授業実践記録
発想力を鍛える指導
−「図形と計量」で面積に着眼した問題を通して−
(東京)玉川学園高等部
染矢英夫
 
1.はじめに

 生徒が数学は難しいと感じるとき、その原因として、

[1] 基礎学力の欠如。
[2] 基礎学力はあるのだが、着眼点がわからない。

 という点が考えられる。
 本稿は、上記の [2] に基づくつまずきを防ぐ授業展開の実践報告である。

 
2.授業実践

 数学 I 「図形と計量」の単元を学習し終わったところで、節末問題を学習する。その中に次のような問題がある。
△ABCにおいて AB=6, AC=4, ∠BAC=60゜とする。∠Aの2等分線と辺BCの交点をDとするとき,ADの長さを求めよ。また,Aから辺BCへの垂線をAEとするときAEの長さを求めよ。

 なお、AEの長さを求める問題は私が付け加えた問題である。
実践では、時間を与えて生徒にこの問題を解かせた。
 この問題は、次のように解けば簡単に答えが求まる問題である。

 
 

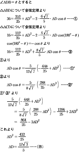
 ところが、生徒達は面積を使うというところへ発想がいかないらしく、余弦定理や正弦定理だけを用いて解こうとして試行錯誤している。次に紹介するのは、数学の成績が良いA君の答案である。

 
 
 

 さすがにA君、基礎的な知識と計算力を駆使して正解であるが、時間との勝負でもあるテストの時だったら、他の問題をやる時間を失ってしまうだろう。
 ごく数名の生徒が面積に着目して正解を出している。半分以上の生徒は、A君と同じ方法をやろうとして、
∠ADB=θ,∠ADC=180°−θ
とおくことができずに、また、おくことができてもそのあとの数式処理でつまずいてしまって答えまで至っていない。
 まず、私はA君に黒板に書いてもらって説明をさせた。生徒からの拍手。私もA君の答案を賞賛した。次に、面積に着目して正答を出している生徒にすぐ発表させることはせず、中学生の三平方の定理の問題だとことわって、次の問題をやらせた。

 EF=2, FG=2, BF= である直方体 B-EFG について頂点 Fから△BEGに下した垂線の足を I とするとき FI の長さを求めよ。

 この問題については、三角錐 B-EFG の体積に着眼した生徒が多く、半分以上の生徒が正答を出した。生徒達はどうやらここで気づいたらしく、最初の問題をやり直して、正答に至ることができた。1つの問題が解決した喜びに感動した生徒も多かったようである。私は、過去の知識と関連をもたせて考えることが重要であり、定理や公式を暗記したり、問題をパターン化して解き方を覚えても、必ずしも数学の力にはならないことを話して授業を結んだ。

 
3.おわりに

 実は、この問題をじっくりとやってみようと思ったきっかけは、3年生の授業で1、2年生の復習としてこの問題をやらせたとき(この問題は2001年の昭和薬科大学の入試問題として出題されているのであるが)、3年生であれば面積に着眼することを知っていなければならないのに、その過半数の生徒が、余弦定理や正弦定理のみを用いて計算しきれなかったということがあったからである。事実、辺の長さを求めるといった場合、面積という発想にたどり着きにくいということは少なからず言える。
 この問題に限らず、生徒が1つの問題を考える時、どのようにしてその手がかりを掴むかは重要なポイントになってくる。自分が持ち合わせている知識を十分に活用して考えようとする姿勢が大切であり、その姿勢を持つきっかけとなり、その姿勢の大切さを印象付けることができればと思い、このような実践を展開してみた。

 Eメール:h-someya@tj8.so-net.ne.jp