中学校の教科書・教材|知が啓く。教科書の啓林館
数学

第1学年 おうぎ形の弧の長さや面積における関数関係
~矛盾しているように見える理由を説明しよう~

1年千葉大学教育学部附属中学校 佐久間 淳一

1 はじめに

図形領域の内容に関数領域で学んだことを活かす1つの例として,第1学年「空間図形」の学習において,頂点,辺,面の数を調べ,それを表にまとめ,規則性を見いだすことでオイラーの多面体定理を導く活動があげられる。この活動では,複数の量の依存関係に着目したり,規則性を見いだしたりするなどの関数的な見方・考え方を活用していると考えられる。このように図形領域の学習の中に関数的な見方・考え方を取り入れた授業をすることについて,平成29年告示の学習指導要領解説では「「C関数」の領域の学習において働かせた数学的な見方・考え方は「A数と式」や「B図形」の領域の内容の理解を深化させてくれる。」と述べられている。そして,「通常の授業では,主に領域ごとに指導が行われるため,取り上げる問題はその領域の内容を中心としたものが多い。このため,生徒は問題解決の場面で,直前に学習した内容をそのまま適用すれば解決できるだろうという見通しを立て,実行する傾向がある。」とも述べられている。しかし,オイラーの多面体定理の例のように他領域で学んだことをいかすような実践例は少ない。
これらを踏まえ,図形領域の内容の中に関数的な見方・考え方を取り入れた実践を紹介したい。この実践は中学校第1学年で学習する「おうぎ形の弧の長さや面積の公式」を題材としている。また,ここでは関数的な見方・考え方とは次の①~④のようなものであるとする。

①~④を個別に活用したり,①→②→③→④のように一連して行われるものであるように思える。これらを活用して,課題を解決する実践を次に述べる。

2 課題学習「矛盾しているように見える理由を説明しよう」の考察

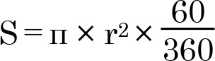
啓林館の教科書「未来へひろがる数学 Ⅰ」には,おうぎ形の面積について,「」の式を,おうぎ形を細かく分割するなどして図形的に説明したり,三角形の面積の公式との類似性に着目したりして,視覚的に理解できるように工夫されている。この内容を既習のものとして本実践を考えた。
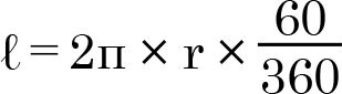
まず,「中心角が60°のおうぎ形について,半径が1,2,3のときの弧の長さと面積の値を求めなさい」という課題を生徒に考えさせる。

<表から分かること>

求めた値を表にまとめると

ℓはrに比例する・・・(☆)
Sはrに比例しない(r2に比例する)・・・(★)

ということがわかる。

半径 r 1 2 3
弧の長さ ℓ
面積 S

<式から分かること>

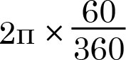
と表せるので,を比例定数とみることでℓ=(比例定数)×rのように書ける。このことから表の性質だけでなく式の形からも(☆)が正しいことがわかる。

次に,面積を求める式をではなく,を用いて考えてみると,

を比例定数とみること」で,「 S =(比例定数)× r 」と書けるように思える。
しかし,ℓはrに比例することから
を比例定数とみること」は間違いであり,したがって「 S =(比例定数)× r 」と書くことはできない。

ことがわかる。よって,(★)が正しいことが分かる。この実践では,複数の量(ℓとr,Sとr)の依存関係に着目することで,について,を比例定数とみることができないことに気づかせようとすることが目標である。

また,この実践の目標ではないが,について,を図形的に説明するだけでなく,

上の表から帰納的に考えることでを見いだすこともできる

ことに気づいた生徒がいれば取り上げたい。また,発展的な課題として,

に,を代入すれば,文字の計算をして が導けるため,その式変形を逆から書けばから,が導けること

について考えさせる課題を任意提出のレポート課題として提示することも生徒の実態に合わせてありうると考える。
このように,おうぎ形の弧の長さや面積には多くの内容が含まれているため,目標を焦点化して実践していくことが大切であると考える。

3 授業実践

(1) 題材名

・矛盾しているように見える理由を説明しよう

(2) 本時の目標

(3) 展開

時配 学習活動 教師の支援(〇),評価(◎)
10分
課題 中心角が60°のおうぎ形について,次の(1)~(3)に答えなさい。
  • (1)半径が1㎝のとき,弧の長さと面積を求めなさい。
  • (2)半径が2㎝のとき,弧の長さと面積を求めなさい。
  • (3)半径が3㎝のとき,弧の長さと面積を求めなさい。

〇課題を把握する。

〇弧の長さと面積を求める式を確認する。

〇前時の復習として,課題を提示する。

〇弧の長さを求める式と面積を求める式を確認する。ただし,弧の長さと面積を求めることから,だけでなく,弧の長さを利用したも板書する。

〇(1)~(3)の値を確認する。

〇(1)~(3)の値を確認する。

・規則性が見いだせるように工夫して板書をし,生徒が関数関係を見いだしやすいように工夫する。

15分
(4)半径が4㎝のとき,弧の長さと面積を求めなさい。また,(1)~(4)に取り組んだことで気づいたことを書きなさい。
  • 〇(4)に取り組む。
  • 〇どのようにして考えたのか班で共有する。
  • 〇次のことを全体で共有する。
    • ・(1)~(3)で求めた値に規則性を見いだし,ℓの値を求める。Sの値はを用いて求める。
    • ・ℓとrは比例の関係,Sとrは比例ではないが,規則性がある。
  • 〇ℓとrは比例の関係であることの説明を考える。
  • 〇表を用いて整理し規則性を探したり,式の形から説明する。
    • ・表の数字を横に見て規則性を説明する。

    • を比例定数とみればℓはrに比例するといえることを理解する。中心角は60°であるため,比例定数は約1であることを確認する。
  • 〇(4)のℓの値を確認する。
  • 〇(4)を提示する。
  • 〇班にして,求め方を共有させる。
    • ・Sの規則性は難しいため,ℓとrが比例の関係であることを確認したら,を用いてSの値を求めさせる。

◎2つの量の対応に関わる規則性を見いだしたり,その依存関係に着目することができたか。

〇表や式を用いてℓはrに比例することを説明できたことを確認させる。

25分

〇Sはrに比例しないことの説明を考える。

・比例の表の性質である「rの値が2倍,3倍になるとSの値も2倍,3倍になる」ことを満たしていないから比例の関係ではない。

 
 

〇表の性質を全体で確認した後,「式の形を考えると,を比例定数としてみると比例の式に見える」ことを述べる。

Sとrの関係は,表の性質から比例の関係ではないことがわかるが,の式を考えると,比例の式に見える。なぜ,矛盾がうまれたのだろう。

〇上の課題について,個人で考える。

<予想される生徒の活動>

  • ・表の性質に間違いはないか。
  • ・(1)~(4)で自らが値を出した計算過程を見て,何かわからないか。
  • ・考えを振り返り,間違っているところはないか。
  • ・ℓはrに比例することを調べたときと同じ調べ方になっているか。
  • ・比例定数の値はいくつなのだろうか。

〇生徒の取り組みを机間指導し,左の<予想される生徒の活動>に取り組んでいる生徒がいたら,全体に伝える。また,次のような支援も必要に応じて行う。

であり,比例定数はであった。Sはrに比例するとしたら比例定数の値はいくつかを問う。

〇説明できた生徒がいた場合には,その生徒に,どんな着眼点で解決したのか答えてもらう。

◎なぜ矛盾がうまれたのかを表や式から探ろうと粘り強く考えることができたか。

〇指名された生徒は全体で説明をする。

・ℓとrは比例の関係であるから,は比例定数ではない。また,ℓとrの関係の比例定数は約1であったが,比例定数とみているはいろいろな値になる。したがって,変数とよんだ方がいいのではないか。

であるから,式の形からも比例の式ではない。

〇生徒を指名し,説明させる。また,次のような補足を入れる。

・「 は比例定数ではない」ことに気づくための考えとして,(1)~(4)で自らが値を出した計算過程を振り返ってみると,の値が一定でないことに気づいた。

・表からもℓがrの値によって変化することがわかる。

・もともとの式であるに戻ることで気づくことができた。

〇まとめ

・ℓはrに比例し,Sはrに比例しない。

・変数と定数を見分けることで矛盾を説明できた。

 

4 実践を終えて

「Sとrの関係は,表の性質から比例の関係ではないことがわかるが,の式を考えると,比例の式に見える。なぜ矛盾がうまれたのだろう。」という問いに対して,積極的に考えたり,意見交換をする生徒が多かった。このように,自分たちが考えたことに矛盾が生じたように見える題材は,生徒の興味・関心をひくのかもしれないと感じた。
この題材では依存関係に着目すること大切にし,実践した。今後,条件がえなどをして新しい問題をつくって解決する探究的な活動にも,「問題のこの部分を変えたら,結論のこの部分が変わる?」と考えるなど,依存関係に着目する考え方を継続的に指導していきたいと考える。