授業実践記録
置換積分法の指導順序について
〜合成関数の微分法の逆演算としての置換積分法〜
熊本県立熊本高等学校
小坂和海
 
1.はじめに

 数学 III の微分積分法の授業において,生徒たちがもっとも困難に感じる部分のひとつが置換積分法である.高校では,原始関数が初等関数で表される場合を主に扱うので,被積分関数の原始関数を見つけることが積分法の技術的な主題になるが,被積分関数の形をみて原始関数の見当をつけるという思考に慣れることが極めて重要で,このことに習熟する前に置換積分法の導入を急ぎすぎ,「置換積分法は合成関数の微分法の逆演算である」という当たり前の感覚を生徒に与え損なっている指導実態が多いように思われる.また,定積分の計算では,変数を変えると積分区間も変わってしまうため,安易に置換積分を行うと計算量が増えてしまい計算ミスを起こしやすい.
 そこで,積分法の導入部分では,いろいろな不定積分を文字の置き換えをせずに求めることに授業時間を割き,その後,原始関数の見当をつけにくいものについてだけ置換積分を行うよう工夫した.
 
2.実践内容

(1)不定積分

 ほとんどの教科書では,置換積分法の説明を

[1]   [2]   [3]

などで始め,その後で,

[4]   [5]   [6]

などに移る順序をとっている.

 [1] 〜 [3] はそのまま眺めていても無理なので何らかの置換を行うことになるが,[4] 〜 [6] は与えられた積分が であることを見抜いて と変形する方法であり,慣れれば極めて迅速に結果を得ることができる.そこで,教科書の順序とは逆に,[4] 〜 [6] を先に扱い,そこではまだ置換積分という用語も使わずに「微分して被積分関数になるものをさがす」という操作を反復させる.

 [7] ,[8] などもこの段階で扱っておく.さらに, についても, の形に気づかせ, の不定積分 を用いて の形で表されることを示しておくと印象が強いだろう.

(2)定積分

  は置換積分法の効果がはっきりと出る箇所なので,教科書通りにていねいに説明するが,置換積分,部分積分の両方で扱われる の計算については,グラフの平行移動とそれに対応した積分区間の移動によって,

  

と変形できるという感覚をもたせておきたい.

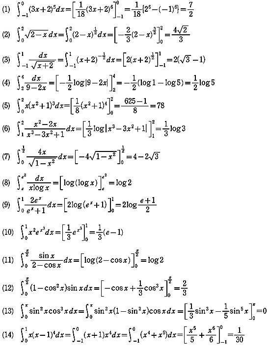
(3)演習問題と解説

 生徒に配布する自学用のプリントに載せる問題とその解説を紹介しておく.

 
3.今後の課題

 置換積分法が合成関数の微分法の逆演算として認識されにくくなっている原因は,上記のような指導順序の問題とは別に,積分法そのものの導入の仕方にもある.定積分を「級数和の極限」として定義し,不定積分を によって定義すれば,不定積分と原始関数との違いがはっきりするし,積分法が微分法とは独立した概念であることも理解しやすくなる.そこから,「定積分を実際に計算するためには,原始関数を見つけることが近道である」という“発見”が生まれ,「逆微分としての積分法」という微分法に依存した積分観でない,「積分法の自立性」という観点が出てくる.指導する側にこそこういう観点がもっと必要ではないだろうか.