ホーム > 教師の方へ > 高等学校(数学) > 授業実践記録(数学) > 公式を「使う」から「導く」へ

教師の方へ

授業実践記録(数学)

公式を「使う」から「導く」へ

新潟県立村上中等教育学校 高橋 昌樹

1.はじめに

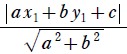
2013年の大阪大学文系で次のような問題が出題された。

xy平面において,点P(x,y)と直線l:ax+by+c=0の距離は,
である。これを証明せよ。

* 詳細はPDFファイルをご覧ください。 (PDF:155KB)