力を育てるとともに,関数的な見方や考え方を身につけることです。その手だてとして,表,式,グラフがあるのであって,表や式,グラフがかければそれでよいというわけではありません。あくまでそれらは一手段に過ぎないのです。これから先,いろいろな関数を学ぶときに,同じように表,式,グラフを関連づけて表現したり,特徴を調べたりすることで,関数的な見方や考え方をいっそう伸ばしていきます。後の学習につながる力が身につくように関数の指導をしていくことが大切です。
確かに,高等学校の入試問題の中には,解析幾何学的な問題も見られます。もちろんこれらの出題意図を否定するわけではありませんが,中学校の内容をこえて,高校で学ぶ内容が多く含まれているように感じられる場合もあります。中学校で学んだことが理解できているかを見ようとすることが,高等学校の入試問題ですので,その趣旨を十分に理解して指導にあたるべきでしょう。
この教科書では,この種の問題を教科書p.121の章末問題
で扱っており,これは,中学校の範囲で解くことができるものです。これに対し,一次関数と関数
の式から二次方程式をつくって交点を求める課題として,教科書p.249の
「グラフの交点の座標」があります。これは,発展課題,つまり,学習指導要領の範囲外の内容になりますので,生徒の実態にあわせて取り上げてください。
12 「図形と相似」と「円の性質」の順序
「円の性質」を「図形と相似」の後で扱っていますが,逆の順序で扱うことはできるのでしょうか。
A.
円周角の定理の証明では,二等辺三角形の底角の性質と,三角形の内角・外角の性質を根拠として使います。したがって,これらの性質を学んだ後であれば,この定理は扱うことができます。
この教科書では,直線で囲まれている図形の性質を,2年で合同にもとづいて証明したのに引き続き,3年で相似を通して証明します。その後,曲線で囲まれている円やおうぎ形などの図形の性質を証明するという展開にしました。こうすることで,図形の関係を捉える概念を拡張したり発展したりしながら,また,対象となる図形そのものも豊かにしながら,生徒が既習の学習内容にもとづいて図形の性質を調べることができるように配慮しています。
また,円周角の定理の証明では,場合分けを扱うことになります。円周角の定理の証明については,「証明できることを知ること」が目標であり,すべての場合をつくすことの意義や,証明における場合分けの必要性の理解までは求められてはいませんが,3年の図形の学習で最初に扱う証明としては,生徒にとってハードルが高いと思われます。それに対して,相似な図形の性質や三角形の性質や三角形の相似条件などは,既習事項である三角形の合同の学習内容と関連させて考察さることができるので,図形の学習の最初の単元にふさわしいと考えました。
これらの理由から,この教科書では,「円の性質」を「図形と相似」の後で扱っています。
「円の性質」を「図形と相似」の前に学習する場合は,2節「円の性質の利用」で三角形の相似条件を扱うため,
や章末問題などの一部の内容を「図形と相似」の学習の後に扱わなければならないので注意が必要です。
13 相似の導入
相似の導入のしかたはいろいろあると思いますが,どのような考えでこの教科書の展開にされたのでしょうか。
A.
この「相似」の章の導入のしかたは,学習指導要領がどうなっているかによって,いろいろ変化してきた部分です。
「相似」を,「合同」に続く形で,2年で学習していた時代もありました。小学校で,拡大図や縮図が削除されていたときもありました。また,相似な図形の面積の比や体積の比の学習が高等学校で扱われたときもありました。
このように,「相似」の指導学年がいつか,小学校でどの程度学習しているか,「相似」の内容としてどこまで指導するか,などに関連させて,この章の導入を考えなければなりません。
まず,いちばん大きな問題は,定義をどのようにするか,という点ですが,2つの図形について,次の3つのものが相似の定義としてあげられます。
① 一方の図形を拡大または縮小したとき,他方の図形と合同になる。
② 対応する線分の比がすべて等しく,対応する角がそれぞれ等しい。
③ 適当に移動して,相似の位置に置くことができる。
②のように,「対応する線分の比がすべて等しく,対応する角の大きさがそれぞれ等しい」図形を相似である,と定義して,すぐに,三角形の相似条件につなげていく方法が考えられます。この定義のしかたは,論証の根拠として演繹的な推論を進めていくことがしやすく,また2年で,「合同」に続く形で「相似」を学習するには適した方法と考えられます。しかし,曲線図形や複雑な図形になると判定が困難であることや,分析的すぎることが難点であり,「形が同じ」という本来の「相似」の概念とは遠いもので定義することになってしまうというデメリットがあります。
これに対して,③のように,1点を中心として図形を拡大または縮小する操作を通して,「適当に移動して,相似の位置に置くことができる図形」と,定義する方法も考えられます。しかし,この方法では,「平行線と線分の比」の学習との区別がしにくく,例えば,教科書p.139の
における2つの三角形が相似であることの証明と「相似」の定義との関係などで,論理が循環しないよう注意が必要です。また,「相似」の定義に「相似の位置」という概念を使うことなどから,混乱のもととなることも考えられます。
したがって,教科書では,①の考え方で,次のように定義しています。
「2つの図形があって,一方の図形を拡大または縮小したものと,他方の図形が合同であるとき,この2つの図形は相似であるといいます。」
この「拡大,縮小」については,小学校でも拡大図や縮図をかいていることや,実生活の中でも,コピー機や写真の引き伸ばしなどで一般的に使われることばでもあることから,直感的に捉えやすいと思われます。
また,この導入のしかたでは,拡大図や縮図をかくことを通して導入できるので,大きさは違っても形は同じという相似の概念を,操作活動を伴って認識できます。
14 「相似の位置」,「相似の中心」は指導しなくてもよいのでしょうか?
教科書には,「相似の位置」や「相似の中心」についての記述がありませんが,指導しなくてもよいのでしょうか。
A.
「相似」は,「合同」と違って,直観的には認識しにくい図形の関係です。そこで,導入の際には,2つの三角形を必ず並べて置く(相似の位置に置く)ようにしています。教科書p.126の
では,あえて2つの三角形を異なる向きに置く(相似の位置ではない位置に置く)ことにより,「相似」の関係について生徒の理解を深めることをねらいとしていますが,この問題で対応する辺を誤って捉えてしまう生徒には,対応がわかりやすいように並べて置きなおすよう支援することが必要です。このように,2つの図形を並べて置くことは,相似な図形の学習を進める上で必要なことです。
しかし,このように2つの図形を置くことと,その用語を定義することとは違います。この教科書では,相似の位置に置くことができることを相似の定義とはしていません。また,「相似の位置」や「相似の中心」という用語は,中学校の学習のほかの場面で扱われることはあまりありません。授業では,「並べてかきなさい」とか,「1つの点を中心として,拡大図をかきなさい」などのことばで十分わかるので,ここでは,あえて,「相似の位置」や「相似の中心」などを,用語として定義する必要はないと考えました。なお,これらの用語を授業で取り上げたい場合は,教科書p.141~142で,1つの点を中心として拡大図や縮図をかくことを扱っているので,そこで,この用語について簡単にふれておくのもよいでしょう。
15 円周角の定理の逆のまとめ方
円周角の定理の逆として2種類まとめられているのはどうしてでしょうか。
A. 2年で,命題の仮定と結論を入れかえたものが「逆」であると学習しました。そこで,生徒が命題の逆であることを捉えやすいように,教科書p.166の「円周角の定理のまとめ」の命題の逆といえる表現を,教科書p.170「円周角の定理の逆のまとめ」でおこない,順と逆の関係がわかりやすくなるようにしました。一方,実際に「円周角の定理の逆」を利用するのは,4点が同一円周上にあるかどうかを判断する場面が多いことから,改めて教科書p.171の8行目以降のようにまとめ,これら2つの内容を記載することで,生徒が理解を深められるようにしています。
16 三平方の定理の導入方法
三平方の定理を面積から導くことが,導入部分でていねいに扱われています。しかし,定理自体は辺の長さの関係を表しています。面積から意味を考えることは必要でしょうか。
A.
確かに,三平方の定理は直角三角形の3辺の長さの関係を表したもので,それを
という式で理解することは大切なことです。しかし,三平方の定理は辺の長さの関係を表すと同時に,直角三角形のそれぞれの辺を1辺とする3つの正方形の面積の間に,一定の関係があるということも表しています。
面積の間に成り立つ関係を,直角三角形の3辺の長さの間に成り立つ関係として捉えなおすことで,図形の見方はひろがります。このように,三平方の定理は,図形と数式を統合的に見ることができるよい教材であるともいえます。
さらに,面積の関係は,正方形に限らず,ほかの図形ではどうなるのかと考えて発展させることもできます。例えば,直角三角形の3辺の上に,それぞれを1辺とする正三角形をかいたり,直角三角形の3辺の上に,それぞれを直径とする半円をかいたりして,その面積の間に成り立つ関係について考察することで,図形の見方や考え方を深めることができます。
17 三平方の定理の証明方法
三平方の定理には,いろいろな証明がありますが,どこまで指導する必要があるのでしょうか。
A.
数学の問題や定理には,多様な解き方,多様な証明法があり,そのことを生徒が理解できるようにすることは大切です。
三平方の定理については,いろいろな証明法が知られていますが,それらの中には,中学生にとっては技巧的で,自力で証明するには難しい方法もあります。学習指導要領では,「三平方の定理が証明できることを知ること」とあり,生徒が自ら証明できることまでは求めていません。したがって,生徒の興味・関心に応じて取り扱うのがよいでしょう。教科書p.185では,面積の関係から導く代表的な証明を示しています。それ以外の証明については,教科書p.264~265の「三平方の定理の証明」で取り上げています。
また,インターネット上でもさまざまな証明法が紹介されているので,生徒の興味・関心に応じて,ほかの証明法を紹介したり,生徒自らに調べさせたりするとよいでしょう。
18 三平方の定理の逆の証明について
三平方の定理の逆の証明は,なかなか生徒が理解できません。どの程度扱えばよいのでしょうか。
A.
三角形の3辺の長さがわかっていれば,三平方の定理の逆を活用することで,実際に三角形をかかなくても直角三角形かどうかを判断することができます。角の大きさを調べなくても直角三角形だと判断できることに,驚きを感じる生徒もいることでしょう。
三平方の定理の逆の指導では,「直角三角形になるかどうかは3辺の長さの関係によって決定されている3という事実に着目できるようにすることが大切です。このように,図形の見方がひろがることからも,三平方の定理の逆の指導は必要だといえます。
三平方の定理の逆の証明については,それ自体を習熟させるものではなく,数学的な証明に深入りする必要はありません。教科書p.187では,3辺の長さが
,
,
で,その間に,
の関係が成り立っている三角形が直角三角形であることの証明として,それとは別の条件で定めた直角三角形と合同であることを示す同一法という間接証明法を用いています。生徒にはなじみのない証明法ですが,直接証明法ではない証明法があることを知る機会として,証明の全体の流れを理解できる程度に扱うとよいでしょう。
19 直角三角形の3辺の長さの割合
直角三角形の3辺の長さの割合が,三角定規の3辺の割合になっているものや,ピタゴラスの数になっているものがあります。これらの割合は,どの程度まで生徒が覚える必要がありますか。また,3:4:5のような比の表し方をしてはいけないのでしょうか。
A.
三角定規の3辺の長さの割合“1,1,
”,“1,2,
”や,ピタゴラスの数“3,4,5”などを3辺の比とする三角形は,問題を解く際や,三平方の定理を利用する際に数多く見られます。
生徒は,これらの割合を何度か目にするうちに自然に覚えてしまい,三平方の定理を使って計算しなくても辺の長さを求めることができるようになる場合もあるでしょう。
教科書p.192の
のように,三角定規の3辺の長さの割合を適用させる問題もあるので,これらの割合は,教科書の本文で扱っています。
これらの割合は,もし忘れてしまっても,正三角形や正方形に三平方の定理を適用することで,求めることができます。数値だけを覚えるのではなく,三平方の定理を活用した求め方を理解するように指導するとよいでしょう。また,数値だけを覚えてしまっていると,辺との対応を誤るおそれもあるので,注意するように指導しなければなりません。
ピタゴラスの数“3,4,5”などについては,生徒の実態にあわせて,次のような課題に取り組むのもよいでしょう。
となる3つの自然数(
,
,
)の組を,ピタゴラスの数といいます。
ピタゴラスの数(
,
,
) は,
,
を自然数とし,
>
とするとき,次の式を使ってつくることができます。

この式を利用して,ピタゴラスの数をつくってみましょう。
上記の公式は,ユークリッドおよび,ディオファントスによって発見されたといわれています。ピタゴラスの数については,多くの数学者がその公式をつくっており,そのような話をしたり,数を求めたりすることにより,三平方の定理が多くの人々の興味をひく魅力的な定理であることを,生徒が実感できる機会にもできます。
最後に,3,4,5のような連比の表し方ですが,これは小学校や中学校の教科書では扱っていません。そこで,教科書では,「3辺の長さの割合」というような表現をとっていますが,生徒の実態にあわせて指導されてもよいでしょう。
20 標本調査とデータの活用の指導
標本調査とデータの活用は,3年の最終章であり,どうしてもかけ足になってしまいます。どのような指導を心がければよいのでしょうか。
A.
現代の情報化社会においては,確定的な答えを導くことが困難なことがらについても,目的に応じてデータを収集して処理し,その傾向を読み取って判断することが求められます。「データの活用」の領域では,基本的なデータの整理や活用の方法を理解し,これを用いて傾向を捉え説明することを通して,統計的・確率的な見方や考え方を培うことを主なねらいとしています。
確かに,「標本調査とデータの活用」は3年の最終章であるため,さまざまな学校事情により十分な指導時間がとれない場合もあるかもしれません。だからといって,標本調査の方法のみを知識として与えるのでは,この領域のねらいを十分に達成したとはいいがたいでしょう。
「標本調査とデータの活用」の指導にあたっては,標本の抽出方法,母集団の性質の推定のしかたについての知識を獲得した上で,実験や調査等の活動を通して実際に標本調査を体験し,実感を伴ってその意味や必要性などを理解させることが大切です。その際,日常生活や社会においては,さまざまな理由から収集できるデータが全体の一部分に過ぎない場合が少なくないことを理解し,全数調査と比較するなどして,標本調査の必要性と意味の理解を深めることが必要です。
また,中学校数学科における確率や統計の内容の指導が,データの「整理」に重きをおく傾向があったことを見なおし,整理した結果を用いて考えたり判断したりすることの指導をますます重視しなければなりません。したがって,標本調査を通して母集団の傾向を把握し,説明したデータの内容について話しあったり,その確かさについて議論したりする活動を充実させることも大切です。
限られた時間の中でも,日常生活や社会における事象に関する問題解決を重視し,数学的活動を充実させ,生徒の活動を中心に展開される指導を心がけることが大切です。