階段状に並べた正方形
和歌山県日高郡印南町立清流中学校
大野 万里子
1.はじめに

 課題学習でよく使われる教材である「階段状に並べた正方形」では,段数が変化するとそれに伴って変化する数量が,「高さ」「横幅」「周りの長さ」「辺の数」「面積」「正方形の数」「線分の数」等いろいろある。それぞれに変化のしかたに規則性があり,生徒にとって興味や関心を引く教材である。
 特に,「正方形の数」「面積」や「線分の数」については等差数列の関係があり,変化する数や図に目をつけて考えることにより,n番目の数を表す式を見つけだすことができれば,生徒は一層興味を示すだろうと考える。

2.生徒の実態

 本校は,2つの中学校の統合によって平成11年度に開校した学校である。校区内の小規模の4つの小学校から入学してくる生徒たちは,明るく素直で何事にもまじめに取り組むなど長所が多い。学習面でも,まじめであるが,生徒一人一人の学習状況において大きな個人差が見られる。課題学習については,各単元の終わりごとや選択数学で時間をとっているが,興味・関心をもち積極的に学習する生徒もいれば,興味を示さない生徒もいるのが現状である。

3.実践について

  (1)  学習の目標
 階段状に並べた正方形で,番号が変わることに伴って変化する数量を見つけ,それを表や図を利用して考えることにより,n番目の数を表す式をnを使って表すことができる。

  (2)

 指導計画
階段状に並べた正方形の番号と,それに伴って変化する数量第1時
階段状に並べた正方形の番号と,n番目の「正方形の数」「面積」を求める式第2時
階段状に並べた正方形の番号と,n番目の「線分の数」を求める式第3時

 第1時では,正方形を階段状に並べたもの(段数が1段,2段,3段と1段ずつ順にふえていくように並べたもの)の番号(最初の1段だけのものを1番とし,以下段が増えるごとに2番,3番,……,n番とする)に伴って変化する数量を,いろいろ見つけださせる。その中でも,「高さ」「周りの長さ」については,正比例の関係であるため見つけだしやすい。
 第2時では,「辺の数」「正方形の数」「面積」「線分の数」について,じっくり考えさせるため班編成をし,1番目,2番目,……,n番目と番号によって変化する数量について考察させる。特に「正方形の数」「面積」については,等差数列の関係があるため,n番目の数を表す式をすぐには見つけだしにくいと考えられる。そこで,クラス全員に5番目の数15を求める計算「1+2+3+4+5」をいろいろ考えさせ,一番よい方法として,ガウスの方法を使ってn番目の数を表す式を見つけださせる。
 第3時では,番号に伴って変化する「線分の数」についても,変化する数量や図でじっくり考えさせ,n番目の数を表す式を見つけださせる。

  (3)

 学習展開


学 習 活 動 評価・留意点






1辺1cmの正方形を図のように並べていく。並べる番号が変わると,それに伴って変わる数量がある。それをいろいろ見つけてみよう。

関心・意欲・態度
番号が変わるにつれて,変わる数量を見つけようとしているか。
番号が変わるにつれて,変わっていく数量を見つける。
  「高さ」「横幅」「周りの長さ」「辺の数」「角の数」「正方形の数」「面積」「線分の数」…が変わっていく。
できるだけたくさん見つけるように言う。


「高さ」「横幅」「周りの長さ」について,1〜5番目の数を表にしよう。また,n番目の数も式で表してみよう。
 
1〜5番目の数とn番目の数を表す式を考えさせる。
 ・「高さ」「横幅」
番 号
高さ・横幅

・「周りの長さ」
番 号
周りの長さ1216204n
 
「辺の数」「角の数」「正方形の数」「面積」「線分の数」についても,1〜5番目の数とn番目の数を表す式を表にしてみよう。
 
班編成をし,各班で考えさせ,発表させる。
 ・「辺の数」「角の数」
番 号
辺の数・角の数10122n+2

・「正方形の数」「面積」
番 号
正方形の数・面積1015

・「線分の長さ」
番 号
線分の長さ10182840
班で考えさせる。






見方・考え方
伴って変わる数量の関係について,1〜5番目の数を求めることができるか。


正方形を階段状に並べていくと,それに伴って変わる数量がいろいろあることをまとめる。
 
次の時間は「正方形の数」「面積」について調べることを言う。
 





前時の題材の確認をする。
 


「正方形の数」「面積」の1〜5番目の数には,どんな規則があるのだろうか。
 
「正方形の数」「面積」の規則について考えさせる。
1番目は1,2番目は1+2,3番目は1+2+3,4番目は1+2+3+4…で,変化する数が計算できる。
5番目の数15は,1+2+3+4+5で計算できる。
 
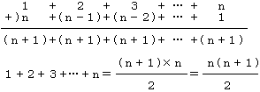
1+2+3+4+5の計算を,工夫して簡単にできないだろうか。
 
1+2+3+4+5の計算を工夫させ,発表させる。
(1+5)+(2+4)+3=6×2+3=15
(1+4)+(2+3)+5=5×3=15
となるので
生徒にじっくり考えさせるよう時間をとる。
図でもう一度説明する。
生徒から上記の式が出ないときは,右図でヒントを与える。
 
n番目のときの式を,nを使って表してみよう。また,100番目の数を計算してみよう。

100番目は
見方・考え方
「面積」について,n番目の数を表す式を考えて,nを使って表すことができるか。


表現・処理
「面積」の100番目の数を求めることができるか。


「正方形の数」「面積」のn番目の数を表す式とガウスの説明をする。
 
次の時間は「線分の数」について調べることを言う。
 





前時の復習をする。
 


考え方のヒントを用意し,班編成をして考えさせる。

(1)

(2)

(3)

(4)

(5) その他
班でじっくり考えさせる。







見方・考え方
考え方のヒントをもとに,n番目の数を表す式を求めることができるか。


階段状に並べた正方形では,並べる番号が変わるにつれて,変化する数量がいろいろあることと,n番目の式はすべてnを使って表せることを言う。
関心・意欲・態度
題材に興味がもてたか。

4.生徒の反応

   第2時を終わった時点での生徒の感想は,次の通りである。
   ・おもしろかった。何となく良いことを知ったと思います。
・最初は難しかったけど,だんだんと理解できてくるとおもしろくなってきた。
・数学のきまりを見つけるのは,楽しいと思いました。

5.学習の成果

 第1時の変わっていく数量を見つけるのは,生徒たちは,教師があらかじめ考えておいたものをほとんど見つけることができ,発表することにより,興味を引くことができた。
 第2時の等差数列の計算(1+2+3+4+5)は,生徒から「偶数個,奇数個の場合で考え方が違う」と積極的な疑問も出た。「偶数・奇数それぞれで計算したらできる」ことも説明した。
 また,第1時で「(線と線の交わっている)点の数」を見つける生徒もいる。「点の数」もかなり難しいが,第2時の式を使い,考え方のヒントを出しておくことで計算できる。

6.今後の課題

 課題学習は,既習内容が必要でない場合も多く,積極的に授業に参加する生徒は増えてきていると思う。生徒の興味・関心をそぐことのないようにしながら,またできたという喜びを感じさせながら,さらにいろいろな問題に挑戦していきたいと思う。

[参考文献]   「平成10年度 中学校数学教育研修講座」和歌山県教育研修センター
「平成10年度・平成11年度」和歌山県高等学校入学者選抜学力検査問題

前へ 次へ

閉じる