1.星正五角形と円とピラミッドの関係
エジプトのクフ王のピラミッドは,古代ギリシャの歴史家ヘロドトスの書の中でエジプトの神官から聞いた話として,高さを一辺とする正方形の面積と側面の一つの三角形の面積が等しくなるように建造されているという.この条件を方程式に表して,側面の傾斜角を θ としたときの tanθ,言い換えると底面の正方形の一辺の長さの半分と高さとの比を求めてみると,
図1
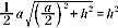
図1のようにa,h,θをとると
より
…………………[1]
[1]の両辺をh4で割り

より,
よって,
よって
この という値は,黄金比といい,
星正五角形の一辺の分割比として知られた値である.また,円を描きその直径となる線分上の一点から円弧に向けて垂線を立てたとき,図2のような関係が成り立つので,星正五角形と円とピラミッドとの間には図3のような関係が成り立つことになる.この関係はヘロドトスの条件より導かれたものであるが,私は逆に図3を作りその図からピラミッドの形を決めたのではないかと推理している.その理由は,古代エジプト人の考えた宇宙図(図4参照)である.天空を覆う女神が図3の上半円で,その女神の下の2人の神々を直径とその上にある三角形で表し,そうやって作られた図の中の定義可能な角をピラミッドの傾斜角にしたと考えられないだろうか.
 |
 |
図2
|
図3
|
図4
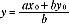
2.針穴写真のための数学
(1)適正露光時間を与える式

図5
|
フィルムが受ける光の量(厳密にはフィルム面に針穴から下ろした垂線の足での光の量)をEとすると,Eは次のものに比例すると考えられる.
[1]針穴の広さに比例すると考えられるので,針穴の直径を dとすると,d2
[2]針穴を中心とする球面の表面積は半径の2乗に比例するので,針穴からフィルム面までの距離をlとすると,l2の逆数
[3]露光時間をtとすると,t
[4]針穴に差し込む光の強さをaとすると,a
よってEは次の式で表される.
( k は比例定数)……[1]
今,針穴の直径がd0,針穴からフィルム面までの距離がl0,露光時間がt0,針穴に差し込む光の強さがa0のとき,フィルムは適正光量を受けたとし,その光量をE0とすると,次の式が成り立つ.
……………………[2]
この場合と同じフィルム,同じ針穴に差し込む光の強さで,針穴の直径がd ,針穴からフィルム面までの距離がlの針穴カメラで撮影するとき,露光時間をどれ程にすればよいだろうか.これは次のようにして求められる.
……………………[2]
………………………[3]
[2] ,[3]より,
この式より
…………[4]
針穴からフィルム面までの距離を針穴の直径で割った値を絞りといい普通F表す.このようにFを求めると,[4]の式は次のような簡単なFの式で表される.
[4]で , とすると,
……………[5]
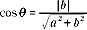
(2)適正露光時間の求め方
例えば,針穴の直径が0.3mm,針穴からフィルム面までの距離が8cmのカメラで撮影するとき絞りF は なので,絞り22での適正露光時間が露出計で測って1/60秒ならば,適正露光時間tは (秒)となる.
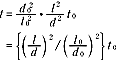
3.直線と点との距離の公式の簡単な導き方
直線ax+by+c=0と点 P(x0,y0) との距離を以下のような方法で求めてみる.
(a, b 0の場合で考える.)
直線ax+by+c=0の傾きの正負で2通り,直線ax+by+c=0と点Pの上下の位置関係で2通り,点Pとy軸の左右の位置関係で2通りあるので,直線と点Pとy軸との形と位置の関係は8通りあるが,次の4通りの場合で考えれば十分である.
図で直線mは点Pを通り直線l:ax+by+c=0に平行な直線だから,
a(x-x0)+b(y-y0)=0………[1]
図のBのy座標は[1]でx=0とすると となるので

図のAのy座標はax+by+c=0でx=0とすると となるので

よって, 
図の直線l ,mは平行だからどちらも傾きは となる.よって図のθは を満たす.
よって

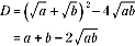
4.「相加平均≧相乗平均」の2次方程式による証明
x の2次方程式
………………[1]
はa, b≧0ならば明らかにa=bのとき実数の重解をもち,a, bが異なるとき2つの異なる実数解をもつ.
[1]は展開すると, となるので判別式Dは

[1]は実数解をもつので

よって ,a, b≧0のとき ,
|