中学校の教科書・教材|知が啓く。教科書の啓林館
数学

問題解決能力を育む学習指導
~第1学年「方程式の利用(過不足)」~

埼玉県内中学校 安部 徳晃

1.はじめに

数学科の役割の1つとして,未知の問題を解決して未来を切り拓いていく問題解決能力の育成があげられる。「問題解決能力」とは,問題解決の場面で,既習の学習内容で用いた方法を使って考えたり,発展させて解決できないか考えたりする力のこと,または問題を解決する力のことである。

授業内での生徒の実態を見ると,問題解決の場面で,何をすべきか分からず止まってしまっていたり,解決できたとしても問題の中に含まれる「どのように考え,問題を解いたのか」という思考過程の振り返りが不十分であったりすることが多く見受けられる。その理由として,問題解決の手順の理解が不十分であることや,なんとなく解決をしてしまい,問題の全体像や本質にたどりつかないことが考えられる。

そこで,問題解決の手順や思考過程を蓄積,体系化し,次に活かすための道具として獲得するという視点を生徒に持たせる。そうすることで,生徒が自ら解決に用いた数学的な見方や考え方を意識し,他の問題にも活用しようとする態度を養うことができると考える。

今回の実践では,方程式の利用を題材として,これまでの方程式の学習の中で獲得してきた数学的な見方・考え方を働かせる機会を意図的に設定し,数学的な見方・考え方をさらに豊かなものとすることを目指した。

2.問題解決能力を育む学習指導の工夫

問題解決能力は問題解決の授業の中で育まれる。そこで,「ポリアの問題解決の区分」に沿った授業を主軸に,次の2点についての工夫を行った。

(1)問題解決の方略(ストラテジー)をリストにまとめ,獲得・活用させる。

問題解決の場面で,頻繁に用いることのできる数学的な見方・考え方を,5つにしぼり,「数学のストラテジー」として,下のようなリストにまとめた。 このリストをもとに,単元全体を見通して,ストラテジーを獲得させる指導過程として,①「気づき」②「実感」③「習熟」という三段階を意識して授業を行った。今回は,③の段階の実践である。

(2)対話によって,問題解決の手順や思考過程をふり返らせる。

①他者との対話

生徒が自らの問題解決の過程をふり返りやすい場面の1つとして,他者へ説明する場面があげられる。他者に何かを説明するとき,自分がどのように考えたのかを整理しなければ,うまく説明することは出来ない。そこで,授業の中に問題解決の過程をペアで説明し合う活動を取り入れ,ストラテジーを用いることのよさを実感できる機会となるよう工夫した。

②自己との対話

ふり返りカードを用いて,授業の学習内容だけでなく,解決の過程や用いたストラテジーなどを記録させることで,問題解決の手順や思考過程をふり返る一助とした。

3.授業実践

(1)単元名 方程式の利用 過不足の問題(啓林館p97)

(2)本時の目標

ア 一元一次方程式を用いることのよさに関心をもち,意欲的に問題の解決に活用しようとする。

(数学への関心・意欲・態度)

イ 文章題中の数量関係を線分図や表を用いて視覚的に表すことができる。

(数学的な見方や考え方)

ウ 文章題から一元一次方程式を立式し,解を求めることができる。

(数学的な技能)

(3)展開

学習活動と予想される反応
※( )内は時間配分
・指導上の留意点
☆支援
●問題解決の段階とストラテジー
○評価
導入

10分

1 問題場面を読み、続きを考える(2)

【問題】何人かの生徒で,あめを同じ数ずつ分けます。
5個ずつ分けると12個余り,7個ずつ分けると4個足りません。 このとき…

・生徒の人数は何人ですか。

・あめの数は何個ですか。

○問題の続きに関心をもつ。(関心・意欲・態度)

2 問題を整理し,理解する。(8)

〈分かっていること〉
①5個ずつ分けると12個余る

②7個ずつ分けると4個足りない

〈求めるもの〉
(ア)生徒の人数 (イ)あめの個数

・分かっていることを数直線で整理させる。

☆黒板に穴埋め形式の数直線をかく。

・求めるものを確認し,2つあることを再確認させる。

・本時の問題が「過不足の問題」であることを伝える。

●問題を理解する。

D図をかいて状況を整理する。

○問題の状況を,数直線を用いて整理できる。(見方・考え方)

展開

32分

3 課題に取り組む。(15)

【課題】求めるものが2つある「過不足の問題」の解き方を考えよう。

〈見通し〉
方程式を解く手順

1求めるものを文字でおく

2問題から等しい関係を見つけ,方程式をつくる

3方程式を解く

4方程式の解が問題にあっているか調べて答えを書く。

・方程式を利用して,問題を解く手順について確認させる。

●計画を立てる。

A前に学習した内容を使う。

○既習の学習内容を用いて問題解決しようとしている。(関心・意欲態度)

〈自力解決〉
(ア)生徒の人数から考える

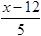
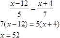
1生徒の人数をχ人とする。

2あめの個数が等しいので,式をつくる

①1人に5個ずつ分けると12個余る
(個)…①´

②1人に7個ずつ分けると4個足りない
(個)…②´

・数直線をもとに,立式させる。

・あめの個数は等しいことに気づかせる。

●計画を実行する。

B求めるものを文字でおく。

○方程式をつくることができる。(技能)

○一元一次方程式を解くことができる。(技能)

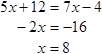
3①´=②´より方程式を解く

・生徒の人数を求めた後,あめの個数についても求めさせる。

4この解は問題にあっている。

よって,生徒は8人

5 を式に代入しあめの個数を求める
①´に代入 →
②´に代入 →

よって,あめは52個

(イ)あめの数から考える

1あめの個数をχ個とする。

2生徒の人数が等しいので,式をつくる

①1人に5個ずつ分けると12個余る
(人)…①´

②1人に7個ずつ分けると4個足りない
(人)…②´

3①´=②´より方程式を解く

・数直線をもとに立式させる。

☆あめをぴったり配るにはどうすればいいか助言する。

(例)「5個ずつちょうど配るためには,はじめに12個除けばいい」

C逆向きに考える。

○数直線をもとに,生徒の人数を文字式で表すことができる。(技能)

○分数を含む一元一次方程式を解くことができる。(技能)

4この解は問題にあっている。

よって,あめは52個

5を式に代入し生徒の人数を求める
①´に代入 →
②´に代入 →

よって,生徒は8人

・あめの個数を求めた後,生徒の人数についても求めさせる。

4 解決の方法を全体で共有する。(5)

5 ペアで解決の方法について互いに説明し合う。(4)

〈聞く側の質問の例〉

は何を表しているの?

はなぜ等しいの?

はどうやって求めたの?

でなぜ両辺に×35するの?

・解答をただ読み上げるのではなく,ポイントを含めて説明できるように指導する。

・聞く側には質問をさせる。

☆説明が難しい生徒は解説を復唱させる。

○ストラテジーを踏まえて,説明ができる。(見方・考え方)

6 練習問題に取り組む。(8)

●習熟する。

まとめ

8分

7 本時の学習のまとめを行う。(3)

●ふり返る。

【まとめ】 方程式の利用(過不足の問題)の解き方

1求めるものの(一方)をχとおく。

2問題文から等しい関係(二通りに表される数量)を見つけ,方程式をつくる。

3方程式を解く。

4代入)して,もう一方の解も求める。

・本時の学習内容から,下線部分を穴埋めしてまとめを完成させる。

8 ふり返りカードを記入する。(5)

○授業で用いたストラテジーを確認する。

4.成果と課題

(1)成果

問題解決の場面で,ストラテジーを意識させることで,他の自力解決の場面でもリストを見たり,思い出したりして活用する生徒が増えてきた。また,ペアで解決の方法を説明し合う活動では,聞き手側の質問に対して,説明の根拠としてストラテジーを活用する場面も見られた。これらのことから,少しずつではあるが,生徒の中にストラテジーが蓄積されてきていると考えられる。

(2)課題

今回の実践では,単元を通して用いることのできる数学的な見方・考え方を「数学のストラテジー」として5つに絞って取り上げたが,①5つで全ての単元の見方・考え方をおさえることができるのか,②単元や年間を通してのストラテジー獲得計画の作成など,課題も多くある。これからの実践の中で,「数学のストラテジー」を確立し,それらを積極的に活用させることで,問題解決能力を育てたい。

5.参考文献