5年
自ら問い,追究し続ける児童が育つ算数の学習          
〜小数のかけ算とわり算(1)〜               
名古屋市立上社小学校
鈴木 和明
I テーマ設定の理由

 算数の学習の中で,児童が問題解決に主体的に取り組むには,その基として「なぜだろう」「へんだぞ」という「問い」を児童が自らもつことが大切であると考える。つまり,単に教師が与えた問題を児童が考えていくのではなく,提示問題の中から,児童が自ら解決すべき課題となる「問い」を見付けることが大切である。さらに,解決に利用した考えを生かそうと,「新たな問い」を見付けて追究し続ける学び方は,自ら生きる力に結びつくものと考えて本テーマを設定し,研究を進めていくことにした。

II 実践について

  1   単元 小数のかけ算とわり算(1)

  2   本時の目標

 被除数を(0.1が何こ)という考え方を利用しても,解決できない小数のわり算の計算の仕方を考えることができる。

  3   児童の実態

 本学級の児童は,提示した問題に対して熱心に解決しようとする。しかし,熱心に解決に取り組んではいるが,全員が解決に至るわけではない。そこで,これまでの問題との違いを明らかにして解決すべき課題を明確にしたり,図や絵を用いて問題の構造を明らかにする活動が効果的であると考えた。

 そこで,単元を通して右の図のような「位の部屋」により小数の意味を視覚的にとらえながら,実践を行うことにした。

  4   実践の概要

問いをもつために

 単元の第1時において,かけ算となる問題場面を提示して,児童に適当な数を入れて問題を作る活動を行う。入れた数値によって,解決できる場合と,解決できない場合があることに気付き,問いをもつ。その際,「位の部屋」を活用することで,解決すべき課題を明確にしていく。

  5   授業の実際 (前時からの流れ)









【提示した問題場面】

□リットルのジュースを△人で分けます。一人分は何リットルになりますか。

T  □や△に数字をあてはめて問題を作ってみましょう。

C  「4リットルのジュースを2人で分けます」4÷2など整数の問題(式の確認)

T  これまでに習った数の世界を広げて作ってみてもいいですよ。

【児童の作った問題】

150÷25 12÷4 0.8÷2 0.6÷3 1.5÷10 0.4÷5

0.2÷4 0.006÷3 1.9652÷8 9.9999÷150

その他,分数を含む問題など

C  整数ならできるけど分数や小数はできるのかな。→問い

T  今日はこんな問題を考えてみましょう。

【本時の問題】

0.8リットルのジュースを4人で分けます。一人分は何リットルになりますか。

T  図で0.8を表して考えてみよう。

C  位の部屋で表すと分かり易い。


 8÷2=4

 0.1が4つで0.4

答え0.4
T  位がわかるように工夫したよ。

〜以下,解決方法の追究(線分図・10倍で求めて10でわる方法など)省略〜








T  前の時間にみんなが作った問題は全部できるかな。

C  0.6÷3や0.8÷2はできる。0.006÷3もできそうだよ。

C  1.9652÷8や9.9999÷150はできないよ。複雑すぎる。

T  0.2÷4はどうかな。 C できそうだ。

【本時の問題】

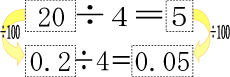
0.2リットルのジュースを4人で分けます。一人分は何リットルになりますか。

C  位の部屋で表すと あれっ。できないよ。

C 2を4つに分けられない。

C  

0.1で考えられないわり算はどうしたらいいのだろう。→問い

【児童の解決方法】



0.2は0.01の20こ分

20÷4=5

0.01が5こで0.05

答え0.05
     100倍で考えると

20÷5で4となる。

100でわってもどすと0.05

答え0.05

【新たな問いを見付ける活動】

T  他にどんな問題をやってみたいか。作ってみよう。

児童の作った問題
被除数の位を小さくした問題

・0.004÷5
・0.036÷6
・0.0003÷3
被除数を複雑な数にした問題

・813.48÷2
・99.992÷2
・9564.54÷12
わりすすんでいく問題

・1.6÷5
・0.7÷5
・1.8÷8
除数を小数にした問題

・16÷0.5
・32÷0.8
・180÷0.2

T  友達の作った問題について考えてみましょう。

C  0.004÷5や0.036÷6は0.001や0.0001を使うとできる。

C  基にする数をどんどん小さくすると別の計算もできるのではないか。

C  2でわる問題は,どんな小さな小数でもうまくわれるのではないか。

C  わる数が小数の問題ってあるのかな。  <新たな問い>


III 成果と課題

  「位の部屋」の活用と,児童の作った問題を,解決できるものとできないものについて考える活動から,解決すべき課題としての「問い」を見付けることができた。

  新たな問いを見付けるために,さらに問題作りと,問題について話し合う活動を行ったが,作った問題や自分が選んだ問題をすべての児童が解決できたわけではなかった。一人一人の解決に結びつく支援のあり方を考えていく必要がある。

前へ 次へ


閉じる