速さは,時間と道のりの2つの量の割合で表すことができます。このことを数学的に述べると,次のようになります。
例えば,運動しているある物体について,時間の基準を適当にとり,時刻t1(秒)にAの位置にあったものが時刻t2(秒)にBの位置にきたとします。

このとき,この物体の平均の速さは,A,B間の距離をdcmとすれば,毎秒

(cm)となります。
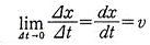
さらに,時間の間隙を小さくし,平均の速さの極限を考えたのが,この物体の時刻tにおける瞬間の速さです。時間の間隙を小さくとり,t秒からΔt秒間に進んだ距離をΔxcmとすると,t秒時での瞬間の速さは,右のように表されます。

小学校で学習する速さは,下の例から明らかなように平均の速さを指しています。

速さ(平均の速さ)は,単位時間に進む道のりで表しますが,このとき,単位時間を1時間としたときの速さが時速,1分間としたときが分速,1秒間としたときが秒速となります。
速さの問題は,児童にとってつまずきの多い教材の1つです。それは,2つの量が関係していることもありますが,速さの示す数値の意味が具体的にとらえにくいことも関係しています。
したがって,指導にあたっては線分図を用いるなどして,その意味を具体的にとらえさせ,問題解決をはかるようにすることが大切です。