2年3章-一次関数-:解けない?連理方程式

   組  氏名
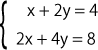
1   次の問いに答えましょう。
(1) 連立方程式  を解いてみましょう。



(2) 解いてみて,気づいたことをかきましょう。




(3) グラフにかいて,気づいたことをかきましょう。




(4) (1)のような連立方程式をつくってみましょう。




      
2   次の問いに答えましょう。
(1) 連立方程式  の解はどのようになるか考え,かきましょう。





(2) (1)の2つの二次元方程式をもしグラフにかいたとしたらどうなるか考え,解を答えましょう。






印刷する