数学切り抜き帳
数学目次へ
道の問題 その2
桜花学園大学教授
岩井 齊良
 先月号に引き続き次の問題を考えてみよう.
こんどは条件をきちんとつけておく
 図のような街がある.A地点からB地点まで最短コースで行くとき,で示した各地点を通る確率を求めよ.
  ただし,東行きと北行きの分かれ道の地点でどちらの方向が選ばれるかという確率は,それぞれ, であるとする.

 例えば,A地点からP地点に行くコースはどれも東行き→の区間が3回,北行き↑の区間が2回から成るので,それぞれが選ばれる確率は である.
 また,A地点からP地点に行くコースは全部で 5C3 通りあるから,A地点からB地点まで最短コースで行くときP地点を通る確率は,
        
である.同様に考えると,まず次の地点を通る確率が分かる.

 各地点の形状によって,これらの確率は次のようにも計算できる.


 残された地点については次のように計算できる.


 結局,最初の問題に対する答は次のようになる.


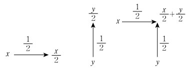
 ここに現れる数値を分母と分子に分けて書いてみよう.

分子
分母

 矢印 方向の数値の並びに注目してもらいたい.
 分母の数値の並びはこの方向に同じである.
 分子の数値は部分的にパスカルの三角形と同じである.


 そこで,パスカルの三角形と分子の図とを見比べてみよう.


 これがパスカルの三角形であるが, で囲んだ整数を加えて の位置に書くと上の分子の図が得られる,
 僕はこのように図を描いてものを観察することが好きである.
 その結果,「道の問題」はいろいろと「未知の答」を含んでいることが分かった.