はじめに
高校化学の実験において,有機化合物の定量分析実験は応用実験扱いされ近年十分に指導されることが少ない.しかし初心者に化学実験の深さと面白さを与える教材として極めて重要な分野である. なかでも,タンパク質,脂肪,還元糖の定量実験は大切である.ここでは,本校に設置されている2単位の「ゼミ・演習」の授業において実施した定量実験のうち,枚数の関係上,タンパク質の定量実験を中心に報告する.
1 タンパク質の定量実験
(1) 分解剤の調整
硫酸カリウム10gと硫酸銅1gをはかりとり,別々に磁製乳鉢で十分に粉砕する.(これが1回分である.)
(2) 試料の分解
[1] 試料(小麦粉)を正確に約5g(下2ケタまで)自動直示天秤ではかりとる.
※例:5.01g,4.98g
これをケルダールフラスコ(250ml)に入れ,(1)の分解剤を加え,さらに,濃硫酸20mlを加える.
[2] ドラフト内でバーナーの青炎を小さく調整してゆるやかに加熱分解する.
※ はじめ黒い泡が生じ,しだいに静かになる.火力を少し強め沸騰させる.フラスコをときおり回転させ,まんべんなく分解する.液はしだいに茶褐色から青緑色にかわり,やがて透明になる.透明になってからさらに20分間分解する.分解に要する時間はほぼ2時間である.
(この作業は本校理科実験助手の補助によって行った.生徒ははじめの青緑色になるところまで観察させた.)
[3] 10分間ほど放冷した後,水40mlを加え,水蒸気蒸留の装置を図1のように組み立てる.この際,受器の三角フラスコには0.1N-H2SO425mlをホールピペットで正確にはかりとり,冷却器にセットしておく.冷却器の先端はこの希酸の中に深く入れておき,発生してくるアンモニアの吸収を完全にさせることがポイントになる.一方,中和用カセイソーダ溶液(30%NaOH)をピンチコック[2]を開いて塩基性になるまで徐々に加える.(リトマス紙で確認する.フラスコはよく振って中和を行う.)

図1
次に,ピンチコック[1]を開いて,Aの水を沸騰させる.この時Aには沸騰石を入れておく.ピンチコック[3]を開け,次にピンチコック[1]を締めると水蒸気がCに送られ水蒸気蒸留が始まる.同時にリービッヒ冷却器に水を通す.
30分間蒸留を行う.蒸留終了時,受器を外し,冷却管の先端を液面からもちあげたまま3分程そのまま蒸留を続けることがポイントになる.冷却管の先端は蒸留水で洗浄して受器に落とす.これらの作業によって,発生したアンモニアを正確に受器に落とすことができる.
[4] 滴定 (タンパク質は分解されアンモニア態窒素として発生し受器の酸に吸収されている.アンモニアはアルカリ性であるので,受器の酸は中和され,酸の量が減少している.残ったこの酸の量を正確な濃度のアルカリ溶液で中和滴定することによって,発生したアンモニアの量を求めることができる.) ビュレットに0.1N-NaOHをとり受器の酸の滴定を行う.指示薬はメチルレッドを用いる.終点は橙黄色.
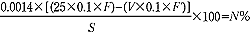
[5] 計算

粗タンパク質(%)=N%×5.70
F=0.1N-H2SO4の係数,F'=0.1N-NaOHの係数,
S=試料g,V=滴定値ml,5.70=窒素係数
2 展開・指導について
○ 生徒には,各班(4名ずつ7班)に3種類の小麦粉(メーカー別の強力粉,中力粉,薄力粉)を未知試料A,B,Cとして与え,どれがどの社のどの種別かを特定させた.
○ 本法はケルダール法として知られ,小麦粉のグルテン含有量を測定する方法として,これまで製粉各社の品質管理部門等で広く用いられてきた方法である.
各産地の小麦粉をどの割合にブレンドして所定の製品にするかを決定するための大切な検査方法である.これを,生徒向けに簡易化して指導した. また,計算式の意味の解説を通し,規定濃度の考え方,中和滴定標準液の作り方及び係数の求め方,窒素係数及び粗タンパク質の意味及び解説を指導した.
○ 単純な酸・塩基の中和滴定実験では経験できない複雑な装置とその操作を通して実験の醍醐味を味わってもらうことを主眼とした.各班とも同一試料を3点ずつ用いて定量した.
当初,失敗した試料も3回目にはだいぶ手慣れ,ほぼ,正確に定量できるようになった.また,食パン用やスパゲテイー用やウドン用の小麦粉にはどのような種類の小麦粉が適当かを一覧表にして提出させた.本校では林間学校でソバ打ち体験などもしているので,粉の粘りとグルテン量との関係もよく理解できたようである.
○ 比較的手際よくできて,時間にゆとりのできた班には,中和滴定用の標準液づくりとその係数を求めさせた.
0.1規定溶液とは,0.1ぴったりの溶液ではなく,それに近い濃度の溶液を正確に調整して作るという意味が理解できたようである.また,種々の指示薬を与え各中和の終点の見極め方の練習を指導した.実験能力とは実は試薬調整能力でもある.本実験は理科系特進の生徒対象であるので,その点まで踏み込んで指導した.以下,脂肪と糖の定量実験の要旨のみを簡略的に述べ報告とする.
3 脂肪の定量
[1] 試料に小麦粉5gを用いる.
[2] 試料を100〜105℃の乾燥機内で3時間乾燥した後,デシケーターに入れ冷却する.冷却後ソックスレー抽出管に入れる.
[3] 同様に,100〜105℃の乾燥機内でソックスレー抽出器の受器を乾燥させ,デシケータ内で冷却し,恒量後秤量する.エーテルを ほど入れ,ソックスレー装置を組み立てる.
[4] 電気水浴上で60〜80℃で8〜16時間ゆるやかに加温抽出する.受器のエーテルがほとんど抽出管に移ったところで受器を取り外す.受器に抽出された脂肪が残る.
[5] 受器を温浴上で加温しエーテルを蒸発除去する.(ドラフト内で)
[6] 受器を100〜105℃の乾燥機で1時間乾燥する.デシケータで放冷乾燥し,恒量後秤量する.
脂肪=(W−W0)/S×100
W:脂肪の入った受器の質量,W0:空の受器の質量,S:試料の質量
4 ベルトラン法による還元糖の定量
試料(小麦粉)約2gを正確にはかりとり500mlの丸底フラスコに入れ,水200mlと25%塩酸20mlを加え,この丸底フラスコに還流式冷却器をつけ,沸騰した湯浴で2〜3時間反応させる.反応後,フラスコ内の溶液をろ過する.ろ液を10%のNaOH溶液で中和する.溶液をメスフラスコに入れ水を加え500mlとする.この溶液20mlをとり,これに硫酸銅溶液20mlとアルカリ性ロッシェル塩溶液20mを加え3分間沸騰させる.冷却後ろ過する.沈殿を硫酸第二鉄溶液20mlに溶かし,過マンガン酸カリ標準液を用いて滴定する.
計算:X=V ×10
V:滴定値 10:KMnO41mlが銅10mgに相当するように調整されている.ベルトラン表からXに相当するブドウ糖量を求め,これをyとし,下記の式でデンプン量を求める.
デンプン(%)=[y×500/20×0.1/S ]×0.9
S:試料g
|