中学校の教科書・教材|知が啓く。教科書の啓林館
数学

平方根の計算の方法を見いだす活動の充実

南伊勢町立南勢中学校 林 大輔

1.はじめに

平方根の単元の学習の際に,根号を含む式の加法・減法の計算については,「の部分が同じであれば計算できること」や 「の中を簡単にしてから計算すること」や「分母の有理化をしてから計算すること」を,教師から教え込んではいなかっただろうか。「数と式」領域の,特に計算場面では,教師が一方的に計算方法を伝えていく展開が多いように感じられる。「中学校学習指導要領(平成29年告示)解説 数学編 第3章 第3節 第3学年の目標及び内容」には,「既習の数や文字式の計算の方法と関連付けて,平方根を含む式の計算の方法を見いだしたり,数の平方根を具体的な場面で活用したりできるようにする。」と明記されている。

ここでは,の部分が同じであったり,異なったりするときに,根号を含む式の加法・減法の計算の方法を,既習事項である「文字式の性質」や「のついた数の変形」の考えをもとにして,計算方法を見いだす授業を実践した。

2.授業実践

(1)単元観

本実践は第2章「平方根」の2節「根号を含む式の計算」の第6時(全7時間)に該当する。生徒は前時までに,根号を含む式の乗法と除法及び簡単な式の和と差の計算について学習している。前時までの学習の流れは以下の表のとおりである。

【2節の学習内容】

学習のねらい(〇)と主な学習活動(・)
  • のついた数の積や商の表し方がわかる。
  • 長方形の面積を求めるために,無理数の乗法を考え,この積がどうなるのか見いだす。
  • の形にすることができる。
  • の中を簡単な数にすることができる。
  • の形を,の形に変形する方法を見いだす。
  • の形を,の形に変形する方法を見いだす。
  • 〇分母を有理化することができる。
  • 分母が無理数の分数には,分母が有理数でそれに等しい分数があることを見いだす。
  • を含む式や数の近似値を,工夫して求めることができる。
  • 1つの平方根の近似値がわかっているときの,他の平方根の近似値をどのように求めるか見いだす。
  • 〇ルートを含む簡単な式の和と差を計算することができる。
  • のついた数どうしの和は,積と同じようにはできないことを確認する。
  • のような根号を含む式の計算の方法を見いだす。

また,この「平方根」に至るまでに関連する内容系統が非常に重要である。「平方根」についての学びを進め,深めていくためには,既習内容の中核的概念である「数学的な見方・考え方」,特に「見方」を働かせることが必須だからである。関連する内容系統及び数学的な見方は以下の表のとおりである。

学年 内容 数学的な見方
小3 大きい数のひっ算 10や100のいくつ分と見る
小4 小数のしくみ
計算のきまり
0,1のいくつ分と見る。
()をつかってひとまとまりと見る
小5 分数のたし算とひき算 単位分数で見る,何個分と見る
小6 文字を用いた式
分数・小数・整数の混合計算
文字にいろいろな数をあてはまられることに着目する
分数を小数と見る,単位分数の何個分と見る
中1 正の数・負の数
文字の式
符号や絶対値に着目する
式を操作の方法だけでなく操作の結果と見る
文字は数の代わりと見る

(2)本時のねらい

既習の数や文字式の計算の方法と関連付けて,平方根を含む式の加法や減法の方法を見いだす。

(3)本時の学習過程

過程 学習活動 教師の働きかけと予想される生徒の反応 留意点
導入
  • いろんな数や文字の加法のしかたを確認する。
小数のたし算
分母が同じ分数のたし算
分母が異なる分数のたし算
文字の加法(同じ文字)
文字の加法(3つの項)

T1:次のいろいろな数や文字のたし算の計算をしましょう。

S1:小数点をそろえたら計算できます。

S2:分母をそろえたら計算できます。

S3:同じ文字同士なら同類項の計算ができます。

T2:異なる文字だったら計算できないのはどうしてですか?

S4:同類項しか計算できないからです。

S5:項の種類が違うからです。

S6:文字の項と定数項も計算できないからです。

フラッシュ教材を使い,テンポよく進める。
展開

学習課題
根号を使った2つの数をまとめることができるのは,どんなときだろうか。
まとめることができないのは,どんなときだろうか。

生徒の定着の状況に合わせて,そのまま問題を提示するか,1~2個例として示すか,判断する。
  • 根号を使ったいろんな数のたし算ができるか判断する。

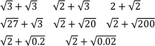
T3:次の10個の式を,「まとめることができる」・「まとめることができない」に分けてみましょう。

S7: はまとめることができて, になるね。

T4:そのように計算できるのはどうしてでしたか?

S8: とできるからです。

S9: を文字の式と同じように考えることができるからです。

T5: 1つ分と 1つ分を合わせて, 2つ分になるということですね。

S10: は,の中の数が異なるから,文字の式と同じように考えて, のようにこれ以上まとめることはできません。

  • 既習の内容・概念から,平方根を含む式の加法や減法の方法を見いだす。

T6:では,これ以外の式も,「まとめることができる・できない」に分けて,どうしてまとめることができるのか・できないのかを考えましょう。

S11: もこれ以上まとめることができないよね。

S12: もこのままではこれ以上まとめることができないけど,は変形できるね。

S13: も, を変形してまとめることができるんじゃないかな。

S14:え,本当かな。 は変形して√の中を簡単にすると, になるよ。

S15:そうか,それだとの中が異なる数だからまとめることはできないね。

S16:他の計算はどうかな。・・・

ただ単に分けるだけでなく,まとめることができるならその方法を明らかにしたい。まとめることができないならその理由を明らかにしたい。
終末
  • 平方根を含む式の加法や減法の方法をまとめる。

T7:根号を使った2つの数をまとめることができるのはどんなときか,ノートにまとめよう。

これまでに学習した「の中を簡単にすること」や「分母の有理化」をもとにしての中を同じにすると,文字の式と同じように,平方根を含む式の加法や減法も計算することができる。
なるべく生徒の言葉をつかって,まとめていきたい。本単元の既習事項だけでなく,「文字式の性質」や「○○の1つ分」のような前学年までの概念についてもできるかぎり価値付ける。

(4)授業の板書

(5)生徒のふりかえり(抜粋)

3.おわりに

(1)成果

生徒のふりかえりの記述から,既習の数や文字式の計算の方法と関連付けて,平方根を含む式の加法の計算の方法を見いだしていることが分かる。今回は,複数の平方根を含む式を「計算(まとめることが)できる・できない」で分けるという課題をまず提示した。そうすることで,生徒からどうすれば計算できるのかという問いが自然と湧き出ており,ねらいにせまる手立てとして有効であったように思われる。

(2)課題

一つ一つの式について,どのように計算するのかを全体で交流する時間の確保が難しかった。しかし,それぞれの式の中で,どのように既習概念の「数学的な見方」を働かせているのかを顕在化させることが重要だと考える。「文字は数の代わり」と見ているのか,「○○の1つ分」と見ているのか,を明確にし,概念としてより強固で流用可能なものにしていきたい。そのためには学習用端末などを活用し,計算方法を即時に共有し,概念の可視化を図っていくことが必要であろう。

【参考・引用文献】

文部科学省(2017).『中学校学習指導要領(平成29年告示)解説 数学編』
啓林館『算数・数学内容系統一覧表』https://www.shinko-keirin.co.jp/keirinkan/chu/math/support/