
授業実践記録(数学)
部分分数分解の指導

1.はじめに
現代は,知識・技能を自己認識や一般教養ではなく,道具や仕事と結合することで新しい知識を創造し,社会を大きく変えるものとして扱われるようになった知識基盤社会である。このような社会に突入したことにより,新学習指導要領で数学的活動が求められている。数学的活動を通じて以下の能力を,育成を目指していると考えている。
・様々な規則性や関係性を「見つける」能力
・既習事項を活用して知識・技能を「発展させる」能力
・発見した知識・技能を「伝える」能力
また,算数・数学は系統性の強い教科である。そのため新しい知識・技能を学ぶためには既習事項とのつながりを意識した教材が必要である。しかし,学校現場で指導している中で,つながりの意識が低いと思われる単元として「部分分数分解」の指導が挙げられる。
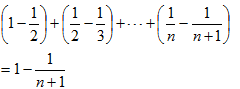
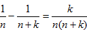
教科書では,部分分数分解
を
①恒等式 
② 
として導いているが,生徒からしてみればどの既習事項との繋がりからこのような式変形を思いついたのかが不明確である。そのため,形式的に解き方を覚えてしまうため生徒の興味関心が高まらない。そこで,どのような数学的活動を素地指導として行えば円滑に部分分数分解を指導できるか考察したい。
2.1 部分分数分解の素地指導

以下の活動を行う。
(1)右の図のような矢印を設定する。
(2)図から読み取れることを考察する。
(読み取れる情報)


既習事項の「分数の四則演算」を用いることで
であるとわかる。
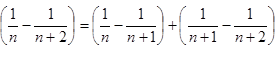
同様な活動を続けることで,
という規則性を見つけることができる。この活動の発展として,分母の数字の差が1ではない場合はどうかを同じ活動をさせながら考察させた。

つまり,
同様な活動を続けることで,以下のようになる。

この活動から
であることがわかる。
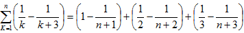
2.2
の発見

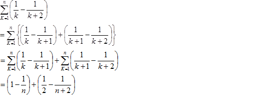
右の図の矢印の和に注目する。

これを続けていくと,
となる。数式に注目すると左辺は複雑な式になっている。そこで
という規則を基に n = 1 から n までの和になっていることから
を導入した。また2.1を活用することで
であることがわかる。このような活動から
の解法を導くことで部分分数分解をする必要性が体験できると考えられる。
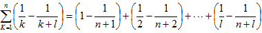
2.3 発展
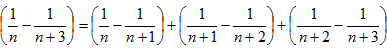
発展として差が1ではない場合はどうであるか次の図を用いて考察させた。

差が1であれば求められるので図のように矢印を定めると
である。
この活動を繰り返すことで

であることがわかる。このことから

同様にして
として考えれば
である。一般化すると,
であることがわかる。
3.成果と課題
実践活動から得られた成果は以下の通りである。
・教科書に記載されている問題を,活動から見つけることができ興味・関心が高まった。
・既習事項を活用することで円滑に部分分数分解を指導できた。
また,2.2の図を用いることで
は n の値が大きくなるほど1に近づくことが視覚的にわかるので極限の導入でも活用できると考えられる。今後の課題として知識・技能を教え込むのではなく,活動を通じて生徒自ら教科書に記載されている問題を発見できるような数学的活動や指導方法を検討することが挙げられる。しかし,授業時数の関係を考えると2.1を小学校の「分数の単元」,中学校の「文字式の単元」で学習をし,2.2と2.3を高等学校の「数列の単元」で学習できるように小・中・高が連携して1つの教材を深められるようになって欲しい。
(参考文献)
・高等学校学習指導要領解説 数学編,理数編(平成20年12月)文部科学省
・杉山吉茂(2012)「確かな算数・数学教育を求めて」(東洋館)