数学切り抜き帳
数学目次へ
Σk4の公式
桜花学園大学教授
岩井 齊良
 「数学切抜き帳」を書きはじめてそろそろ60回になるが,筆者の手持ちの話題はとっくに底をついた.編集のIさんに励まされてなんとか続けているが,生き残りをはかるためこれからは新しい話を創っていかなければならない.

● よく知られた公式
 次の公式はよく知られている.

  
  
  

● Σk4の計算の方針
上の公式に続く公式として Σk4の公式を求めてみよう.
 手がかりとなるのは,連続4整数の積和
  
である.

   k(k+1)(k+2)(k+3)=k4+6k3+11k2+6k
より,
  

 ここで Σk4 以外の和は求められる.
 これで Σk4 の公式が決まる.

● Σk(k+1)(k+2)(k+3) の計算
 連続整数の積和の公式はパスカルの三角形の中に隠されている.
 このことはすでに2006年12月号で考えたが,復習のつもりで一から考えよう.

 パスカルの三角形において,4C4 を筆頭に左下に続く2項係数の列に注目する.

    4C45C46C4,……


この数列の第 k 項は k+3C4 である.
  
 この数列の第n項までの和は最後の項の右下直下になる,

   4C45C46C4+…+n+3C4n+4C5

 すなわち,
  

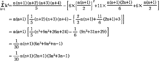
● Σk4の計算
 すでに見たように,

  

したがって,
  

  

 この計算は楽な計算ではない.諸君なりに計算の工夫をして結果を確かめてもらいたい.
 最後の式が,求める公式である.
 すなわち,