中学校の教科書・教材|知が啓く。教科書の啓林館
数学

動的数学ソフトウェア(GeoGebra)を活用したグラフ指導

新潟市立鳥屋野中学校 長部 賢

1.はじめに

「中学校学習指導要領(平成29年告示)解説 数学編」では,「コンピュータ,情報通信ネットワークなどの情報手段の活用」について,次のように明記されている。

(2)各領域の指導に当たっては,必要に応じ,そろばんや電卓,コンピュータ,情報通信ネットワークなどの情報手段を適切に活用し,学習の効果を高めること。

その中の「②教具としての活用」では,一次関数のグラフの学習における活用例が挙げられている。今回は第1学年「変化と対応」,第3学年「関数y=ax^2」において,比例定数の値とグラフの特徴を考察する際に,ICT(GeoGebra)を活用する。ICTを活用し,比例定数の値が様々なグラフを瞬時にかくことで,グラフの特徴に関する予想⇒確認がスムーズに行えることをねらいとした。以下はその展開例である。

2.展開例1

(1)第1学年 変化と対応

(2)本時のねらい

反比例のグラフについて,ICT機器を用いて比例定数を変化させたグラフをかいたり,提示されたグラフと式の関係を考察したりする活動を通して,比例定数の値と反比例のグラフの特徴の関係を理解する。

(3)本時の展開

  学習活動 教師の働き掛けと予想される児童生徒の反応 ■評価規準(観点/方法) ○留意点
導入
  1. 1. 比例定数の値とグラフの特徴に関係があることを見いだす。

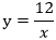
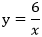
T:次の2つのグラフを提示する。

(1)y=6/x

(2)y=12/x

 

T:共通点,違う点を挙げさせる。

S:【共通点】

  • 双曲線である。
  • 原点を通らない。
  • 右上と左下にグラフがある。
  • x軸とy軸には交わらない。

【違う点】

  • y=6/xの方がx軸やy軸に近い。
  • y=12/xの方がx軸やy軸と離れている。

T:式の違いに着目させる。

S:比例定数が違う。

○比例定数の違いを意識させる。

展開
  1. 2. 様々なグラフをかき,比例定数とグラフの関係について考察する。

【学習課題】
比例定数と反比例のグラフの特徴にはどのような関係があるか。

 

T:GeoGebraを利用して,グラフをかくよう指示する。

S:グラフをかき,比例定数とグラフの特徴にどのような関係があるか調べる。

S:比例定数が+だと右上と左下にグラフがある。

S:比例定数が-だと左上と右下にグラフがある。

S:比例定数の絶対値が大きい方がx軸やy軸から離れる。
小さいと近づく。

T:全体で考えを共有する。

【まとめ】
比例定数の符号と絶対値によってグラフの形が決まる。

○比例定数にいろいろな値を入れて考えるよう促す。

終末
  1. 3. 評価問題に取り組む。

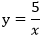
T:次の①~③のグラフを表す式は次のうちどれか。
また,そう考える理由を説明させる。
y=-5/xy=5/xy=-10/x

S:②はy=5/xになる。理由はグラフが右上と左下にあり,比例定数が+になるから。

S:①と③を比べると③の方がxy軸に近い。比例定数の絶対値が小さい方が近くなるから,③がy=-5/xで ①がy=-10/xになる。

■比例定数とグラフの特徴の関係について理解している。
(知識・技能/プリント)

(4)本時の評価

比例定数の符号や絶対値とグラフの特徴の関係について,理解している。(知識・技能/プリント)

3.展開例2

(1)第3学年 関数y=ax^2(2時間構成の1/2時間)

(2)本時のねらい

関数y=ax^2のグラフについて,グラフの特徴と式の関係を考察する活動を通して,比例定数aの符号によって,グラフが上に開くもしくは下に開くことを説明することができる。

(3)本時の展開

  学習活動 教師の働き掛けと予想される児童生徒の反応 ■評価規準(観点/方法) ○留意点
導入
  1. 1. 比例定数aとグラフの特徴との関係を挙げる。

T:比例のグラフ(y=2x)を提示する。

S:直線になる。

S:右上がりになる。

T:なぜ右上がりになるとわかるか問う。

S:比例定数が+だから。

○比例定数は生徒に言わせる。

T:比例定数によってグラフに特徴があることをおさえ,比例定数とグラフの特徴にはどのような関係があるか意識付ける。

○GeoGebraで提示する。

展開
  1. 2. 比例定数aが様々な値のグラフをかき,その特徴を挙げる。
  2. 3. 比例定数とグラフの特徴の関係について考察する。

T:比例定数aを変化させて,いろいろなグラフをかかせる。またその特徴を考えさせる。

S:グラフをGeoGebraでかいてみる。

【予想される特徴】

  • 比例定数が+だとグラフはx軸より上にある。
  • 比例定数が-だとグラフはx軸より下にある。
  • 比例定数の絶対値が大きいほど,グラフの開き方が小さくなる。
  • 比例定数の絶対値が小さいほど,グラフの開き方は大きくなる。

【学習課題】
なぜ比例定数の符号が+のとき,グラフがx軸の上にあり,-のとき下にあるのだろうか。

 
  1. 4. なぜその特徴をもつのか説明を考え,それを伝え合う。

S:x^2の部分は常に+になるので,比例定数が+のときは,(+)×(+)でyの値は+になる。xが0のときは,0になる。よって,グラフはx軸より上にある。

S:x^2の部分は常に+になるので,比例定数が-のときは,(-)×(+)でyの値は-になる。xが0のときは,0になる。よって,グラフはx軸より下にある。

T:考えた理由をグループで説明させる。

■比例定数の符号とグラフの特徴の関係についての説明をすることができる。
(思・判・表/ワークシート・観察)

【まとめ】
比例定数aの符号に関して

  • a>0のとき,x軸の上側にあり,上に開いている。
  • a<0のとき,x軸の下側にあり,下に開いている。

○説明が考えられない生徒には表を提示するなど,説明に向けた視点を与える。

○グループで,自分の考えを伝えあう。

終末
  1. 5. 学習を振り返る。

S:比例定数の符号によって,グラフがx軸の上にあるのか下にあるのかがわかった。

S:表や計算から,特徴を説明できるのがすごいと思った。

○振り返りシートを記入する。

(4)本時の評価

比例定数aの符号とグラフの関係について,根拠を明らかにして説明することができる。

(思考力・判断力・表現力/ワークシート・発表)

【次時】

(1)第3学年 関数y=ax^2(2時間構成の2/2時間)

(2)本時のねらい

関数y=ax^2のグラフについて,グラフの特徴と式の関係を考察する活動を通して,比例定数aの絶対値によって,グラフの開き方が変化することを説明することができる。

(3)本時の展開

  学習活動 教師の働き掛けと予想される児童生徒の反応 ■評価規準(観点/方法) ○留意点
導入
  1. 1. 本時の課題の確認をする。

T:前時の振り返りと本時の課題の確認。

 
展開
  1. 2. 比例定数の絶対値とグラフの特徴の関係について説明を考える。

【学習課題】
なぜ比例定数の絶対値が大きいほどグラフの開き方は小さくなるのか。

 

S:例えば,y=x^2y=2x^2では,同じxの値を代入したとき,y=2x^2yの値の方が大きくなる。よって,x軸からの距離が遠くなるので,開き方は小さくなる。

S:グラフで見ると,y=x^2y=2x^2では,同じxの値で見たときのx軸からの距離が2倍になっているので,開き方は小さくなる。

【まとめ】
比例定数aの絶対値が大きいほど,開き方が小さくなる。

■比例定数の絶対値とグラフの特徴の関係についての説明をすることができる。
(思・判・表/ワークシート・観察)

終末
  1. 3. 評価問題に取り組む。

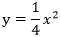
T:次の問題に取り組ませる。

S:③はグラフがx軸の下にあるので,比例定数は-になる。よって,y=-x^2となる。

S:①と②では②のほうが①より開いているので,比例定数の絶対値は小さくなる。よって,①がy=3x^2となり,②がy=1/4 x^2となる。

○啓林館教科書『未来へひろがる数学3』P101「説明しよう」を扱う。

○個人で考えさせ,その後全体で確認をする。

(4)本時の評価

比例定数aの絶対値とグラフの関係について,根拠を明らかにして説明することができる。

(思考力・判断力・表現力/ワークシート・発表)

4.おわりに

生徒にとって,グラフをかく際に表をつくることは,対応するxyの組が意識でき,グラフの学びはじめでは,座標平面上に点をうつ上では有効である。しかし,式⇒表⇒グラフの流れでは,グラフをかく時間がかかり,自分が予想したグラフの特徴について,すぐに確かめることができない。ICT(GeoGebra)を活用したことで,式を入力し,瞬時にグラフをかくことができた。その結果,短時間でより多くのグラフを考察し,自分が予想したことを確かめたり,他のグラフとの比較をしたりすることができた。また,式⇒グラフの流れとなるので,表をつくるよりも比例定数とグラフの特徴との関係をより意識することができた。
GeoGebraは他にも図形や統計に関する機能も備えている。今後は,別の単元での活用について研鑽を深めていきたい。

<引用・参考文献>