授業実践記録
2次方程式(因数分解による解法)
和歌山県立日高高等学校
辻本純一
 
1.はじめに

 2次方程式の解法と因数分解とは関係が深い。解の公式を学ぶ前に,因数分解を利用した解法について学習させたい。
 さらに,いろいろな問題の解を求めるために,2次方程式を作り,解くことを考えさせる。
 
2.2次方程式と因数分解

 実数に関する性質
  ab=0 ⇔ a=0 または b=0
を利用して,2次方程式の解を求めてみよう。

例1 2次方程式 x2x−6=0を解け。
  左辺を因数分解して,(x+2)(x−3)=0
  よって,x=−2,3

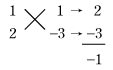
例2 2次方程式 2x2x−3=0を解け。
  左辺を因数分解して,(x+1)(2x−3)=0
  よって,x=−1,

 例2では,たすきがけによらない解法がある。

 例2の方程式の両辺に2をかけると,

  4x2−2x−6=0
  (2x)2−(2x)−6=0
  (2x+2)(2x−3)=0
  よって,x=−1,

例3 2次方程式 −x2+3x+10=0を解け。
  両辺に−1をかけて,x2−3x−10=0
  (x+2)(x−5)=0
  よって,x=−2,5

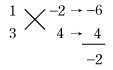
例4 2次方程式 x2x−4=0を解け。
  両辺に2をかけて,3x2−2 x−8=0
  (x−2)(3 x+4)=0
  よって,x=2,
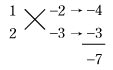
例5 2次方程式 0.2 x2−0.7 x+0.6=0を解け。
  両辺に10をかけて,2 x2−7x+6=0
  (x−2)(2 x−3)=0
  よって,x=2,

 例3,例4,例5では,各係数をすべて整数で,x2の係数を正にするように,方程式の両辺に定数をかけている。そうすることによって,整数を係数とする1次式の積に因数分解できている。

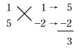
例6 2次方程式 20x2+12x−8=0を解け。
  両辺を4で割って,5x2+3 x−2=0
  (x+1)(5 x−2)=0
  よって,x=−1,

 例6では,両辺を4で割らずに左辺を因数分解すると,
  (4 x+4)(5 x−2)=0,(2 x+2)(10 x−4)=0,
  (x+1)(20 x−8)=0
のように,いろいろな計算が考えられる。
 そこで,整数を係数とする2次方程式においては,各係数の最大公約数が1になるように計算すると,因数分解が少しは簡単になる。

 
3.2次方程式の利用

 2次方程式を利用して解くことのできる問題を扱う。

例7 隣り合う2辺の和が20の長方形の面積が96である。このとき2辺の長さ
 を求めよ。

[解] 1辺の長さをxとすると,他の辺の長さは
 20−x である。
  面積が96だから,x(20−x)=96
  x2−20x+96=0
  (x−8)(x−12)=0
  よって,x=8,12
  求める2辺の長さは,8と12である。

 例7では,求めたい辺の長さの1つをxとおいて,2辺の長さの和が20であることから,もう1つの辺の長さを20−x とした。
 この問題において,文字xを何にするかで,その解法が違ったものになる。そこで,次のような別解をあげておく。
[別解] 長方形の隣り合う2辺の長さを10+x
 10−x とする。
  面積が96だから,(10+x)(10−x)=96
  100−x2=96
  x2=4
  よって,x=±2
  求める2辺の長さは,8と12である。

(注) [別解] の考え方から,2辺の長さの和が20の長方形の面積は,
  (10+x)(10−x)=100−x2
と表すことができる。そして,この式から,x=0,つまり,1辺の長さが10の正方形のとき,その面積は最大になることがわかる。
 
4.おわりに

 2次方程式の解の公式を学ぶと,どんな2次方程式でも公式を使って解を求める生徒がいる。そこで,2次方程式を解くときは,まず因数分解できるかどうかを考えるようにしたい。