「黄金比の秘密」〜デジタルカメラの活用〜
岡山県教育センター 金光 一雄
1.本授業の目標

 ○身近な形やデザインの美しさが数学的に考察できることを知り,数学を活用する意欲を高める。

 ○

バランスがよいと感じる長方形,ものの長さの比には,黄金比に近いものがたくさんあることを確かめられる。

2.学習計画「平方根」(第3学年,本実践は第6次)

 第1次 平方根 (3時間)

 第2次

 平方根の値

 (1時間)

 第3次

 平方根の乗法・除法

 (4時間)

 第4次

 根号を含む式の計算

 (3時間)

 第5次

 単元のまとめ

 (1時間)

 第6次

 黄金比の秘密

 (2時間)

3.授業の流れ(2時間扱い)

 <準備物> デジタルカメラ(各班1台),電卓

 [第1時]

  (1) どの長方形のバランスが美しいと感じますか。
テレフォンカード,名刺,教科書,ノート,CDケース,カセットテープ,封筒などを見せる。
・テレフォンカード,名刺などを選ぶ生徒
・教科書やノートを選ぶ生徒

  (2) 

選んだ長方形の縦,横の長さの比を求めてみよう。
「約1.6だ。」
「約1.4だ。」

  (3) 

美しさには秘密がある。黄金比の話を聞こう。
新書本,名刺,テレフォンカードなどに使われていることを知らせる。
ミロのビーナス,パルテノン神殿の写真を見せ,昔から美しく見える長さの比として用いられてきたことを知らせる。
「へぇー,初めて聞いた。」
「何か聞いたことがあるな。」

  (4) 

校内の黄金比をデジタルカメラに撮ってこよう。
・黄金比だと思うものの写真を撮る。
・デジタルカメラの画面で長さを測り,黄金比かどうかを概算する。
※長方形だけでなく,長さの比にも着目させる。

  (5) 

撮ってきた黄金比を印刷して確かめよう。

 ◎生徒が集めてきた黄金比の例


ロッカー

コンセントボックス

ハンドボールゴール


玄関のドア


ロッカー


時計台


企業のロゴマーク


交通標識の枠

教会の十字架

 [第2時]

  (6) 発表資料を作り,発表会をしよう。

  (7) 

黄金比の不思議!先生の説明を聞こう。
※自然界に数多く存在するフィボナッチ数列との関係にも触れる。
※用紙(A判,B判)の縦横の比(白銀比)についても触れる。

  (8) 

きょうのまとめをしよう。
※ワークシートで自己評価をさせる。

 ◎生徒のワークシートの記述例

生活と数学 −美しい比−

 安定した美しい比として,絵画,彫刻,工芸,建築などに,古くから用いられた比に8:5があります。
この比について調べてみよう。

 <問題1>

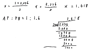
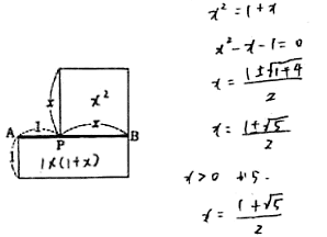
  線分ABを点Pで1:xに分割する。縦がAP,横がABの長方形の面積と,PBを1辺とする正方形の面積が等しくなるxの値を求めよ。

 <問題2>

  問題1で,√5=2.236としてxの値を小数第1位まで求めよ。
 また,AP:PBを簡単な整数の比で表せ。



 『線分を問題1,2のような比に分割することを黄金分割という。』

 <感想>


 ◎生徒の感想

いろいろなところに8:5があるの初めてを知った。いざ探そうと思ったら難しかった。


身の回りには,たくさんの黄金比のものがあることがわかった。きょう調べたのはほんのわずかで,もっとたくさんある。もっと調べてみたいと思った。


放送室のガラスの縦横の比は1.3だった。身の回りにはあまり1.6がなかった。一番多かったのは1.3や1.4だと思う。そうそう見つかるものではないと思った。


黄金比が自然界にもあるのが不思議だった。どうしてだろう。

4.授業者の考察

 ○黄金比については知らない生徒が多く,教師の説明を興味深そうに聞いていた。建築物や美術品が感性だけではなく,数学を裏付けにして作られていることを知ったのは驚きだったようだ。

 ○

黄金長方形は案外少なく,黄金長方形ばかり探していた生徒も,やがて縦横のバランスがよいと感じる長方形を探し始めた。ただ,身近に見られる長方形の多くは,縦横の比が1.4〜1.6であることは驚きだったようだ。結局,黄金比の価値は実用面よりも美しさにあると感じた。

 ○

校内を探し尽くした生徒は,次に自分たちの体に目を向け始めた。「黄金比の人がいる」程度の数学的な裏付けがないものばかりだが,学級で統計を取る価値はあると感じた。

〔生徒が見つけた体の部分の黄金比〕

 ◇爪の底の幅と長さ ◇手の平の幅と長さ
 ◇肩幅と胴の長さ ◇顔を目の位置で分けた上下
 ◇身長をへその位置で分けた上下

 ○

本授業は,授業者自身が作業的・体験的学習の意義,数学の有用性を味わう学習の大切さを実感させられるものであった。新学習指導要領で数学の授業時数が削減されるが,学習計画を工夫し,このような授業もできるだけ実施できるようにしていきたい。

 ■倉敷チボリ公園での黄金比探し

   本実践終了後の選択数学の授業で,校外学習に行く倉敷チボリ公園での黄金比探しが提案された。倉敷チボリ公園には美しい建物が多い。選択数学での授業の概要を説明する。

 ●授業の流れ(2時間扱い)

  <準備物>倉敷チボリ公園のパンフレット,生徒が所属する班の研修計画表

 [第1時]

  (1) グループに分かれ,黄金比を見つけられそうな場所をチェックしよう。
※所属する班の研修コースにある黄金比のポイントを調べさせる。
  (2) グループの代表が,見つけたポイントを発表しよう。
※情報交換の場として,質問を受け付けさせる。
  (3) 計画書を提出しよう。
※研修計画表に撮影場所の印を付けさせ,提出させる。

 [校外研修]

    
<準備物>各班1台のデジタルカメラ(学校備品,家庭等)

チボリ公園の黄金比をデジタルカメラに撮ってこよう。
無理のない範囲で撮ってくるように伝える。
 [第2時]

  (1) チボリ公園の黄金比発表会をしよう。
  (2) 発表会資料を作ろう。
2回目の発表会であり,できるだけ生徒の主体性を大切にして,安易に助言しない。
  (3) 発表しよう。
※相互評価させる。
  (4) きょうのまとめをしよう。
※ワークシートで自己評価させる。

 ◎生徒が見つけてきた黄金比の例

アンデルセン像

人形姫像

アンデルセンホール


チボリタワー


クッケンの噴水
 


前へ 次へ

閉じる