授業実践記録
漸化式の指導について
山口県立岩国高等学校
西元教善
 
はじめに

 数学Bで扱う「数列」は生徒の苦手とする分野といえよう。特に,「漸化式」がそうである。
 いろいろなパターンがあるように思えて,それを覚えて使うことに四苦八苦している。
 入試問題などの漸化式は教科書で扱っている内容を深化させておく必要があるが,本質的なことを押さえておけば十分対応できる。このことを生徒にわかってもらおうと思い,実践(理数科2年次,探究数学)を夏季休暇中に行った。そのときに使ったレジュメから抜粋しながら,実施した内容を紹介する。
 
レジュメ「漸化式探究」

  が等差数列⇔ が等比数列⇔ であり,その一般項は, が等差数列⇔ が等比数列⇔ である。
 これらは一見すると別物のように見えるが,のとき の両辺の対数(底 b )をとってみると, とおくことで,
となる。
 逆に, に対して,b を底とする指数を考え,
とおけば, となる。
 つまり,等差数列と等比数列は見方を変えることで同一視できるのである。
 この探究では,一見すると別物に見えるいろいろな漸化式をうまく変形することで,既知の漸化式に帰着させて「漸化式のタイプ」の集約を行って,一般項を求められるようになることをねらいとしている。

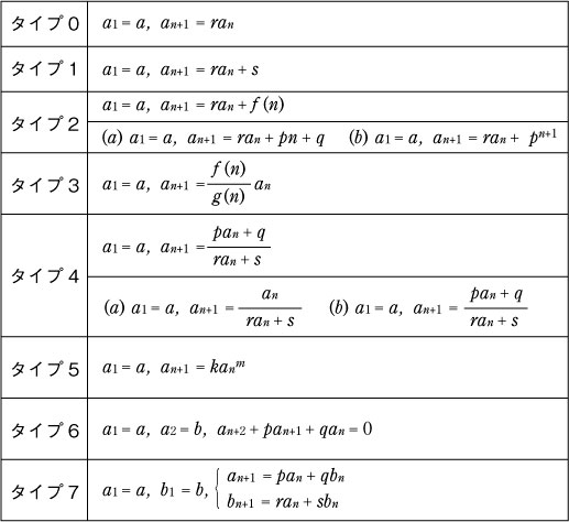
 次の表は,まとめのページに載せた漸化式のタイプである。

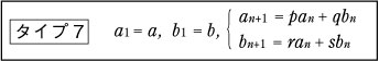
 レジュメ(個人的に作成したもの)の構成は,1. an についての1次式型漸化式,2. 分数型漸化式,3. 指数型漸化式,4. 隣接3項間の漸化式,5. 連立型の漸化式であり,1. ではタイプ1〜3,2. ではタイプ4,3. ではタイプ5,4. ではタイプ6,5. ではタイプ7について,それぞれ一般論と具体例で説明した。
 全体を通じて強調したのは,ちょっとした工夫をすることで既習のタイプに帰着できることである。タイプ1は特性方程式の解を利用して変形すればタイプ0,つまり等比数列に帰着できる。また,タイプ2(a) は階差をとることで,タイプ2(b) は で割ることでタイプ1に帰着できる。
 タイプ3はタイプ0において公比 r に相当するものが n の分数式であり,タイプ0では, となるところが,

となる。
特に であれば  となる。
 タイプ4(a) は,逆数をとることでタイプ1に,タイプ4(b) は特性方程式の解を利用して変形すればタイプ4(a) に,つまりタイプ1に帰着される。
 タイプ5は対数をとることで,タイプ1に帰着される。
 タイプ6は特性方程式の解を利用して,それが異なる2つの解をもてば2つのタイプ2(b) 型数列になるが,重解をもてば1つのタイプ2(b) 型数列になる。特に前者の場合は2つのタイプ0型数列になり,an +1 を消去すれば an が求められる。
 タイプ7については次のような解説をした。タイプ1〜タイプ6もほぼ同様である。

 連立型の漸化式,つまり, について考えましょう。

 ここでは anbn を合体させた数列 を考えて,これまでのことを踏まえて,何かうまいこといかないかなあ……と思ってとりあえずやってみましょう。
 うまいこといかないかなあ……というのは, ……[0]のように, が等比数列になってくれればなあ……ということです。
  
[1]−α×[2] から,
  
これより, であれば [0] の形になります。
このとき,α は を満たします。
 つまり,α は2次方程式 ……[4] の解です。
[4] が異なる2つの実数解α, βをもつとすれば,[3] は,
  
のように2通りに表せます。
[5] より, は,初項 a−αb ,公比 p−αr の等比数列
[6] より, は,初項 a−βb ,公比 p−βr の等比数列
であるから,
  
[8] −[7] より,
  
  α≠β より,
[8]×α− [7]×β より,
  
  α≠β より,

例1 

[1] −α×[2] から,
  
 ここで, とすると,α2−1=0 これを解いて,α=±1
よって,[3] は次の [4] ,[5] のように変形できます。
  

[4] より,数列 は,初項 a1b1=1−2=−1,公比2の等比数列ですから,
  
[5] より,数列 は,初項 a1b1=1+2=3,公比4の等比数列ですから,
  
[6]+[7] より,  [7]−[6]より,

 
まとめ

 この実践は夏休みの一日を使っての実践(講義,演習)である。日程は講義 [1] 9:00〜10:15,講義 [2] 10:30〜11:45,昼食,問題演習 [1] 13:00〜14:15,問題演習 [2] 14:30〜15:45である。本校は65分授業を行っているので,1コマをほぼ同時間にとっている。
 演習 [1] は生徒一人ひとりが別々の問題を解く時間,演習 [2] は班(1班5人,8班)で大学入試に出題された漸化式の問題を解く時間とした。ともすれば,生徒は見かけが少しでも違えば,違ったものとして認識する。理解ではなく暗記中心の生徒にとっては記憶量に負担をかけ,しかも功を奏しないことが多い。見かけは違っても,元となるもの,考え方,処理が同様であれば,そのことを理解しているだけでも手の打ちようがある。
 知らないから「できない,わからない」と諦めるのではなく,知らなくても視点を変えることで「できる,わかる」ことがあることを体験させることも数学教育にとっては重要であると思っている。また,友達と協力して考えることのよさについては,SSH(スーパーサイエンスハイスクール)の実践の中で,多くの生徒の感想に述べられており,今回もそのよさを体験させることにした。効果の程はこれからである・・・