2年2章-連立方程式-:天秤で加減法を考えよう

   組  氏名
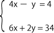
1    を解きなさい。
(1) 等式の性質を使い,上の連立方程式を天秤に表してみよう。
(ただし,
x →y → と表すこと。)


(2) 天秤の関係から,xyの値を求めてみよう。


●自分のやった手順を説明してみましょう。


      
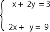
2   次の連立方程式を天秤のかたちになおしてから解きなさい。
ただし,次のように表すものとする。 x →   y → 
-x → -y → とする。
(1)





答え                                  
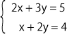
(2)





答え                                  
印刷する